Giải bài tập SBT Toán 7 bài 7: Đồ thị của hàm số y = ax (a ≠ 0)
Bài tập môn Toán lớp 7
Giải bài tập SBT Toán 7 bài 7: Đồ thị của hàm số y = ax (a ≠ 0) được VnDoc sưu tầm và đăng tải, tổng hợp lý thuyết. Đây là lời giải hay cho các câu hỏi trong sách bài tập nằm trong chương trình giảng dạy môn Toán lớp 7. Hi vọng rằng đây sẽ là những tài liệu hữu ích trong công tác giảng dạy và học tập của quý thầy cô và các em học sinh.
Giải bài tập SBT Toán 7 bài 5: Hàm số
Giải bài tập SBT Toán 7 bài 6: Mặt phẳng tọa độ
Giải bài tập SBT Toán 7 bài: Ôn tập chương 2
Câu 1: Vẽ trên cùng một hệ trục toạ độ Oxy đồ thị của các hàm số:
- y=2x
- y=4x
- y=-0,5x
- y=-2x
Lời giải:
a. Vẽ đồ thị hàm số y = 2x
Đồ thị hàm số đi qua O(0,;0)
Cho x = 1 ⇒ y = 2.1=2
Ta có: A(1;2)
Vẽ đường thẳng OA ta có đồ thị hàm số y = 2x
b. Vẽ đồ thị hàm số y = 4x
Đồ thị hàm số đi qua O(0,;0)
Cho x = 1 ⇒ y = 4.1=4
Ta có: B(1;4)
Vẽ đường thẳng OA ta có đồ thị hàm số y = 4x
c. Vẽ đồ thị hàm số y = -0,5x
Đồ thị hàm số đi qua O(0,;0)
Cho x = 1 ⇒ y = -0,5.1=-0,5
Ta có: C(1;-0,5)
Vẽ đường thẳng OA ta có đồ thị hàm số y = -0,5x
d. Vẽ đồ thị hàm số y = -2x
Đồ thị hàm số đi qua O(0,;0)
Cho x = 1 ⇒ y = -2.1=-2
Ta có: B(1;-2)
Vẽ đường thẳng OA ta có đồ thị hàm số y = -2x

Câu 2: Đồ thị của hàm số y = bx là đường thẳng OB trong hình bên.
- Hãy xác định hệ số b
- Đánh dấu điểm trên đồ thị có hoành độ bằng 2
- Đánh dấu điểm trên độ thị có tung độ bằng 2
Lời giải:
a. Thay B(-2;1) vào hàm số y =bx ta có: 1=-2b ⇒b=-1/2
Vậy b = -0,5
b, c. Hình bên

Câu 3: Trong hình dưới cho đồ thị biểu diễn sự phụ thuộc của độ cao h(km) của máy bay vào thời gian t (phút) bay (mỗi đơn vị trên trục hoành biểu thị 10 phút, mỗi đơn vị trên trục tung biểu thị 1km).

- Độ cao cao nhất của máy bay khi bay bằng bao nhiêu km?
- Thời gian từ khi máy bay cất cánh đến lúc đạt độ cao cao nhất là bao nhiêu phút?
- Thời gian từ khi máy bay hạ cánh từ độ cao cao nhất xuống mặt đất là bao nhiêu phút?
Lời giải:
- Độ cao cao nhất của máy bay bay được là 10km
- Thời gian từ lúc máy bay cất cánh đến lúc đạt độ cao cao nhất là 20 phút.
- Thời gian máy bay hạ từ độ cao cao nhất đến mặt đất là: (12 – 8).10 = 40 phút
Câu 4: một cạnh của hình chữ nhật là 5m, cạnh kia là x (m). Hãy biểu diễn diện tích y (m2) theo x. Vẽ đồ thị của hàm số đó.Từ đồ thị hãy cho biết:
- diện tích của hình chữ nhật bằng bao nhiêu khi x=2m? x = 3m?
- Cạnh x bằng bao nhiêu khi diện tích y của hình chữ nhật bằng 2,5m2? 5m2?
Lời giải:
Theo bài ta có: y = 5x. Đồ thị đi qua O(0;0)
Cho x = 1 suy ra y =5. Ta có B(1;5)
Vẽ tia OB ta có đồ thị hàm số

a. Đặt y = f(x) = 5x
Tại x = 2; x = 3
f(2) = 5.2=10m2
f(3) = 5.3=15m2
b. Khi y = 2,5 m2⇒ x=y/5=2,5/5=0,5 m
Khi y = 5m2 ⇒ x=y/5=5/5=1 m
Câu 5: Đồ thị trong hình dưới biểu thị việc đổi đơn vị khối lượng từ pao sang kiloogam và ngược lại. xem đồ thị hãy cho biết 2lb, 3lb, 5lb bằng bao nhiêu kilogam?

Lời giải:
2lb≈0,91kg; 3lb≈1,36kg; 5lb≈2,27kg
Câu 6: Đồ thị của hàm số y = f(x) là đường thẳng OA (hình dưới). hàm số đó được cho bởi công thức nào?

Lời giải:
Đồ thị hàm số y = f(x) là đường thẳng OA đi qua gốc toạ độ có dạng y = ax (a≠0)
Điểm A(-3;1) thuộc đồ thị hàm số nên khi x = -3 thì y =1. Ta có: 1 = a.(-3) suy ra a =-1/3
Vậy hàm số đã cho là y=-1/3
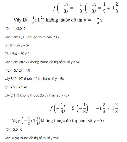
Câu 7: Trong các điểm A(6;-2); B(-2;-10); C(1;1); D(-1/3;1 2/3); E(0;0) có những điểm nào thuộc đồ thị của hàm số:
- y= -1/3
- y=5x
Lời giải:
Cho các điểm A(6;-2); B(-2;-10);C(1;1);D(-1/3;1 2/3);E(0;0)
a. Hàm số y = -1/3 x
f(6) = -1/3.6=-2
vậy B(-2;-10) không thuộc đồ thị hàm số y=-1/3 x
f(1) = -1/3.1=-1/3 ≠1
vậy điểm C(1;1) không thuộc đồ thị hàm số
y=-1/3 x

Câu 8: a. Biết rằng điểm A(a; -1,4) thuộc đồ thị hàm số y = 3,5x tìm giá trị của a
b, biết rằng điểm B(0,35;b) thuộc đồ thị hàm số y =1/7 x tìm giá trị của b
Lời giải:
a. điểm A(a;-1,4) thuộc đồ thị hàm số y = 3,5x nên khi x = a ta có:
y =-1,4 suy ra -1,4 =3,5.x ⇒ a=-1,4/3,5=-2/5=0,4
b. Điểm b thuộc đồ thị hàm số y=1/7 xnên khi x – 0,35 ta có y = b. suy ra: b =(1/7).0,35=0,05