Giải bài tập Hóa 11 nâng cao bài 44
Hóa học 11 - Luyện tập: Hiđrocacbon không no
- Bài 1 (trang 181 sgk Hóa 11 nâng cao)
- Bài 2 (trang 181 sgk Hóa 11 nâng cao)
- Bài 3 (trang 181 sgk Hóa 11 nâng cao)
- Bài 4 (trang 182 sgk Hóa 11 nâng cao)
- Bài 5 (trang 182 sgk Hóa 11 nâng cao)
- Bài 6 (trang 182 sgk Hóa 11 nâng cao)
- Bài 7 (trang 182 sgk Hóa 11 nâng cao)
- Bài 8 (trang 182 sgk Hóa 11 nâng cao)
- Bài 9 (trang 182 sgk Hóa học 11 nâng cao)
VnDoc xin giới thiệu tới các bạn tài liệu Giải bài tập Hóa 11 nâng cao bài 44, nội dung tài liệu gồm 9 bài tập trang 181, 182 SGK kèm theo lời giải chi tiết sẽ giúp các bạn học sinh có kết quả tốt hơn trong học tập. Mời các bạn học sinh và thầy cô cùng tham khảo chi tiết bài viết dưới đây nhé.
- Giải bài tập Hóa 11 nâng cao bài 40
- Giải bài tập Hóa 11 nâng cao bài 41
- Giải bài tập Hóa 11 nâng cao bài 42
- Giải bài tập Hóa 11 nâng cao bài 43
Giải bài tập Hóa 11 nâng cao bài 44 Luyện tập: Hiđrocacbon không no vừa được VnDoc.com sưu tập và xin gửi tới bạn đọc cùng tham khảo. Bài viết được tổng hợp gồm có lời giải của 9 bài tập trong sách giáo khoa môn Hóa học lớp 11 nâng cao bài Luyện tập: Hiđrocacbon không no. Qua bài viết bạn đọc có thể thấy được cách viết công thức cấu tạo chung của anken, ankadien, ankin và nêu đặc điểm trong cấu trúc không gian của chúng... Mời các bạn cùng tham khảo chi tiết và tải về tại đây nhé.
Giải bài tập Hóa 11 nâng cao
Bài 1 (trang 181 sgk Hóa 11 nâng cao)
a) Điền các số thích hợp vào bảng.
| Hidrocacbon | CTPT | Số nguyên tử H ít hơn ankan tương ứng | Số liên kết pi (π) | Số vòng (V) | Tổng số π+V |
| Ankan | CnH2n+2 | 0 | 0 | 0 | 0 |
| Anken | CnH2n | 2 | 1 | 0 | 1 |
| Monoxicloankan | CnH2n | ||||
| Ankađien | CnH2n-2 | ||||
| Ankin | CnH2n-2 | ||||
| Oximen(*) | C10H16 | ||||
| Limone(*) | C10H16 |
(*) công thức cấu tạo cho ở bài “khái niệm về tecpen”.
(**) dùng kí hiệu (π+v) trong các bài tập sẽ có lợi và gọn.
b)Hãy cho biết số lượng nguyên tử H ở phân tử xicloankan và ở phân tử mỗi loại hidrocacbon không no ít hơn ở phân tử ankan tương ứng là bao nhiêu, giải thích vì sao lại ít hơn ngần ấy.
Lời giải:
a)
| Hidrocacbon | CTPT | Số nguyên tử H ít hơn ankan tương ứng | Số liên kết pi (π) | Số vòng (V) | Tổng số π+V |
| Ankan | CnH2n+2 | 0 | 0 | 0 | 0 |
| Anken | CnH2n | 2 | 1 | 0 | 1 |
| Monoxicloankan | CnH2n | 2 | 0 | 1 | 1 |
| Ankađien | CnH2n-2 | 4 | 2 | 0 | 2 |
| Ankin | CnH2n-2 | 4 | 2 | 0 | 2 |
| Oximen(*) | C10H16 | 6 | 3 | 0 | 3 |
| Limone(*) | C10H16 | 6 | 2 | 1 | 3 |
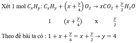
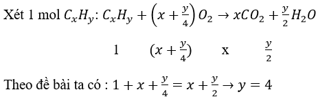
b) 1 nguyên tử C có 4 electron hóa trị
⇒ n nguyên tử C có 4.n electron hóa trị.
⇒ số liên kết σ giữa các nguyên tử C trong phân tử ankan (n-1).
⇒ số c hóa trị dùng tạo (n - 1) liên kết σ giữa C-C là (n-1).2.
⇒ số nguyên tử H là 2n + 2. Công thức ankan: CnH2n+2
Với các hidrocacbon không no hay vòng. Số e hóa trị phải dùng cho 1 liên kết π là 2: 1 vòng tương ứng với 1 liên kết π, một nối ba tương ứng với hai nối đôi.
Như vậy:
Số H trong phân tử anken hoặc xicloankan kém hơn anka có số C tương ứng là 2 vì anken có 1 liên kết π và xicloankan có một vòng.
Số H trong phân tử ankin hoặc ankadien kém hơn ankan có số C tương ứng là 4 vì ankin có một nối ba và ankadien ó hai nối đôi.
Bài 2 (trang 181 sgk Hóa 11 nâng cao)
Hãy điền các từ hoăc các số cho dưới đây vào chỗ trống trong các câu sau:
a) anken và…(1)… đều có (π+v)=1; nhưng…(2)… có (v) =1 còn …(3)… có (v) =…(4)…
b) …(5)… và …(6)… đều có (π+v)=2; chúng đều có π=…(7)… và (v) =…(8)…
A. ankin
B. 1
C. xicloankan
D. 2;
E. anken
G. ankađien
H. 2
K.0.
Lời giải:
a) (1) xicloankan
(2) xicloankan
(3) anken
(4) 0.
b) (5) ankadien
(6) ankin
(7) 2
(8).0.
Bài 3 (trang 181 sgk Hóa 11 nâng cao)
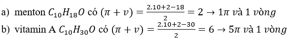
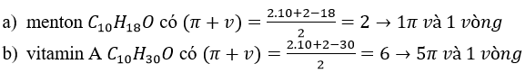
a) Meton (mùi bạc hà) có công thức phân tử C10H18O có chứa 1 vòng 6 cạnh không chứa liên kết ba. Hỏi trong phân tử có mấy liên kết đôi?
b) vitamin a có công thức phân tử C20H30O có chứa 1 vòng 6 cạnh không chứa liên kết ba. Hỏi trong phân tử có mấy liên kết đôi?
Lời giải:

