Giải bài tập Hóa 11 nâng cao bài 59
Hóa học 11 - Luyện tập: Anđehit và xeton
- Bài 1 (trang 246 sgk Hóa học 11 nâng cao)
- Bài 2 (trang 246 sgk Hóa 11 nâng cao)
- Bài 3 (trang 246 sgk Hóa 11 nâng cao)
- Bài 4 (trang 246 sgk Hóa 11 nâng cao)
- Bài 5 (trang 246 sgk Hóa 11 nâng cao)
- Bài 6 (trang 246 sgk Hóa 11 nâng cao)
- Bài 7 (trang 246 sgk Hóa 11 nâng cao)
- Bài 8 (trang 246 sgk Hóa 11 nâng cao)
- Bài 9 (trang 247 sgk Hóa 11 nâng cao)
- Bài 10 (trang 247 sgk Hóa 11 nâng cao)
- Bài 11 (trang 247 sgk Hóa 11 nâng cao)
- Bài 12 (trang 247 sgk Hóa 11 nâng cao)
VnDoc xin giới thiệu tới các bạn tài liệu Giải bài tập Hóa 11 nâng cao bài 59, nội dung tài liệu gồm 12 bài tập trang 246, 248 SGK kèm theo lời giải chi tiết sẽ giúp các bạn học sinh có kết quả cao hơn trong học tập. Mời các bạn học sinh và thầy cô cùng tham khảo chi tiết bài viết dưới đây nhé.
- Giải bài tập Hóa 11 nâng cao bài 54
- Giải bài tập Hóa 11 nâng cao bài 55
- Giải bài tập Hóa 11 nâng cao bài 56
- Giải bài tập Hóa 11 nâng cao bài 58
Giải bài tập Hóa 11 nâng cao bài 59 Luyện tập: Anđehit và xeton vừa được VnDoc.com sưu tập và xin gửi tới bạn đọc cùng tham khảo. Bài viết được tổng hợp gồm có lời giải của 12 bài tập trong sách giáo khoa môn Hóa học lớp 11 bài Luyện tập: Anđehit và xeton. Qua bài viết bạn đọc có thể thấy được đặc điểm cấu trúc của nhóm cacbonyl và sự khác nhau giữa nhóm chức andehit và nhóm xeton... Mời các bạn cùng tham khảo chi tiết và tải về tại đây nhé.
Giải bài tập Hóa 11 nâng cao
Bài 1 (trang 246 sgk Hóa học 11 nâng cao)
Hãy nêu đặc điểm cấu trúc của nhóm cacbonyl, và nhận xét sự khác nhau giữa nhóm chức andehit và nhóm xeton.
Lời giải:
Đặc điểm và cấu trúc anđêhit và xeton
- Nguyên tử C mang liên kết đôi có trạng thái lai hóa sp2.
- Liên kết đôi C=O gồm 1 liên kết σ bền và 1 liên kết π không bền.
- Liên kết C=O bị phân cực.
Trong cacbonyl trong phân tử xeton có cấu trúc tương tự nhóm cacbonyl trong phân tử anđêhit. Tuy nhiên, nguyên tử cacbon trong phân tử xeton bị chướng ngại lập thể, liên kết C=O trong phân tử xeton ít phân cực hơn so với anđêhit.
Bài 2 (trang 246 sgk Hóa 11 nâng cao)
Hãy so sánh nhiệt độ nóng chảy, nhiệt độ sôi và độ tan trong nước của anđêhit, xeton với ancol tương ứng. giải thích nguyên nhân dẫn tới sự khác nhau giữa chúng.
Lời giải:
Ancol tạo được liên kết hidro liên phân tử, còn anđêhit và xeton thì không. Vì vậy ancol có nhiệt độ sôi cao hơn anđêhit và xeton có số C tương ứng.
Bài 3 (trang 246 sgk Hóa 11 nâng cao)
a) Hãy nêu những phản ứng ở nhóm chức của anđêhit và của xeton, cho thí dụ minh họa.
b) Hãy nêu các phản ứng có thể dùng để phân biệt anđêhit và xeton, cho thí dụ minh họa.
Lời giải:
a) xem tóm tắt lí thuyết.
b) Dùng dung dịch nước brom nhận biết được anđêhit vì anđêhit làm mất màu dung dịch nước brom.
Ví dụ: phân biệt CH3COCH3 và CH3CH2CHO.
Dùng dung dịch nước brom nhận biết được CH3CH2CHO vì nó làm mất màu dung dịch nước brom.
CH3CH2CHO+Br2+H2O→CH3CH2COOH+2HBr
Bài 4 (trang 246 sgk Hóa 11 nâng cao)
a) Hãy nêu phương trình hóa học của phản ứng điều chế anđehit fomic, anđêhit axetic và axeton trong công nghiệp hiện nay.
b) Fomon, fomalin là gì, chúng được sử dụng để làm gì?
Lời giải:
Xem tóm tắt lí thuyết
Bài 5 (trang 246 sgk Hóa 11 nâng cao)
Dùng phương pháp học hãy nhận biết các chất trong các nhóm sau, viết phương trình hóa học các phản ứng xảy ra.
a) Fonalin, axeton, xiclohexen, glixerol.
b) Anzol benzylic, benzen, benzanđêhit.
Lời giải:
a) Dùng dung dịch AgNO3/NH3 nhận biết được fomalin vì tạo ra kết tủa Ag.
HCHO + 4[Ag(NH3)2](OH)→(NH4)2CO3 + 4Ag + 6NH3 + 2H2O
Dùng Cu(OH)2 nhận biết được glixerol vì tạo thành dung dịch xanh lam trong suốt.

