Giải SBT Toán 7 bài 4: Giá trị tuyệt đối của một số hữu tỉ - Cộng, trừ, nhân, chia số thập phân
Giải bài tập SBT Toán 7 bài 4: Giá trị tuyệt đối của một số hữu tỉ - Cộng, trừ, nhân, chia số thập phân được VnDoc sưu tầm và đăng tải, tổng hợp lý thuyết. Đây là lời giải hay cho các câu hỏi trong sách bài tập nằm trong chương trình giảng dạy môn Toán lớp 7. Hi vọng rằng đây sẽ là những tài liệu hữu ích trong công tác giảng dạy và học tập của quý thầy cô và các em học sinh.
SBT Toán 7 bài 4: Giá trị tuyệt đối của một số hữu tỉ - Cộng, trừ, nhân, chia số thập
- Câu 1 (trang 12 Sách bài tập Toán 7 Tập 1):
- Câu 2 (trang 12 Sách bài tập Toán 7 Tập 1)
- Câu 3 (trang 12 Sách bài tập Toán 7 Tập 1)
- Câu 4 (trang 12 Sách bài tập Toán 7 Tập 1):
- Câu 6 (trang 13 Sách bài tập Toán 7 Tập 1)
- Câu 7: (trang 13 Sách bài tập Toán 7 Tập 1)
- Câu 8 (trang 13 Sách bài tập Toán 7 Tập 1)
- Câu 9 (trang 13 Sách bài tập Toán 7 Tập 1):
- Câu 10 (trang 13 Sách bài tập Toán 7 Tập 1):
- Câu 11 (trang 13 Sách bài tập Toán 7 Tập 1):
- Câu 12 (trang 13 Sách bài tập Toán 7 Tập 1)
- Câu 13 (trang 13 Sách bài tập Toán 7 Tập 1)
- Câu 14 (trang 13 Sách bài tập Toán 7 Tập 1)
- Câu 15 (trang 14 Sách bài tập Toán 7 Tập 1)
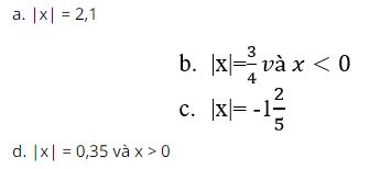
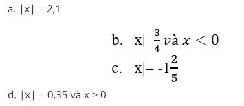
Câu 1 (trang 12 Sách bài tập Toán 7 Tập 1):
Tìm x ∈ Q, biết:

Lời giải

Câu 2 (trang 12 Sách bài tập Toán 7 Tập 1)
Tính:
- 3,26 – 1,549
- 0,167 – 2,369
- -3,29 – 0,876
- -5,09 + 2,65
Lời giải:
- 3,26 – 1,549 = 1,711
- 0,167 – 2,369= -2,202
- -3,29 – 0,876 = -4,166
- -5,09 + 2,65 = -2,44
Câu 3 (trang 12 Sách bài tập Toán 7 Tập 1)
Với bài tập: tính tổng S = (-7,8 ) + (-5,3) + (+7,8) + (+1,3), hai bạn cường và Mai đã làm như sau:

a.Hãy giải thích cách làm của mỗi bạn
b.Theo em, nên làm cách nào?
Lời giải:
Tổng S = (-7,8 ) + (-5,3) + (+7,8) + (+1,3)

