Giải bài tập Hóa 11 nâng cao bài 36
Hóa học 11: Xicloankan
VnDoc xin giới thiệu tới bạn đọc tài liệu Giải bài tập Hóa 11 nâng cao bài 36, nội dung tài liệu gồm 6 bài tập trang 150, 151 SGK kèm theo lời giải chi tiết sẽ giúp các bạn học sinh có kết quả cao hơn trong học tập. Mời các bạn học sinh tham khảo chi tiết bài viết dưới đây nhé.
- Giải bài tập Hóa 11 nâng cao bài 32
- Giải bài tập Hóa 11 nâng cao bài 33
- Giải bài tập Hóa 11 nâng cao bài 34
- Giải bài tập Hóa 11 nâng cao bài 35
Giải bài tập Hóa 11 nâng cao bài 36 Xicloankan vừa được VnDoc.com sưu tập và xin gửi tới bạn đọc cùng tham khảo. Bài viết được tổng hợp gồm có lời giải của 6 bài tập trong sách giáo khoa môn Hóa học lớp 11 nâng cao bài Xicloankan. Qua bài viết bạn đọc có thể thấy được khía niệm Xicloankan, cách so sánh đặc điểm cấu tạo của Xicloankan với các chất khác, cách viết công thức cấu tạo thu gọn của các xicloanakan... Mời các bạn cùng tham khảo chi tiết và tải về tại đây nhé.
Giải bài tập Hóa 11 nâng cao Xicloankan
Bài 1 (trang 150 sgk Hóa 11 nâng cao)
Hãy ghi Đ (đúng) hoặc S (sai) vào dấu [] ở mỗi câu sau:
a) Xicloankan là một loại hiđrocacbon mạch vòng []
b) Hiđrocacbon mạch vòng là xicloankan []
c) Công thức phân tử của monoxicloankan là (CH2)n []
d) Công thức phân tử của xicloankan là CnH2n []
e) Công thức phân tử của monoxicloankan là CnH2n []
g) 6 nguyên tử C ở xiclohexan cùng nằm trên 1 mặt phẳng []
h) 6 nguyên tử C xiclohexan không cùng nằm trên 1 mặt phẳng []
Lời giải:
a) Đ
b) S
c) Đ (n ≥ 3)
d) S
e) Đ
g) S
h) Đ
Bài 2 (trang 151 sgk Hóa 11 nâng cao)
Hãy so sánh đặc điểm cấu tạo của:
a) Xicloproapn với propan
b) Xiclohexan với hexan
Lời giải:
a) So sánh đăc điểm cấu tạo của xicloproapn với propan.
Giống nhau: đều có 3 nguyên tử c và trong phân tử có liên kết xích ma.
Khác nhau: propan có mạch mở, xiclopropan có mạch vòng và chúng kém nhau 2 nguyên tử H.
b) So sánh đặc điểm cấu tạo của xiclohexan và hexan
Giống nhau: đều có 6 nguyên tử c và trong phân tử có liên kết xích ma.
Khác nhau: hexan có mạch mở, xiclohexan có mạch vòng và chúng kém nhau 2 nguyên tử H.
Bài 3 (trang 151 sgk Hóa 11 nâng cao)
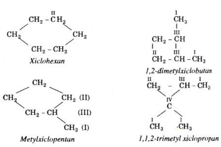
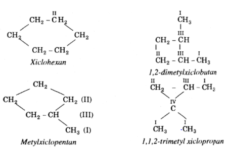
Hãy viết công thức cấu tạo thu gọn của các xicloanakan mà công thức thu gọn nhất của chúng cho ở mục 1.2 và chỉ rõ bậc của nguyên tử cacbon trong công thức đó.
Lời giải:
Công thức cấu tạo

Bài 4 (trang 151 sgk Hóa 11 nâng cao)
Hãy viết công thức cấu tạo và gọi tên các hiđrocacbon no ứng với công thức phân tử C5H10
Lời giải:
Có 5 đồng phân xicloankan
Bài 5 (trang 151 sgk Hóa học 11 nâng cao)
Hãy phân biệt propan với xiclopropan bằng Phương pháp hóa học.
Lời giải:
Dùng dung dịch brom nhận biết được xiclopropan vì xicloprpan làm mất màu dung dịch brom tuy rất chậm
![]()
Bài 6 (trang 151 sgk Hóa 11 nâng cao)
Khi oxi hóa hoàn toàn 7 gam hợp chất A thu được 11,2 ml khí CO2 (đktc) và 9,0 gam nước. tỉ khối hơi của A so với N2 bằng 2,5. Xác định công thức cấu tạo của A nến khi clo hóa nó chỉ thu được 1 dẫn xuất mono duy nhất.
Lời giải:
![]()
mO = 7.10-3 - (6.10-3 + 10-3) = 0 ⇒ A là hiđroacbon
Ta có
\(d_{A/N_2}\) = 2,5 ⇒ MA = 2,5.28 = 70
Đặt công thức tổng quát của A là CxHy
Ta có tỉ lệ x:y = 0,0005:0,001 = 1:2
Công thức đơn giản của A là (CH2)n với MA=70⇒(12.1 + 1.2)n = 70
⇒ n = 5
vậy công thức phân tử của A C5H10
công thức cấu tạo của A

-----------------------------------
Trên đây VnDoc.com đã giới thiệu tới bạn đọc tài liệu: Giải bài tập Hóa 11 nâng cao bài 36. Mong rằng qua bài viết này các bạn có thêm tài liệu để học tập tốt hơn môn Hóa học lớp 11 nâng cao nhé. Để có kết quả cao hơn trong học tập, VnDoc xin giới thiệu tới các bạn học sinh tài liệu Sinh học lớp 11, Vật lý lớp 11, Giải bài tập Hóa học lớp 11, Giải bài tập Toán 11 mà VnDoc tổng hợp và đăng tải.
Mời bạn đọc cùng tham gia nhóm Tài liệu học tập lớp 11 để có thêm tài liệu học tập nhé