Dùng dung dịch brom nhận biết được xiclohexen. Mẫu còn lại là axeton.
b) Ancol benzylic, benzen, benzanđêhit.
Dùng dung dịch AgNO3/NH3 nhận biết được benzanđêhit vì tạo kết tủa Ag.
C6H5CHO + 2[Ag(NH3)2](OH)→C6H5COONH4 + 2Ag + 3NH3 + H2O
Dùng Na nhận biết được ancol benzylic vì sủi bọt khí. mẫu còn lại là bên.
2C6H5CH2OH + 2Na→2C6H5CH2ONa + H2
Bài 6 (trang 246 sgk Hóa 11 nâng cao)
Từ quả cây hồi người ta tách được 4-metoxibenzanđêhit, từ quả cây hồi hoang tách được p-isopropylbenzanđêhit, từ quả cây vanilla tách được 4-hidroxi-3- metoxibenzanđehit (vanilin, dùng làm chất thơm cho bánh kẹo). cho biết metoxi là -CH3O.
a) Hãy viết công thức cấu tạo của cac anđêhit nêu trên và nói ngay (π+v) của chúng mà không cần dùng công thức tính toán.
b) Trong ba chất trên chất nào tan trong nước nhiều hơn, chất nào có nhiệt độ sôi cao nhất, vì sao?
Lời giải:
a)

b) Chất 4-hidroxi-3-metoxibenzanđêhit có nhiệt độ sôi cao nhất, tan trong nước nhiều nhất vì chứa nhóm –CHO và nhóm –OH đều có khả băng tạo liên kết hidro.
Bài 7 (trang 246 sgk Hóa 11 nâng cao)
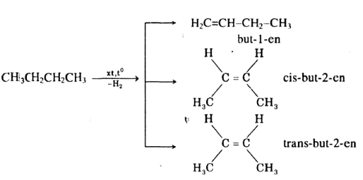
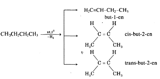
Khi nung nóng butan với xúc tác người ta thu được 3 anken đều có công thức phân tử C4H8. Cho 3 anken đó phản ứng với H2O, ở nhiệt độ cao, có xúc tác axit, rồi oxi hóa các ancol thu được bằng CuO ở nhiệt độ cao thì thu được hỗn hợp các đồng phân có công thức phân tử C4H8O.
a) Hãy viết sơ đồ phản ứng biểu diễn quá trình nêu trên
b) Hãy chỉ rõ sản phẩm chính, phụ ở mỗi phản ứng đã cho.
Lời giải:


