Giải bài tập Hóa 11 nâng cao bài 7
Hóa học 11 - Luyện tập: Phản ứng trao đổi ion trong dung dịch các chất điện li
- Bài 1 (trang 30 sgk Hóa 11 nâng cao)
- Bài 2 (trang 30 sgk Hóa 11 nâng cao)
- Bài 3 (trang 31 sgk Hóa 11 nâng cao)
- Bài 4 (trang 31 sgk Hóa 11 nâng cao)
- Bài 5 (trang 31 sgk Hóa 11 nâng cao)
- Bài 6 (trang 31 sgk Hóa 11 nâng cao)
- Bài 7 (trang 31 sgk Hóa 11 nâng cao)
- Bài 8 (trang 31 sgk Hóa 11 nâng cao)
- Bài 9 (trang 31 sgk Hóa 11 nâng cao)
- Bài 10 (trang 31 sgk Hóa học 11 nâng cao)
VnDoc xin giới thiệu tới bạn đọc tài liệu Giải bài tập Hóa 11 nâng cao bài 7, nội dung tài liệu gồm 10 bài tập trang 30, 31 SGK kèm theo lời giải chi tiết sẽ là nguồn thông tin hữu ích để phục vụ công việc học tập của các bạn học sinh được tốt hơn. Mời các bạn học sinh tham khảo chi tiết bài viết dưới đây nhé.
- Giải bài tập Hóa 11 nâng cao bài 3
- Giải bài tập Hóa 11 nâng cao bài 4
- Giải bài tập Hóa 11 nâng cao bài 5
- Giải bài tập Hóa 11 nâng cao bài 6
Giải bài tập Hóa 11 nâng cao bài 7 Luyện tập: Phản ứng trao đổi ion trong dung dịch các chất điện li vừa được VnDoc.com sưu tập và xin gửi tới bạn đọc cùng tham khảo. Bài viết được tổng hợp gồm có lời giải của 10 bài tập trong sách giáo khoa môn Hóa học lớp 11 nâng cao bài Luyện tập: Phản ứng trao đổi ion trong dung dịch các chất điện li. Qua bài viết bạn đọc có thể thấy được cách viết phương trình ion rút gọn của các phản ứng, điều kiện để phản ứng trao đổi ion trong dung dịch các chất điện li chỉ xảy ra... Mời các bạn cùng tham khảo chi tiết và tải về tại đây nhé.
Giải bài tập Hóa 11 nâng cao
Bài 1 (trang 30 sgk Hóa 11 nâng cao)
Viết phương trình ion rút gọn của các phản ứng (nếu có) xảy ra trong dung dịch giữa các cặp chất sau:
a) MgSO4 + NaNO3;
b) Pb(NO3)2 + H2S;
c) Pb(OH)2 + NaOH;
d) Na2SO3 + H2O;
e) Cu(NO3)2 + H2O;
g) Ca(HCO3)2 + Ca(OH)2;
h) Na2SO3 + HCl;
i) Ca(HCO3)2 + HCl
Lời giải:
a) Không phản ứng
b) Pb2+ + H2S → PbS↓ + 2H+
c) Pb(OH)2 + 2OH- → PbO22- + 2H2O
d) SO32- + H2O ↔ HSO3- + OH-
e) Cu2+ + 2HOH ↔ Cu(OH)+ + H+
g) HCO3- + OH- ↔ CO32- + H2O
h) SO32- + 2H+ ↔ SO2↑ + H2O
i) HCO3- + H+ ↔ CO2↑ + H2O
Bài 2 (trang 30 sgk Hóa 11 nâng cao)
Phản ứng trao đổi ion trong dung dịch các chất điện li chỉ xảy ra khi
A. các chất phản ứng phải là những chất dễ tan.
B. một số ion trong dung dịch kết hợp được với nhau làm giảm nồng độ của chúng.
C. phản ứng không phải là thuận nghịch.
D. các chất phản ứng phải là những chất điện li mạnh.
Lời giải:
Chọn B.
Bài 3 (trang 31 sgk Hóa 11 nâng cao)
Rau quả khô được bảo quản bằng khí SO2 thường chứa một lượng nhỏ hợp chất có gốc SO32-. Để xác định sự có mặt của các ion SO32- trong rau quả, một học sinh ngâm một ít đậu trong nước. Sau một thời gian lọc lấy dung dịch rồi cho tác dụng với dung dịch H2O2 (chất oxi hóa), sau đó cho tác dụng tiếp với dung dịch BaCl2. Viết các phương trình ion rút gọn của các phản ứng đã xảy ra.
Lời giải:
SO32- + H2O2 → SO42- + H2O;
Ba2+ + SO42- → BaSO4↓.
Bài 4 (trang 31 sgk Hóa 11 nâng cao)
Những hóa chất sau thường được dùng trong công việc nội trợ: muối ăn, giấm, bột nở (NH4HCO3), phèn chua (Kal(SO4)2.12H2O), muối iot (NaCl + KI). Hãy dùng các phản ứng hóa học đẻ phân biệt chúng. Viết phương trình ion rút gọn của các phản ứng.
Lời giải:
Hòa tan các hóa chất vào nước thu dung dịch.
- Muối ăn: Ag+ +Cl- → AgCl↓ trắng
- Giấm: 2CH3COOH + CaCO3 → (CH3COO)2Ca + CO2↑ + H2O
- Bột nở: NH4+ + OH- →(to) NH3↑ + H2O
- Muối iot: Ag+ + I- → AgI↓ vàng đậm
Bài 5 (trang 31 sgk Hóa 11 nâng cao)
Hòa tan hoàn toàn 0,1022g một muối kim loại hóa trị hai MCO3 trong 20,00ml dung dịch HCl 0,080M. Để trung hòa lượng HCl dư cần 5,64 ml dung dịch NaOH 0,10M. Xác định kim loại M.
Lời giải:
Gọi khối lượng nguyên tử của M là M.
Số mol HCl: 0,02.0,08 = 0,0016 mol;
Số mol NaOH: 0,00564.0,1 = 0,000564 mol
MCO3 + 2HCl → MCl2 + CO2↑ +H2O (1)
0,000518 ← 0,001036 = (0,0016 - 0,000564)
NaOH + HCldư + NaCl + H2O (2)
0,000564 → 0,000564
Từ (2) ⇒ nHCldư= 0,000564 mol
⇒ nHCldư(1) = (0,0016 – 0,000564) = 0,001036 mol
Từ (1) ⇒ = 0,000518 mol
⇒ 0,000518.(M + 60) = 0,1022
⇒ M = 137 g/mol
Vậy M là Ba.
Bài 6 (trang 31 sgk Hóa 11 nâng cao)
Dung dịch chất nào dưới đây có pH = 7,0?
A. SnCl2
B. NaF
C. Cu(NO3)2
D. KBr.
Lời giải:
Chọn D. KBr (muối của cation bazơ mạnh và gốc axit mạnh)
Bài 7 (trang 31 sgk Hóa 11 nâng cao)
Dung dịch chất nào sau đây có pH < 7,0?
A. KI
B. KNO3
C. FeBr2
D. NaNO2.
Lời giải:
Chọn C. FeBr2 (muối của cation bazơ yếu và gốc axit mạnh)
Bài 8 (trang 31 sgk Hóa 11 nâng cao)
Dung dịch chất nào ở câu 7 có pH > 7,0?
Lời giải:
Chọn D. NaNO2 (muối của cation bazơ mạnh và gốc axit yếu)
Bài 9 (trang 31 sgk Hóa 11 nâng cao)
Viết phương trình hóa học dưới dạng phân tử và ion rút gọn của phản ứng trao đổi ion trong dung dịch để tạo thành từng kết tủa sau (hình 1.10):

