Giải bài tập Hóa 11 nâng cao bài 6
Hóa học 11 - Phản ứng trao đổi ion trong dung dịch các chất điện li
- Bài 1 (trang 28 sgk Hóa 11 nâng cao)
- Bài 2 (trang 28 sgk Hóa 11 nâng cao)
- Bài 3 (trang 29 sgk Hóa 11 nâng cao)
- Bài 4 (trang 29 sgk Hóa 11 nâng cao)
- Bài 5 (trang 29 sgk Hóa 11 nâng cao)
- Bài 6 (trang 29 sgk Hóa 11 nâng cao)
- Bài 7 (trang 29 sgk Hóa 11 nâng cao)
- Bài 8 (trang 29 sgk Hóa 11 nâng cao)
- Bài 9 (trang 29 sgk Hóa 11 nâng cao)
- Bài 10 (trang 29 sgk Hóa 11 nâng cao)
- Bài 11 (trang 29 sgk Hóa học 11 nâng cao)
VnDoc xin giới thiệu tới bạn đọc tài liệu Giải bài tập Hóa 11 nâng cao bài 6, nội dung tài liệu gồm 11 bài tập trang 28, 29 SGK kèm theo lời giải chi tiết sẽ là nguồn thông tin hữu ích để phục vụ công việc học tập của các bạn học sinh được tốt hơn. Mời các bạn học sinh tham khảo chi tiết bài viết dưới đây để hiểu rõ hơn nhé.
- Giải bài tập Hóa 11 nâng cao bài 3
- Giải bài tập Hóa 11 nâng cao bài 4
- Giải bài tập Hóa 11 nâng cao bài 5
Giải bài tập Hóa 11 nâng cao bài 6 Phản ứng trao đổi ion trong dung dịch các chất điện li vừa được VnDoc.com sưu tập và xin gửi tới bạn đọc cùng tham khảo. Bài viết được tổng hợp gồm có lời giải của 11 bài tập trong sách giáo khoa môn Hóa học lớp 11 nâng cao. Qua bài viết bạn đọc có thể thấy được điều kiện để xảy ra phản ứng trao đổi ion trong dung dịch các chất điện li, cách viết phương trình ion rút gọn của các phản ứng... Mời các bạn cùng tham khảo chi tiết và tải về tại đây nhé.
Giải bài tập Hóa 11 nâng cao
Bài 1 (trang 28 sgk Hóa 11 nâng cao)
Điều kiện để xảy ra phản ứng trao đổi ion trong dung dịch các chất điện li là gì? Lấy các thí dụ minh họa.
Lời giải:
Điều kiện để xảy ra phản ứng trao đổi ion:
Chất tham gia phản ứng phải tan (trừ phản ứng với axit)
Có sự tạo thành:
- Chất kết tủa (chất ít tan hơn, chất không tân)
- Chất dễ bay hơi
- Chất điện li yếu hơn.
Ví dụ:
+ Sản phẩm là chất kết tủa
Phương trình dưới dạng phân tử:
Na2SO4 + BaCl2 → BaSO4↓ + 2NaCl
Phương trình ion rút gọn:
Ba2+ + SO42- → BaSO4↓
+ Sản phẩm là chất điện li yếu
Phương trình dưới dạng phân tử:
HCl + NaOH → NaCl + H2O
Phương trình ion rút gọn:
2H+ + CO32- → CO2↑ + H2O
Bài 2 (trang 28 sgk Hóa 11 nâng cao)
Viết phương trình ion rút gọn của các phản ứng (nếu có) xảy ra trong dung dịch giữa các cặp chất sau:
a) Fe2(SO4)3 + NaOH
b) KNO3 + NaCl
c) NaHSO3 + NaOH
d) Na2HPO4 + HCl
e) Cu(OH)2 (r) + HCl
g) FeS (r) + HCl
h) Cu(OH)2 (r) + NaOH (đặc)
i) Sn(OH)2 (r) + H2SO4
Lời giải:
a) Fe2(SO4)3 + 6NaOH → 2Fe(OH)3↓ + 3Na2SO4 (Fe3+ + 3OH- → Fe(OH)3↓)
b) KNO3 + NaCl: không phản ứng
c) NaHSO3 + NaOH → Na2SO3 + H2O (HSO3- + OH- → SO32- + H2O)
d) Na2HPO4 + 2HCl → 2NaCl + H3PO4 (HPO42- + 2H+ ↔ H3PO4)
e) Cu(OH)2 + 2HCl → CuCl2 + 2H2O (Cu(OH)2 + 2H+ → Cu2+ + 2H2O)
f) FeS + 2HCl → FeCl2 + H2S↑ (FeS + 2H+ → Fe2+ + H2S↑)
h) Cu(OH)2r + NaOH: không phản ứng.