a. Bạn cường thực hiện phép tính bình thường. Bạn Mai sử dụng tính chất của phép cộng để thực hiện phép tính hợp lý.
b. Theo em nên chọn cách làm của bạn Mai
Câu 4 (trang 12 Sách bài tập Toán 7 Tập 1):
Tính bằng cách hợp lý giá trị của các biểu thức sau:
- (-3,8) + [(-5,7) + ( +3,8)]
- (+31,4) + [(+6,4) + (-18)]
- [(-9,6) + (+4,5)] + [(+9,6) + (-1,5)]
- [(-4,9) + (-37,8)] + [(+1,9) + (+2,8)]
Lời giải:
a) (-3,8) + [(-5,7) + ( +3,8)] = [(-3,8) + (+3,8)] + (-5,7)
= 0 + (-5,7) = -5,7
b) (+31,4) + [(+6,4) + (-18)] = [(+31,4) + (-18)] + (+6,4)
= (+13,4) + ( +6,4) =19,8
c) [(-9,6) + (+4,5)] + [(+9,6) + (-1,5)] = [(=9,6) + (+9,6)] + [(+4,5) + (-1,5)]
= 0 + 3
d) [(-4,9) + (-37,8)] + [(+1,9) + (+2,8)] = [(-4,9) + (+1,9)] + [(-37,8) + (+ 2,8)]
= (-3) + (-35) = -38
Câu 5: (trang 12 Sách bài tập Toán 7 Tập 1)
Tính giá trị của các biểu thức sau khi bỏ dấu ngoặc:
A = (3,1 – 2,5) – (-2,5 + 3,1)
B = (5,3 – 2,8) – (4 + 5,3)
C = - (251.3 + 281) + 3.251 – (1- 281)
Lời giải
A = (3,1 – 2,5) – (-2,5 + 3,1) = 3,1 – 2,5 + 2,5 -3,1 = 0
B = (5,3 – 2,8) – (4 + 5,3) = 5,3 – 2,8 -4 -5,3
= (5,3 – 5,3 ) – (2,8 + 4) = -6,8
C = - (251.3 + 281) + 3.251 – (1- 281) = -251.3 -281 + 251.3 -1 + 281
= -251.3 + 251.3 -281 + 281 -1 = -1
Câu 6 (trang 13 Sách bài tập Toán 7 Tập 1)
Tính giá trị của các biểu thức sau với |a| = 1,5; b = -0,75
M = a + 2ab – b
N = a : 2 – 2 : b
P = (-2) : a2 - b.(2/3)
Lời giải:
Vì |a| = 1,5 nên a = 1,5 hoặc a = -1,5
Với a = 1,5; b = -0,75. Ta có:
M = 1,5 + 2.1,5(- 0,75) – (-0,75) = 1,5 + (-2,25) + 0,75 = 0
N = 1,5 : 2 -2 : (-0,75)