Bài 8 (trang 246 sgk Hóa 11 nâng cao)
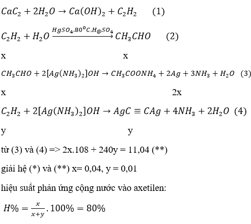
* Cho canxi cacbua phản ứng với nước rồi dẫn khí sinh ra sục qua dung dịch gồm HgSO4, H2SO4, H2O ở 80oC thì thu được hỗn hợp A gồm hai chất khí. Để xác định hiệu suất phản ứng người ta cho 2,02 gam hỗn hợp A phản ứng với dung dịch AgNO3 trong amoniac dư thì thu được 11, 04 gam hỗn hợp chất rắn B.
a) Hãy viết phương trình hóa học của các phản ứng xảy ra.
b) Tính hiệu suất phản ứng cộng nước vào axetilen trong từng trường hợp xảy ra.
Lời giải:

Bài 9 (trang 247 sgk Hóa 11 nâng cao)
* Trong quá trình bảo quản, fomalin bị đục dần, sau đó lắng xuống đáy bình, thnhf lớp bột màu trắng. Phân tích chất bột màu trắng đó thấy C chiếm 39,95$, H chiếm 6,67%. Đun chất bột màu trắng đó với nước có thêm vài giọt axit thì thu được một dung dịch có phản ứng tráng bạc. Hãy xác định công thức của chất bột màu trắng và giải thích những hiện tượng nêu trên:
Lời giải:

Bài 10 (trang 247 sgk Hóa 11 nâng cao)
Hãy điền chữ Đ (đúng) hoặc S (sai) vào dấu [] ở mỗi câu sau:
a) Anđêhit axetic được sản xuất chủ yếu từ axetilen. []
b) Axeton được sản xuất chủ yếu bằng cách oxi hóa propan-2-ol. []
c) Fomanđêhit thường được bán dưới dạng khí hóa lỏng. []
d) Người ta lau sạch sơn màu trên móng tay bằng axeton. []
Lời giải:
a) S
b) S
c) S
d) Đ
Bài 11 (trang 247 sgk Hóa 11 nâng cao)
Hãy ghép cách tên anđêhit hoặc xeton cho ở cột bên phải vào các câu cho bởi ở cột bên trái.
a) Mùi sả thơm trong dầu gội đầu là của …
b) Mùi thơm đặc trưng của kẹo bạc hà là của…
c) Mùi thơm đặc biệt của bánh quy là của…
d) Mùi thơm của quế là của …
A. anđêhit xinamic
B. xitronelol
C. menton
D. vanilin
Lời giải:
a) A
b) C
c) D
d) B
Bài 12 (trang 247 sgk Hóa 11 nâng cao)
Hãy viết công thức cấu tạo các chất mà hô hình của chúng cho dưới đây:
Lời giải:
a) CH3COOH
b) CH3CH2 CH2 CH3
c) CH3CH2 OH
d) CH2 OHCHOHCH2 OH
-----------------------------------
Trên đây VnDoc.com đã giới thiệu tới bạn đọc tài liệu: Giải bài tập Hóa 11 nâng cao bài 59. Mong rằng qua bài viết này các bạn có thêm tài liệu để học tập tốt hơn môn Hóa học lớp 11 nhé. Để có kết quả cao hơn trong học tập, VnDoc xin giới thiệu tới các bạn học sinh tài liệu Sinh học lớp 11, Vật lý lớp 11, Giải bài tập Hóa học lớp 11, Giải bài tập Toán 11 mà VnDoc tổng hợp và đăng tải.
Mời bạn đọc cùng tham gia nhóm Tài liệu học tập lớp 11 để có thêm tài liệu học tập nhé