a) Cr(OH)3
b) Al(OH)3
c) Ni(OH)2.
Lời giải:
a) Cr(NO3)3 + 3NaOH → Cr(OH)3↓ + 3NaNO3 (Cr3+ + 3OH- → Cr(OH)3↓)
b) AlCl3 + 3NaOH → Al(OH)3↓ + 3NaCl (Al3+ + 3OH- → Al(OH)3↓)
c) NiSO3 + 2NaOH → Ni(OH)2↓ + Na2SO4 ( Ni2+ + 2OH- → Ni(OH)2↓)
Bài 10 (trang 31 sgk Hóa học 11 nâng cao)
Tính nồng độ mol của các ion H+ và OH- trong dung dịch NaNO2 1,0M, biết rằng hằng số phân li bazơ của NO2- là Kb = 2,5.10-11.
Lời giải:
NaNO2 + Na+ + NO2-
1 → 1 → 1
NO2- + H2O + NHO2 + OH-
Trước thủy phân 1
Thủy phần x → x → x
Cân bằng (1-x) x x


Vì x << 1 ⇒ (1 – x) ≈ 1
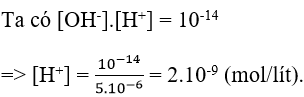
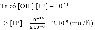
⇒ x.x = 2,5.10-11 = 25.10-12 ⇒ x = 5.10-6


-----------------------------------
Trên đây VnDoc.com đã giới thiệu tới bạn đọc tài liệu: Giải bài tập Hóa 11 nâng cao bài 7. Để có kết quả cao hơn trong học tập, VnDoc xin giới thiệu tới các bạn học sinh tài liệu Sinh học lớp 11, Vật lý lớp 11, Giải bài tập Hóa học lớp 11, Giải bài tập Toán 11 mà VnDoc tổng hợp và đăng tải.
Mời bạn đọc cùng tham gia nhóm Tài liệu học tập lớp 11 để có thêm tài liệu học tập nhé