Giải bài tập Hóa 11 nâng cao bài 56
Hóa học 11 - Luyện tập: Ancol, phenol
VnDoc xin giới thiệu tới các bạn tài liệu Giải bài tập Hóa 11 nâng cao bài 56, nội dung tài liệu gồm 7 bài tập trang 235 SGK kèm theo lời giải chi tiết sẽ giúp các bạn học sinh có kết quả cao hơn trong học tập. Mời các bạn học sinh tham khảo chi tiết bài viết dưới đây nhé.
- Giải bài tập Hóa 11 nâng cao bài 52
- Giải bài tập Hóa 11 nâng cao bài 53
- Giải bài tập Hóa 11 nâng cao bài 54
- Giải bài tập Hóa 11 nâng cao bài 55
Giải bài tập Hóa 11 nâng cao bài 56 Luyện tập: Ancol, phenol vừa được VnDoc.com sưu tập và xin gửi tới bạn đọc cùng tham khảo. Bài viết được tổng hợp gồm có lời giải của 7 bài tập trong sách giáo khoa môn Hóa học lớp 11 bài Luyện tập: Ancol, phenol. Qua bài viết bạn đọc có thể thấy được khái niệm về ancol và phenol, có thể so sánh ancol với phenol về đặc điểm cấu tạo, tính chất hoá học đặc trưng... Mời các bạn cùng tham khảo chi tiết và tải về tại đây nhé.
Giải bài tập Hóa 11 nâng cao
Bài 1 (trang 235 sgk Hóa 11 nâng cao)
Hãy điền Đ (đúng) hoặc S (sai) vào các dấu [] ở mỗi câu sau:
a) Ancol là hợp chất chứa nhóm OH liên kết trực tiếp với nguyên tử C lai hoá sp3. [ ]
b) Phenol là hợp chất chứa nhóm OH liên kết trực tiếp với nguyên tử C lai hoá sp2. [ ]
c) Phân tử ancol không được chứa vòng benzen. [ ]
d) Liên kết C – O ở ancol bền hơn liên kết C – O ở phenol. [ ]
e) Liên kết O – H ở ancol phân cực hơn liên kết O – H ở phenol. [ ]
Lời giải:
a) Đ
b) S
c) S
d) S
e) S
Bài 2 (trang 235 sgk Hóa học 11 nâng cao)
Hãy so sánh ancol với phenol về đặc điểm cấu tạo, tính chất hoá học đặc trưng và nêu nguyên nhân dẫn đến sự khác nhau giữa chúng.
Lời giải:
Giống nhau: có nhóm –OH trong phân tử, tác dụng được với Na, K kim loại.
| Ancol | Phenol |
| - Nhóm –OH không gắn trực tiếp vào vòng benzen. - Không tác dụng được với dung dịch kiềm. C2H5OH+NaOH không pư - Không phản ứng thế với dung dịch br2C2H5OH+Br2không pư - Phản ứng thế với HBr, HCl,… C2H5OH+HBr→C2H5Br+H2O - Phản ứng trực tiếp với ancol tạo ete, axit hữu cơ tạo este. |
- Nhóm –OH gắn trực tiếp vào vòng benzen. - Tác dụng được với dung dịch kiềm. C6H5OH+NaOH→C6H5ONa+H2O - Phản ứng thế với dung dịch Br2 C6H5OH+3Br_2→C6H2OHBr3+3HBr - Không phản ứng thế với HBr, HCl,… C6H5OH+HBr không pư - Không phản ứng trực tiếp với ancol tạo ete và axit hữu cơ tạo este. |
Nguyên nhân:
- Nhóm –OH đẩy electron vào vòng benzen nhờ hiệu ứng liên hợp p-π (electron trên phân lớp p của nguyên tử O và liên kết π của vòng benzen) là cho vị trí 2,4, 6 (ortho, para) giàu electron, phản ứng thế ưu tiên tại vị trí này.
- Vòng benzen hút electron làm mật độ electron trên nguyên tử O giảm ⇒ liên kết –O-H phân cực mạnh ⇒ phenol có tính axit yếu.
Kết luận: nhóm –OH và nhân benzen có ảnh hưởng qua lại lẫn nhau, tạo nên tính chất hóa học đặc trưng của phenol.
Bài 3 (trang 235 sgk Hóa 11 nâng cao)
Hoàn thành các phương trình hóa học của phản ứng sau, vẽ rõ vòng bezen:
a) o-BrC6 H4CH2Br+NaOH→
b) p-HOCH2C6 H4OH+HBr→
c) m-HOCH2C6 H4OH+NaOH dư→
d) p-CH3C6 H4OH+Br2(dd)→
Lời giải:

Bài 4 (trang 235 sgk Hóa 11 nâng cao)
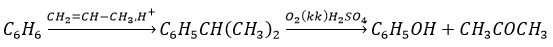
Hiện nay, trong công nghiệp người ta điều chế etanol và phenol như thế nào?
Lời giải:
Sơ đồ điều chế etanol trong công nghiệp.
(C6H10O5)n→C6H12 O6→C2H5OH hoặc C2H4→C2H5OH
Sơ đồ điều chế phenol trong công nghiệp
![]()
Bài 5 (trang 235 sgk Hóa 11 nâng cao)
Đốt cháy hoàn toàn một hỗn hợp gồm hai ancol kế tiếp nhau trong dãy đồng đẳng của metanol, người ta thu được 3,589 lít CO2 (đktc) và 3,96 gam H2O.
a) Xác định công thức phân tử của hai ancol và thành phần phần trăm của chúng trong hỗn hợp.
b) Hai ancol này có thể có công thức cấu tạo như thế nào?
Lời giải:
a) Đặt công thức của ancol no đơn chức thứ nhất là CnH2n +1OH (x mol), công thức của ancol no đơn chức thứ hai là CmH2m+1OH (y mol)

Đề bài không báo rõ tính thành phần phần trăm khối lượng hay số mol, ta xét thành phần phần trăm khối lượng mỗi ancol. Bài này chính là bài số 4 trang 229 sách giáo khoa.

c) Công thức cấu tạo của hai ancol:
CH3-CH2OH,CH3-CH2-CH2OH,CH3-CH(CH3)-CH3
Bài 6 (trang 235 sgk Hóa 11 nâng cao)
* hãy viết các phương trình hóa học của phản ứng để thực hiện các chuyển hóa sau:
a) CH3 CH2 CH2 Br thành CH3 CHBrCH3.
b) (CH3)2 CHCH2 CH2 OH thành (CH3)2 C(OH)CH22 CH3.
Lời giải:
a) CH3-CH2-CH2Br+KOH→CH3-CH=CH2+KBr+H2O
CH3-CH=CH2+HBr→CH3-CHBr-CH3
b) CH3CH(CH3)CH2-CH2OH→CH3CH(CH3)CH=CH2+H2O
CH3CH(CH3)CH=CH2+H2O→CH3CH(CH3)CH(OH)CH3
CH3CH(CH3)CH(OH)CH3→CH3-C(CH3)=CH-CH3+H2O

Bài 7 (trang 235 sgk Hóa 11 nâng cao)
* hãy hoàn thành sơ đồ phản ứng sau (các chữ cái chỉ các sản phẩm chính):

Lời giải:
(CH3)2CHCH2CH2Cl + KOH→(CH3)2CH-CH=CH2 + KCl + H2O (A) (CH3)2CH-CH=CH2 + HCl→(CH3)2CH-CHCl-CH3 (B) (CH3)2CH-CHCl-CH3 + KOH→(CH3)2C=CH-CH3 + KCl + H2O (C)
(CH3)2C=CH-CH3 + HCl→(CH3)2CCl-CH2-CH3 (D) (CH3)2CHCH2CH2Cl + NaOH→(CH3)2CHCH2CH2OH + NaCl (E) (CH3)2CH-CHCl-CH3 + NaOH→(CH3)2CH-CH(OH)-CH3 + NaCl (H)

(CH3)2CH-CH=CH2 + H2O→CH3-CH(CH3)-CH(OH)-CH3 (G) (CH3)2CCl-CH-CH3 + NaOH→CH3-C(CH3)(OH)-CH2-CH3 (I)
-----------------------------------
Trên đây VnDoc.com đã giới thiệu tới bạn đọc tài liệu: Giải bài tập Hóa 11 nâng cao bài 56. Mong rằng qua bài viết này các bạn có thêm nhiều tài liệu để học tập tốt hơn môn Hóa học lớp 11 nhé. Để có kết quả cao hơn trong học tập, VnDoc xin giới thiệu tới các bạn học sinh tài liệu Sinh học lớp 11, Vật lý lớp 11, Giải bài tập Hóa học lớp 11, Giải bài tập Toán 11 mà VnDoc tổng hợp và đăng tải.
Mời bạn đọc cùng tham gia nhóm Tài liệu học tập lớp 11 để có thêm tài liệu học tập nhé