Giải bài tập Hóa 11 nâng cao bài 12
Hóa học 11 - Axit nitric và muối nitrat
VnDoc xin giới thiệu tới bạn đọc tài liệu Giải bài tập Hóa 11 nâng cao bài 12, nội dung tài liệu gồm 8 bài tập trang 55 SGK kèm theo đáp án sẽ giúp các bạn học sinh rèn luyện giải bài tập Hóa học một cách tốt nhất. Mời thầy cô và các bạn học sinh cùng tham khảo chi tiết bài viết dưới đây nhé.
- Giải bài tập Hóa 11 nâng cao bài 7
- Giải bài tập Hóa 11 nâng cao bài 9
- Giải bài tập Hóa 11 nâng cao bài 10
- Giải bài tập Hóa 11 nâng cao bài 11
Giải bài tập Hóa 11 nâng cao bài 12 Axit nitric và muối nitrat vừa được VnDoc.com sưu tập và xin gửi tới bạn đọc cùng tham khảo. Bài viết được tổng hợp gồm có lời giải của 8 bài tập trong sách giáo khoa môn Hóa học lớp 11 nâng cao bài Axit nitric và muối nitrat. Qua bài viết bạn đọc có thể luyện tập được cách viết công thức electron và công thức cấu tạo của axit nitric, cách lập phương trình hóa học của các phản ứng... Mời các bạn cùng tham khảo chi tiết và tải về tại đây nhé.
Giải bài tập Hóa 11 nâng cao
Bài 1 (trang 55 sgk Hóa 11 nâng cao)
Viết công thức electron và công thức cấu tạo của axit nitric và cho biết nguyên tố có số oxi hóa là bao nhiêu?
Lời giải:

Bài 2 (trang 55 sgk Hóa 11 nâng cao)
Lập Phương trình hóa học của các phản ứng sau đây:
a) Fe+HNO3 (đặc,nóng)→NO2+⋯
b) Fe+HNO3 (loãng)→NO+⋯
c) Ag+HNO3 (đặc)→NO2+⋯
d) P+HNO3 (đặc)→NO2+H3PO4…
Lời giải:
a) Fe+6HNO3 (đặc,nóng)→3NO2+Fe(NO3)3+3H2O
b) Fe+4HNO3 (loãng)→NO+Fe(NO3)3+H2O
c) Ag+2HNO3 (đặc)→NO2+AgNO3+H2O
d) P+5HNO3 (đặc)→5NO2+H3PO4+H2O
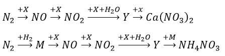
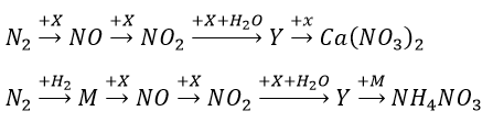
Bài 3 (trang 55 sgk Hóa 11 nâng cao)
Sơ đồ phản ứng sau đây cho thấy rõ vai trò của thiên nhiên và con người trong việc chuyển từ khí quyển vào trong đất, cung cấp nguồn phân đạm cho cây cối.

Hãy viết Phương trình hóa học của các phản ứng trong sơ đồ chuyển hóa trên.
Lời giải:

Bài 4 (trang 55 sgk Hóa 11 nâng cao)
Hợp chất nào sau đây của nitơ không được tạo ra khi cho HNO3 tác dụng với kim loại?
A. NO
B. NH4NO3
C. NO2
D. N2O5
Lời giải:
Chọn D. N2O5
Bài 5 (trang 55 sgk Hóa 11 nâng cao)
Tại sao khi điều chế axit nitric bốc khói phải sử dụng H2SO4 đặc và NaNO3 ở dạng rắn?
Lời giải:
Khi điều chế HNO3 bố khói (HNO3 tính khiết) phải sử dụng H2SO4 đặc và NaNO3 ở dạng rắn vì: HNO3 tan nhiều trong nước và tạo thành hỗn hợp đẳng phí (685 HNO3)
NaNO3 (rắn) + H2SO4 (đặc) →to NaHSO4 + HNO3
Bài 6 (trang 55 sgk Hóa học 11 nâng cao)
Phản ứng giữa HNO3 và FeO tạo ra khí NO. tổng các hệ số trong phản ứng oxi hóa – khử này bằng?
A. 22
B. 20
C. 16
D. 12
Lời giải:
Chọn A. 3FeO+10HNO3 → 3Fe(NO3)3 +NO+5H2O
Bài 7 (trang 55 sgk Hóa 11 nâng cao)
Cho 13,5 gam nhôm tác dụng vừa đủ với 2,2 lít dung dịch HNO3 phản ứng tạo ra muối nhôm và một hỗn hợp khí NO và N2O. Tính nồng độ mol của dung dịch HNO3. Biết rằng tỉ khối của hỗn hợp khí đối với hiđro bằng 19,2.
Lời giải:
Đặt số mol Al tham gia phản ứng (1) và (2) lần lượt là x mol và y mol.
→ x + y = 13,5/27(*)
Al + 4HNO3 → Al (NO3)3 + NO + 2H20 (1)
x → 4x x
8Al + 10 HNO3 → 8Al(NO3)+ 2N2O + 15H2O (2)
y → 15y/4 → 3y/8
Hỗ hợp khí gồm NO x mol: N2O. 3y/8 mol
Theo đề bài tao có:
\(d_{x/H_2}\) = 19,2 ⇒ M¯x = 38,4 = (30.x+44.3y/8)/x+3y/8 (**)
Giải hệ (*) và (**) ta được x = 0,1; y = 0,4
Từ (1) và (2) ⇒
\(n_{HNO_3}\) = 4x + 15y/4 = 1,9 mol
Nồng độ mol/lit của dung dịch HNO3 đã dùng:
\(C_{M_{HNO_3}}\) = 1,9/2,2 = 0,86M
Bài 8 (trang 55 sgk Hóa 11 nâng cao)
Đốt cháy hoàn toàn 4,4 gam một sunfua kim loại công thức MS (kim loại M có các số oxi hóa +2 và +3 trong các hợp chất) trong lượng dư oxi. Chất rắn thu được sau phản ứng hòa tan trong một lượng vừa đủ dung dịch HNO3 37,8%. Nồng độ phần trăm của muối trong dung dịch thu được là 41,7%.
a) Xác đinh công thức sunfua kim loại.
b) Tính khối lượng dung dịch HNO3 đã dùng.
Lời giải:
a) Gọi khối lượng nguyên của M là M
4MS +7O2 → to 2M2O3 +4SO2
M2O3 + 6HNO3 → 2M(NO3)3 + 3H2O
1 → 6 → 2
Xét 1 mol M2O3
Khối lượng dung dịch NHO3 đã dùng:
\(M_{ddHNO_3}\) = 6.63.100/37,8 = 1000 (G)
Khối lượng dung dịch thu được sau phản ứng:
mdd =
\(m_{M_2O_3}\) +
\(m_{ddHNO_3}\) = 1.(2M + 48)+1000 = (2M + 1048)(g)
Khối lượng muối thu được sau phản ứng:
mct =
\(m_{MNO_3^3}\) = 2(M + 186)(g)

-----------------------------------
Trên đây VnDoc.com đã giới thiệu tới bạn đọc tài liệu: Giải bài tập Hóa 11 nâng cao bài 12. Để có kết quả cao hơn trong học tập, VnDoc xin giới thiệu tới các bạn học sinh tài liệu Sinh học lớp 11, Vật lý lớp 11, Giải bài tập Hóa học lớp 11, Giải bài tập Toán 11 mà VnDoc tổng hợp và đăng tải.
Mời bạn đọc cùng tham gia nhóm Tài liệu học tập lớp 11 để có thêm tài liệu học tập nhé