Bài 4 (trang 182 sgk Hóa 11 nâng cao)
a) hãy viết công thức cấu tạo chung của anken, ankadien, ankin và nêu đặc điểm trong cấu trúc không gian của chúng.
b) hãy cho biết những nhóm nguyên tử nào quyết định đặc tính hóa học của anken, ankadien, ankin. Vì sao?
c) hãy kể những phản ứng đặc trưng của anken, anla-1,3-đien và ankin.
Lời giải:
a)
- Công thức cấu tạo chung của anken R1R2C-CR3R4
- Công thức cấu tạo chung của ankadien: R1R2C=CH-(CH2)n-CH=CR3R4 (n∈N).
- Công thức cấu tạo chung của ankin R1C≡CR2
Với anken và ankadien có thể có cấu trúc không gian.
b) Nối đôi C=C quyết định tính chất hóa học của anken và ankadien; nối ba C≡C quyết định tính chất hóa học của ankin.
c) Phản ứng đặc trưng của anken là phản ứng công, của anka-1,3-dien là cộng, của ankin là cộng và thế.
Bài 5 (trang 182 sgk Hóa 11 nâng cao)
a) Hãy nêu những nguyên tắc chung điều chế anken, ankađien, ankin để dùng trong công nghiệp tổng hợp hữu cơ. Lấy thí dụ điều chế chất tiêu biểu cho mỗi loại.
b) Vì sao etilen là hóa chất hữu cơ được sản xuất với sản lượng lớn nhất?
Lời giải:
a) Nguyên tắc chung điều chế anken, ankadien, ankin là tách H2 ra khỏi ankan

b) etilen là ngày nay được dùng làm nguyên liệu quan trọng trong sản xuất polime và nhiều hóa chất cơ bản khác nên được sản xuất với sản lượng lớn.
Bài 6 (trang 182 sgk Hóa 11 nâng cao)
Dùng công thức cấu tạo hãy viết các phương trình hóa học của phản ứng theo sơ đồ sau:

