Giải bài tập Hóa 11 nâng cao bài 37
Hóa học 11 - Luyện tập: Ankan và xicloankan
- Bài 1 (trang 153 sgk Hóa học 11 nâng cao)
- Bài 2 (trang 153 sgk Hóa 11 nâng cao)
- Bài 3 (trang 153 sgk Hóa 11 nâng cao)
- Bài 4 (trang 153 sgk Hóa 11 nâng cao)
- Bài 5 (trang 153 sgk Hóa 11 nâng cao)
- Bài 6 (trang 153 sgk Hóa 11 nâng cao)
- Bài 7 (trang 153 sgk Hóa 11 nâng cao)
- Bài 8 (trang 153 sgk Hóa 11 nâng cao)
Để giúp các bạn học sinh học tốt hơn môn Hóa học 11, VnDoc xin giới thiệu tới các bạn tài liệu Giải bài tập Hóa 11 nâng cao bài 37, nội dung tài liệu gồm 8 bài tập trang 153 SGK kèm theo lời giải chi tiết sẽ giúp các bạn học sinh có kết quả cao hơn trong học tập. Mời các bạn học sinh tham khảo chi tiết tại đây nhé.
- Giải bài tập Hóa 11 nâng cao bài 33
- Giải bài tập Hóa 11 nâng cao bài 34
- Giải bài tập Hóa 11 nâng cao bài 35
- Giải bài tập Hóa 11 nâng cao bài 36
Giải bài tập Hóa 11 nâng cao bài 37 Luyện tập: Ankan và xicloankan vừa được VnDoc.com sưu tập và xin gửi tới bạn đọc cùng tham khảo. Bài viết được tổng hợp gồm có lời giải của 8 bài tập trong sách giáo khoa môn Hóa học lớp 11 nâng cao bài Luyện tập: Ankan và xicloankan. Qua bài viết bạn đọc có thể thấy được cách so sánh thành phần và đặc điểm cấu trúc của ankan với xicloankan, cách viết đồng phân cấu tạo của các chất... Mời các bạn cùng tham khảo chi tiết và tải về tại đây nhé.
Giải bài tập Hóa 11 nâng cao
Bài 1 (trang 153 sgk Hóa học 11 nâng cao)
Hãy chọn câu đúng trong các câu sau:
a) Hiđrocacbon no là hiđrocacbon không phản ứng cộng thêm hiđro.
b) Hiđrocacbon no là hiđrocacbon có công thức phân tử CnH2n+2
c) Hiđrocacbon không no là hiđrocacbon có phản ứng cộng với hiđro.
d) Hiđrocacbon no là hiđrocacbon mà trong phân tử chỉ có liên kết đơn.
Lời giải:
Chọn D
Bài 2 (trang 153 sgk Hóa 11 nâng cao)
Hãy so sánh thành phần và đặc điểm cấu trúc của ankan với xicloankan.
Lời giải:
Giống nhau: đều chưa C, H và trong phân tử chỉ chứa liên kết xích ma.
Khác nhau: ankan có mạch hở, gấp khúc, monoxiclohexan có dạng mạch vòng và khi cùng số C, thì chúng kém nhau 2 nguyên tử H.
Bài 3 (trang 153 sgk Hóa 11 nâng cao)
Hãy so sánh nhiệt độ sôi, nhiệt độ nóng chảy, khối lượng riêng của xicloankan (CH2)n (với n = 3 – 6) với các ankan tương ứng rút ra nhận xét.
Lời giải:
Nhiệt độ sôi, nhiệt độ nóng chảy, khối lượng riêng của xicloankan lớn hơn ankan tương ứng.
Nhận xét: khi số nguyên tử cacbon tăng lên thì nhiệt độ sôi, nhiệt độ nóng chảy, khối lượng riêng tăng.
Bài 4 (trang 153 sgk Hóa 11 nâng cao)
Ankan còn có tên là paraffin, có nghĩa là ái lực hóa học (trở về mặt hóa học). Hãy lấy ví dụ minh họa và giải thích.
Lời giải:
Các liên kết C – H và C – C trong phân tử ankan đều là liên kết cộng hóa trị σ gần như không phân cực. Hóa trị của c đã bão hòa, vì vậy ankan tương đối trơ về mặt hóa học.
Bài 5 (trang 153 sgk Hóa 11 nâng cao)
a) Hãy đánh dấu + vào ô xảy ra phản ứng ở bảng sau:
| H2,Ni,80-120o C | HCl (khí) | Br2,as | KMnO4/H2O |
| Propan | |||
| Xilcopropan | |||
| Butan | |||
| Xiclobutan | |||
| Pentan | |||
| xiclopentan |
b) Viết Phương trình và gọi tên nếu xảy ra phản ứng.
Lời giải:
a)
| H2,Ni,80-120o C | HCl (khí) | Br2,as | KMnO4/H2O |
| Propan | + | ||
| Xilcopropan | + | + | + |
| Butan | + | ||
| Xiclobutan | + | + | |
| Pentan | + | ||
| xiclopentan | + |
b) Các phản ứng xảy ra:

