Giải bài tập Hóa 11 nâng cao bài 13
Hóa học 11 - Luyện tập: Tính chất của nitơ và hợp chất của nitơ
VnDoc xin giới thiệu tới bạn đọc tài liệu Giải bài tập Hóa 11 nâng cao bài 13, nội dung tài liệu gồm 5 bài tập trang 57, 58 SGK kèm theo đáp án sẽ giúp các bạn học sinh rèn luyện giải bài tập Hóa học một cách hiệu quả hơn. Mời thầy cô và các bạn học sinh cùng tham khảo chi tiết bài viết dưới đây nhé.
- Giải bài tập Hóa 11 nâng cao bài 9
- Giải bài tập Hóa 11 nâng cao bài 10
- Giải bài tập Hóa 11 nâng cao bài 11
- Giải bài tập Hóa 11 nâng cao bài 12
Giải bài tập Hóa 11 nâng cao bài 13 Luyện tập: Tính chất của nitơ và hợp chất của nitơ vừa được VnDoc.com sưu tập và xin gửi tới bạn đọc cùng tham khảo. Bài viết được tổng hợp gồm có lời giải của 5 bài tập trong sách giáo khoa môn Hóa học lớp 11 nâng cao. Qua bài viết bạn đọc có thể luyện tập được cách viết phương trình phản ứng hóa học, cách xác định các chất, tính tổng các hệ số trong phương trình phản ứng hóa học... Mời các bạn cùng tham khảo chi tiết và tải về tại đây nhé.
Giải bài tập Hóa 11 nâng cao
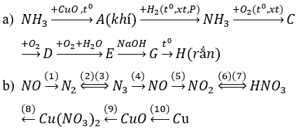
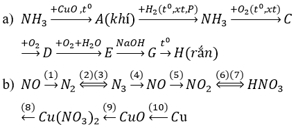
Bài 1 (trang 57 sgk Hóa 11 nâng cao)
Viết các Phương trình phản ứng hóa học để thực hiện các dãy chuyển hóa sau.

Lời giải:

Bài 2 (trang 58 sgk Hóa học 11 nâng cao)
Chất khí A có mùi khai, phản ứng với khí clo theo cách khác nhau sau đây, tùy theo điều kiện phản ứng.
Trong trường hóp dư khí A thì xảy ra phản ứng:
8a + 3Cl2 → 6C+ D
Chất rắn khô chất khí
Trong trường hợp dư khí clo xảy ra phản ứng:
2A+3Cl2 → D(chất khí)+6E
Chất rắn C màu trắng, khi đốt nó bị phân hủy thuận nghịch biến thành chất A và chất E. Khối lượng riêng của chất khí D là 1, 25 g/l (đktc). Hãy xác định các chất A, B, C, D E và viết phương trình hóa học của các phản ứng.
Lời giải:

Bài 3 (trang 58 sgk Hóa 11 nâng cao)
Hãy chọn đáp án đúng trong các trường hợp sau:
a) Phản ứng giữa kim loại magie với axir nitric đặc giả thiết chỉ tạo ra đnitơ oxit. Tổng các hệ số trong phản ứng hóa học bằng.
A. 10
B. 18
C. 24
D. 20
b) Phản ứng giữa kim loại Cu với axit nitric đặc giả thiết chỉ tạo ra nito monoxit. Tổng các hệ số trong Phương trình hóa học bằng:
A. 10
B. 18
C. 24
D. 20
Lời giải:
a) Chọn C. 4Mg + 10HNO3 đặc→4Mg(NO3)2 + N2O + 5H2O
Thông thường trong chương trình phổ thông:
Mg + 4HNO3 đặc→Mg(NO3)2 + 2N2 + 2H2O
b) Chọn D. 3Cu + 8HNO3 loãng→3Cu(NO3)2 + 2NO + 4H2O
Bài 4 (trang 58 sgk Hóa 11 nâng cao)
Bằng phản ứng hóa học, hãy nhận biết các dung dịch sau:
NH3,(NH4)2SO4,NH4Cl,Na2SO4. Viết các Phương trình hóa học.
Lời giải:
Nhận biết các dung dịch NH3,(NH4)2SO4,NH4Cl,Na2SO4
Dùng đũa thủy tinh nhúng vào dung dịch HCl đặc và đưa vào mẫu thử trên, mẫu thử có khói trắng xuất hiệu là dung dịch NH3.
NH3+HCl→NH4Cl
Dùng dung dịch Ba(OH)2 cho vào 3 mẫu thử còn lại.
Mẫu sủi bọt mùi khai, đồng thời tạo kết tủa trắng là dung dịch (NH4)2SO4.
(NH4)2SO4+Ba(OH)2 →BaSO4+2NH3+2H2O
Mẫu sủi bọt khí mùi khai là dung dịch NH4Cl
2NH4Cl+Ba(OH)2→BaCl2+2NH3+2H2O
Mẫu tạo kết tủa trắng là dung dịch Na2SO4
Na2SO4+Ba(OH)2→BaSO4+2NaOH
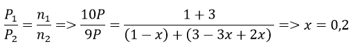
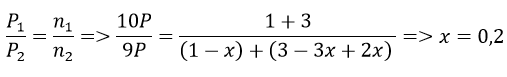
Bài 5 (trang 58 sgk Hóa 11 nâng cao)
Trong quá trình tổng hợp ammoniac, áp suất trong bình phản ứng giảm đi 10,0% so với áp suất lúc ban đầu. Biết nhiệt độ của phản ứng được giữa không đổi trước và sau phản ứng. Hãy xác định thành phần phần trăm thể tích của hỗn hợp khí thu được sau phản ứng, nếu trong hỗn hợp ban đầu lượng nitơ và hiđro được lấy đúng theo hệ số tỉ lượng.
Lời giải:
Xét hỗn hợp ban đầu 1 mol N2 và 3 mol H2. Đặt số mol N2 tham gia phản ứng là x mol.

Áp suất của hệ lúc đầu là: P1 = 10P, theo đề bài áp suất giảm 10% ⇒ áp xuất của hệ sau là P2 = 9P
Trước phản ứng ta có: P1V1 = n1RT1 (1)
Sau phản ứng: P2V2 = N2RT2 (2)
Bình kín và nhiệt độ không đổi, lấy (1) chia (2) ta được:

Hỗn hợp khí thu được sau phản ứng: NH3 0,4 mol, N2 dư 0,8 mol;H2 dư 2,4 mol.
Tính phần trăm thể tích của mỗi khí trong hỗn hợp sau phản ứng:

-----------------------------------
Trên đây VnDoc.com đã giới thiệu tới bạn đọc tài liệu: Giải bài tập Hóa 11 nâng cao bài 13. Mong rằng qua bài viết này các bạn có thể học tập tốt hơn môn Hóa học lớp 11. Để có kết quả cao hơn trong học tập, VnDoc xin giới thiệu tới các bạn học sinh tài liệu Sinh học lớp 11, Vật lý lớp 11, Giải bài tập Hóa học lớp 11, Giải bài tập Toán 11 mà VnDoc tổng hợp và đăng tải.
Mời bạn đọc cùng tham gia nhóm Tài liệu học tập lớp 11 để có thêm tài liệu học tập nhé