Lời giải:

CH≡C-CH=CH2 + [Ag(NH3)2](OH)→AgC≡C-CH=CH2 + 2NH3 + H2O
Vậy A là: CH3-CH=CH-CH3;B là CH3-CH2-CH=CH2;
C là CH3-C≡C-CH3;D là CH2=CH-CH=CH2 và E là CH3-CH2-C≡CH
Bài 7 (trang 182 sgk Hóa 11 nâng cao)
Khi đốt cháy hoàn toàn một hidrocacbon ở thể khí (điều kiện thường) thì thấy thể tích các khí tạo thành sau phản ứng đúng bằng thể tích các khí tham gia phản ứng (ở cùng điều kiện nhiệt độ và áp suất). hãy cho biết hidrocacbon đó có thể nhận các công thức phân tử như thế nào?
Lời giải:
Hidrocacbon khí ở điều kiện thường nên 1 ≥ x ≥ 4 và 0 ≥ y ≥ 2x+2

Công thức phân tử của hidrocacbon có thể là CH4,C2H4,C3H4,C4H4
Bài 8 (trang 182 sgk Hóa 11 nâng cao)
* Hỗn hợp A gồm hai chất kế tiếp nhau trong dãy đồng đẳng của etilen. Cho 3,36 lít (đktc) hỗn hợp khí trên phản ứng hoàn toàn với Br2 trong CCl4 thì thấy khối lượng bình chứa nước brom tăng thêm 7,7 gam.
a) Hãy xác định công thức phân tử của hai anken đó.
b) Xác định thành phần phần trăm về thể tích của hỗn hợp A.
c) Viết công thức cấu tạo của các anken đồng phân có cùng công thức phân tử với hai anken đã cho.
Lời giải:
a) Đặt công thức tổng quát của anken thứ nhất là CnH2n (x mol), công thức tổng quát của anken thứ hai là CmH2m (y mol)

c) Công thức cấu tạo của C3H6:CH3-CH=CH2 Propen
Công thức cấu tạo của C4H8:
CH3-CH2-CH=CH2: but-1-en
CH2=C(CH3)-CH3: 2-metyl propen
CH3-CH=CH-CH3: but-2-en
But – 2- en có đồng phân hình học:

Bài 9 (trang 182 sgk Hóa học 11 nâng cao)
* Nhiệt phân 2,8 lít (đktc) etan ở 1200oC rồi cho một nửa hỗn hợp khí thu được sục qua bình đựng nước brom (dư) thì thấy khối lượng này tăng thêm 1,465 gam. Cho nửa hỗn hợp khí còn lại phản ứng với dung dịch AgNO3 trong ammoniac thì thu được 0,6 gam kết tủa màu vàng. Biết rằng phản ứng nhiệt phân tạo ra etilen, axetilen là phản ứng không hoàn toàn, các phản ứng tiếp sau đó đều xảy ra hoàn toàn. Hãy xác định thành phần phần trăm về thể tích của hỗn hợp khí thu được.
Lời giải:


-----------------------------------
Trên đây VnDoc.com đã giới thiệu tới bạn đọc tài liệu: Giải bài tập Hóa 11 nâng cao bài 44. Mong rằng qua bài viết này các bạn có thêm tài liệu để học tập tốt hơn môn Hóa học lớp 11 nhé. Để có kết quả cao hơn trong học tập, VnDoc xin giới thiệu tới các bạn học sinh tài liệu Sinh học lớp 11, Vật lý lớp 11, Giải bài tập Hóa học lớp 11, Giải bài tập Toán 11 mà VnDoc tổng hợp và đăng tải.
Mời bạn đọc cùng tham gia nhóm Tài liệu học tập lớp 11 để có thêm tài liệu học tập nhé