i) Sn(OH)2 + H2SO4 → SnSO4 + 2H2O (Sn(OH)2 + 2H+ → Sn2+ + 2H2O)
Bài 3 (trang 29 sgk Hóa 11 nâng cao)
Hãy điều chế kết tủa CuS bằng ba phản ứng trao đổi ion khác nhau xảy ra trong dung dịch. Từ đó rút ra bản chất của phản ứng trong các dung dịch này.
Lời giải:
Cu(NO3)2 + Na2S → CuS↓ + 2NaNO3
CuSO4 + H2S → CuS↓ + H2SO4
CuCl2 + K2S → CuS↓ + 2KCl
Bản chất của các phản ứng này là phản ứng trao đổi ion: Cu2+ + S2- → CuS↓
Bài 4 (trang 29 sgk Hóa 11 nâng cao)
Phương trình ion rút gọn của phản ứng cho biết
A. những ion nào tồn tại trong dung dịch.
B. nồng độ những ion nào trong dung dịch lớn nhất.
C. bản chất của bản ứng trong dung dịch các chất điện li.
D. không tồn tại các phân tử trong dung dịch các chất điện li.
Lời giải:
Chọn C.
Bài 5 (trang 29 sgk Hóa 11 nâng cao)
a) Dùng phản ứng hóa học để tách cation Ca2+ ra khỏi dung dịch chưa NaNO3 và Ca(NO3)2.
b) Dùng phản ứng hóa học để tách anion Br- ra khỏi dung dịch chứa KBr và KNO3.
Lời giải:
Khác với nhận biết tách chất phải có bước tái tạo (hoàn trả lại sản phẩm ban đầu và thông thường phải đảm bảo khối lượng không đổi của các chất trước và sau khi tách).
a) Tách Ca2+ khỏi dung dịch có chứa Na+, Ca2+.
Cho dung dịch tác dụng với một lượng dư dung dịch Na2CO3 lọc thu kết tủa.
Ca2+ + CO32- → CaCO3↓
Hòa tan kết tủa trong dung dịch HNO3 thu được Ca2+
CaCO3 + 2H+ → Ca2+ + CO2↑ + H2O
b) Tách Br- khỏi dung dịch có chứa Br-, NO3-.
Cho dung dịch tác dụng với một lượng dư dung dịch AgNO3, lọc thu kết tủa.
Ag+ +Br- → AgBr↓
Phân hủy AgBr ngoài ánh sáng, thu Br2. Cho Br2 tác dụng với Na thu được Br-.
2AgBr (as)→ 2Ag + Br2
2Na + Br2 → 2NaBr
Bài 6 (trang 29 sgk Hóa 11 nâng cao)
Một trong các nguyên nhân gây bệnh đau dạ dày là do lượng axit HCl trogn dạ dày quá cao. Để giảm bớt lượng axit, người ta thường uống dược phẩm Nabica (NaHCI3). Viết phương trình ion rút gọn của phản ứng xảy ra.
Lời giải:
Phương trình dưới dạng phân tử:
NaHCl3 + HCl → NaCl + CO2↑ + H2O
Phương trình ion rút gọn:
HCO3- + H+ → CO2↑ + H2O
Bài 7 (trang 29 sgk Hóa 11 nâng cao)
Khi nhúng cặp điện cực vào cốc đựng dung dịch H2SO4 trong bộ dụng cụ như ở hình 1.1 rồi nối các dây dẫn điện với nguồn điện, bóng đèn sang rõ. Sau khi thêm vào cốc đó một lượng dung dịch Ba(OH)2, bóng đèn sáng yếu đi. Nếu cho dư dung dịch Ba(OH)2 vào, bóng đèn lại sáng rõ. Giải thích.
