Giải bài tập Hóa 11 nâng cao bài 42
Hóa học 11 nâng cao: Khái niệm về tecpen
VnDoc xin giới thiệu tới các bạn tài liệu Giải bài tập Hóa 11 nâng cao bài 42 Khái niệm về tecpen, nội dung tài liệu gồm 6 bài tập trang 173, 174 SGK kèm theo lời giải chi tiết sẽ là nguồn thông tin hay để phục vụ công việc học tập của các bạn học sinh được tốt hơn. Mời các bạn học sinh và thầy cô cùng tham khảo chi tiết bài viết dưới đây nhé.
- Giải bài tập Hóa 11 nâng cao bài 37
- Giải bài tập Hóa 11 nâng cao bài 39
- Giải bài tập Hóa 11 nâng cao bài 40
- Giải bài tập Hóa 11 nâng cao bài 41
Giải bài tập Hóa 11 nâng cao bài 42 Khái niệm về tecpen vừa được VnDoc.com sưu tập và xin gửi tới bạn đọc cùng tham khảo. Bài viết được tổng hợp gồm có lời giải của 6 bài tập trong sách giáo khoa môn Hóa học lớp 11 nâng cao bài Khái niệm về tecpen. Qua bài viết bạn đọc có thể thấy được khái niệm về tecpen, cách viết phương trình hóa học của các phản ứng, tính tan của oximen và limonene, tồn tại ở dạng nào khi ở trạng thái thường... Mời các bạn cùng tham khảo chi tiết và tải về tại đây nhé.
Giải bài tập Hóa 11 nâng cao Khái niệm về tecpen
Bài 1 (trang 173 sgk Hóa học 11 nâng cao)
a) tecpen là gì?
b)Tecpen có ở những nguồn thiên nhiên nào?
Lời giải:
a) Tecpen là tên gọi của nhóm hidrocacbon không no có công thức chung là (C5H8)_n
b) Tecpen có nhiều trong tinh dầu thảo mộc.
Bài 2 (trang 173 sgk Hóa 11 nâng cao)
Phân tử tecpen có thể có cấu tạo mạch hở hay mạch vòng nhưng dường như do isoprene (iso-C_5 H_8) kết hợp với nhau theo kiểu “đầu nối với đuôi”. Tức là có thể phân chia phân tử tecpen thành những mắt xích có cấu tạo giống như bộ khung cacbon và limonene (công thức cho ở bài học).
Lời giải:

Bài 3 (trang 173 sgk Hóa 11 nâng cao)
Em có thể dự đoán xem oximen và limonene trong điều kiện thường ở trạng thái khí, lỏng, hay rắn? tính tan của chúng như thế nào? Làm thế nào để tách lấy chúng từ thực vật.
Lời giải:
Phân tử oximen và limonene đều có 10 nguyên tử C, nên ở điều kiện thường chúng ở trạng thái lỏng, ít tan trong nước, tan trong một số dung môi hữu cơ. Để tác chúng có thể dùng phương pháp chưng cất.
Bài 4 (trang 173 sgk Hóa 11 nâng cao)
Hãy điền Đ (đúng) hoặc S (sai) vào dấu [] ở mỗi câu sau đây:
a) Tecpen là sản phẩm trùng hợp với isoprene. []
b) Tinh dầu thảo mộc là hỗn hợp các tecpen và dẫn xuất chứa oxi của chúng. []
c) Trong tinh dầu thảo mộc có nhiều tecpen và dẫn xuất chứa oxi của chúng. []
d) Trong kẹo cao su bạc hà có trộn tinh dầu bạc hà. []
e) Trong kẹo cao su bạc hà có mentol và menton. []
f) Trong kem đánh rang mùi bạc hà màu xanh, có trộn lá bạc hà nghiền nhỏ. []
g) Nước hoa là dung dịch tinh dầu thơn tách từ hoa quả thực vật. []
h) Nược hoa là dung dịch có chứa các chất thơm thiên nhiên hoặc tổng hợp và các chất phụ trợ khác. []
i) Dầu gió chế từ tinh dầu thảo mộc. []
Lời giải:
a) S
b) S
c) Đ
d) Đ
e) Đ
f) S
g) S
h) Đ
i) Đ
Bài 5 (trang 174 sgk Hóa 11 nâng cao)
Viết các phương trình hóa học của phản ứng sau:
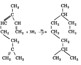
a) Oximen + H2 (dư) →
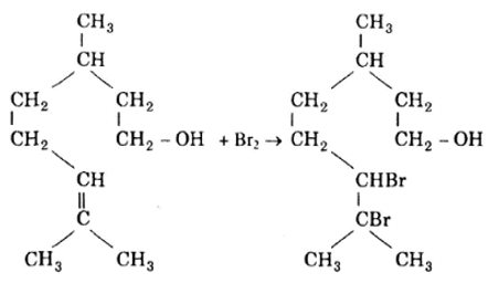
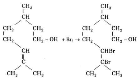
b) Oximen + Br2(dư) →
c) Xitronelon + Na →
d) Xitronelol + Br2 →
Lời giải:
a)

b)

c)

d)

Bài 6 (trang 174 sgk Hóa 11 nâng cao)
Hãy quan sát kĩ hình 6.8 và nói rõ cách hoạt động của thiết bị chưng cất lôi cuốn hơi nược và tác dụng của các bộ phận trong thiết bị đó.
Lời giải:
Học sinh xem hình 6.8 trang 173 SGK.
-----------------------------------
Trên đây VnDoc.com đã giới thiệu tới bạn đọc tài liệu: Giải bài tập Hóa 11 nâng cao bài 42. Để có kết quả cao hơn trong học tập, VnDoc xin giới thiệu tới các bạn học sinh tài liệu Sinh học lớp 11, Vật lý lớp 11, Giải bài tập Hóa học lớp 11, Giải bài tập Toán 11 mà VnDoc tổng hợp và đăng tải.
Mời bạn đọc cùng tham gia nhóm Tài liệu học tập lớp 11 để có thêm tài liệu học tập nhé