CH3-CH2-CH3+Br2→CH3-CHBr-CHBr-CH3+HBr
CH3-CH2-CH2-CH3+Br2→CH3-CHBr-CH2-CH3+HBr
CH3-CH2-CH2-CH2-CH3+Br2→CH3-CHBr-CH2-CH2-CH3+HBr
CH3-CH2-CH2-CH2-CH3+Br2→CH3-CH2-CHBr-CH2-CH3+HBr
Bài 6 (trang 153 sgk Hóa 11 nâng cao)
a) Hãy viết đồng phân cấu tạo của C7H16, gọi tên chúng và cho biết e đã là như thế nào để viết được đầy đủ các đồng phân cấu tạo của C7H16.
b) Cũng hỏi câu hỏi như câu a với C6H12
Lời giải:
a)

b) công thức cấu tạo của monoxicloankan C6H12

Bài 7 (trang 153 sgk Hóa 11 nâng cao)
Hãy ghi Đ (đúng) hoặc S (sai) ở mỗi câu sau:
a) xiclopropan là hiđrocacbon không no vì có phản ứng cộng.
b) propan không làm mất màu dung dịch KMnO4
c) xiclopropan làm mất màu dung dịch KMnO4
d) khi đun nóng mạch propan bị tách H2 chuyển thành xicloprpan.
Lời giải:
a) S
b) Đ
c) S
d) S
Bài 8 (trang 153 sgk Hóa 11 nâng cao)
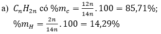
a) Hãy lập công thức % khối lượng C, H của monoxicloankan theo số lượng nguyên tử C trong phân tử. Nhận xét kết quả thu được.
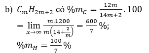
b) cũng câu hởi a đối với ankan. Hàm lượng % C, H ở ankan C2H2n+2 sẽ biến đổi như thế nào khi n→∞
Lời giải:

Nhận xét: với xicloankan, phần trăm khối lượng C và H không dổi, không phụ thuộc vào n.

nhận xét: khi m tiến đều từ 1 đến ∞, giới hạn phần trăm khối lượng của C và H biến đổi như sau:

-----------------------------------
Trên đây VnDoc.com đã giới thiệu tới bạn đọc tài liệu: Giải bài tập Hóa 11 nâng cao bài 37. Mong rằng qua bài viết này các bạn có thêm tài liệu để học tập tốt hơn môn Hóa học lớp 11 nhé. Để có kết quả cao hơn trong học tập, VnDoc xin giới thiệu tới các bạn học sinh tài liệu Sinh học lớp 11, Vật lý lớp 11, Giải bài tập Hóa học lớp 11, Giải bài tập Toán 11 mà VnDoc tổng hợp và đăng tải.
Mời bạn đọc cùng tham gia nhóm Tài liệu học tập lớp 11 để có thêm tài liệu học tập nhé