Lời giải:
- H2SO4 là chất điện li mạnh vì vậy bóng đèn sáng.
H2SO4 → 2H+ + SO42-
- Khi cho dung dịch Ba(OH)2 vào xảy ra phản ứng
H2SO4 + Ba(OH)2 → BaSO4↓ + 2H2O
Nồng độ SO42- và H+ giảm đi do tạo thành chất khó tan BaSO4 và chất kém điện li H2O, nên bóng đèn sáng yếu đi.
- Khi dư dung dịch Ba(OH)2 nồng độ các ion trong dung dịch tăng (Ba(OH)2 là chất điện li mạnh) bóng đèn sáng trở lại.
Ba(OH)2 → Ba2+ + 2OH-
Bài 8 (trang 29 sgk Hóa 11 nâng cao)
Viết phương trình hóa học dưới dạng phân tử và ion rút gọn của phản ứng trao đổi ion trong dung dịch tạo thành từng kết tủa sau (hình 1.9):

a) CuS ;
b) CdS ;
c) MnS ;
d) ZnS ;
e) FeS.
Lời giải:
a) CuSO4 + Na2S → CuS↓ + Na2SO4 (Cu2+ + S2- → CuS↓)
b) CdSO4 + Na2S → CdS↓ + Na2SO4 (Cd2+ + S2- → CdS↓)
c) MnSO4 + Na2S → MnS↓ + Na2SO4 (Mn2+ + S2- → MnS↓)
d) ZnSO4 + Na2S → ZnS↓ + Na2SO4 (Zn2+ + S2- → ZnS↓)
e) FeSO4 + Na2S → FeS↓ + Na2SO4 (Fe2+ + S2- → FeS↓)
Bài 9 (trang 29 sgk Hóa 11 nâng cao)
Dung dịch chất nào dưới đây có môi trường kiềm?
A. AgNO3 ;
B. NaClO3 ;
C. K2CO3 ;
D. SnCl2.
Lời giải:
Chọn C. K2CO3:
K2CO3 → 2K+ + CO32-
CO32- + H2O ↔ HCO3- + OH-
Bài 10 (trang 29 sgk Hóa 11 nâng cao)
Dung dịch chất nào dưới đây có môi trường axit?
A. NaNO3
B. KClO4
C. Na3PO4
D. NH4Cl
Lời giải:
Chọn D. NH4Cl
NH4Cl → NH4+ + Cl-
NH4+ + H2O ↔ NH3 + H3O+
Bài 11 (trang 29 sgk Hóa học 11 nâng cao)
Tính nồng độ H+ (mol/l) trong các dung dịch sau:
a) CH3COONa 0,10M (Kb của CH3COO- là 5,71.10-10);
b) NH4Cl 0,10M (Ka của NH4+ là 5,56.10-10).
Lời giải:
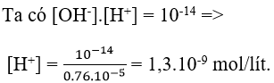
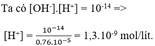
a)
CH3COO- ↔ H2O + CH3COOH + OH-
Trước thủy phân 0,1
Thủy phân x → x → x
Sau thủy phân (0,01-x) x x

Vì x << 0,1 ⇒ (0,1 – x) ≈ 0,1
⇒ x.x = 0,1.5,71.10-10 = 0,571.10-10
⇒ x = 0,76.10-5.
⇒ [OH-] = 0,76.10-5 mol/lít

b)


-----------------------------------
Trên đây VnDoc.com đã giới thiệu tới bạn đọc tài liệu: Giải bài tập Hóa 11 nâng cao bài 6. Để có kết quả cao hơn trong học tập, VnDoc xin giới thiệu tới các bạn học sinh tài liệu Sinh học lớp 11, Vật lý lớp 11, Giải bài tập Hóa học lớp 11, Giải bài tập Toán 11 mà VnDoc tổng hợp và đăng tải.
Mời bạn đọc cùng tham gia nhóm Tài liệu học tập lớp 11 để có thêm tài liệu học tập nhé