Câu 7: (trang 13 Sách bài tập Toán 7 Tập 1)
Tính theo hai cách giá trị của các biểu thức sau
E = 5,5.(2 – 3,6)
F = - 3,1.(3 – 5,7)
Lời giải:
E = 5,5.(2 – 3,6) = 5,5.(-1,6) = -8,8
E = 5,5.(2 – 3,6) = 5,5.2 – 5,5.3,6 = 11 – 19,8 = -8,8
F = - 3,1.(3 – 5,7) = -3,1.(-2,7) = 8,37
F = - 3,1.(3 – 5,7) = -3,1.3 + 3,1 5,7)= -9,3 + 17,67 = 8,37
Câu 8 (trang 13 Sách bài tập Toán 7 Tập 1)
Tìm x ∈ Q, biết
- |2,5 – x| = 1,3
- 1,6 - | x – 0,2| = 0
- |x – 1,5 | + | 2,5 – x | = 0
Lời giải:
a) Vì |2,5 – x| = 1,3 nên 2,5 – x =1,3
=> x = 2,5 – 1,3 => x = 1,2
Hoặc 2,5 – x = -1,3 => x = 2,5 – (-1,3)
=> x = 2,5 + 1,3 => x = 3,8
Vậy x = 1,2 hoặc x = 3,8
b) 1,6 - | x – 0,2| = 0 => |x – 0,2 | =1,6 nên x – 0,2 – 1,6
=> x = 1,6 + 0,2 => x = 1,8
Hoặc x – 0,2 = -1,6 => x= -1,6 + 0,2 => x = -1,4
Vậy x = 1,8 hoặc x = -1,4
c) |x – 1,5 | + | 2,5 – x | = 0 nên |x – 1,5| ≥ 0 ; |2,5 – x| ≥ 0
Suy ra: x – 1,5 = 0; 2,5 – x = 0 => x= 1,5 và x = 2,5
Điều này không đồng thời xảy ra. Vậy không có giá trị nào của x thoả mãn bài toán.
Câu 9 (trang 13 Sách bài tập Toán 7 Tập 1):
Tìm giá trị lớn nhất của:
A = 0,5 - |x – 3,5|
B = -|1,4 – x| -2
Lời giải:
A = 0,5 - | x- 3,5|
Vì |x – 3,5| ≥ 0 nên 0,5 - |x -3,5| ≤ 0,5
Suy ra: A = 0,5 - |x -3,5| ≤ 0,5
A có giá trị lớn nhất khi A = 0,5 =>|x -3,5| = 0 => x =3,5
Vậy A có giá trị lớn nhất bằng 0,5 khi x = 3,5
B = -| 1,4 – x| -2
Vì |1,4 – x| ≥ 0 => -|1,4 – x| ≤ 0 nên -|1,4 – x| - 2 ≤ -2
B có giá trị lớn nhất khi B = -2 => |1,4 – x| =0 => x = 1,4
Vậy B có giá trị lớn nhất bằng -2 khi x = 1,4
Câu 10 (trang 13 Sách bài tập Toán 7 Tập 1):
Tìm giá trị nhỏ nhất của:
C = 1,7 + |3,4 –x|
D = |x + 2,8| -3,5
Lời giải:
C = 1,7 + |3,4 –x|
Vì |3,4 – x| ≥ 0 => 1.7 + | 3,4 – x| ≥ 1,7
Suy ra C = 1,7 + |3,4 – x| ≥ 1,7
C có giá trị nhỏ nhất khi C = 1,7 => | 3,4 – x | = 0 => x = 3,4
Vậy C có giá trị nhỏ nhất bằng 1,7 khi x = 3,4
D = |x + 2,8| -3,5
Vì |x + 2,8| ≥ 0 => |x + 2,8| - 3,5 ≥ -3,5
Suy ra” D = |x + 2,8 | - 3,5 ≥ -3,5
D có giá trị nhỏ nhất khi D = -3,5 => | x + 2,8| = 0 => x = -2,8
Vậy D có giá trị nhỏ nhất bằng -3,5 khi x = -2,8
Câu 11 (trang 13 Sách bài tập Toán 7 Tập 1):
Đặt một cặp dấu () vào biểu thức ở vế trái để được kết quả đúng bằng vế phải:
- 2,2 – 3,3 + 4,4 –(5,5 + 6,6) = -8,8
- 2,2 – (3,3 +4,4) -5,5 + 6,6 = -4,4
- 2,2 –(3,3 + 4,4 – 5,5 ) + 6,6 = 6,6
- 2,2 – (3,3 + 4,4 – 5,5 + 6,6 ) =-6,6
Lời giải:
- 2,2 – 3,3 + 4,4 –(5,5 + 6,6) = -8,8
- 2,2 – (3,3 +4,4) - 5,5 + 6,6 = -4,4
- 2,2 –(3,3 + 4,4 – 5,5) + 6,6 = 6,6
- 2,2 – (3,3 + 4,4 – 5,5 + 6,6) =-6,6
Câu 12 (trang 13 Sách bài tập Toán 7 Tập 1)
Tính: 12345,4321.2468,91011+ 12345,4321.(-2468.91011)
Lời giải:
12345,4321.2468,91011+ 12345,4321.(-2468.91011)
= 12345,4321(2468,91011 – 2468,91011) = 12345,4321.0 = 0
Câu 13 (trang 13 Sách bài tập Toán 7 Tập 1)
Đúng hay sai?
5,7.(7,865.31,14)= (5,7.7,865).(5,7.31,14)
Lời giải:
5,7.(7,865.31,14)= (5,7.7,865).(5,7.31,14)
Sai vì không có tính chất phân phối giữa phép nhân và phép nhân
Câu 14 (trang 13 Sách bài tập Toán 7 Tập 1)
Giả sử x ∈ Q. Kí hiệu [x], đọc là phần nguyên của x, là số nguyên lớn nhất không vượt quá x, nghĩa là [x] là số nguyên sao cho:
[x] ≤ x < [x] + 1
Tìm [2,3], [1/2] . [-4], [-5,16]
Lời giải:
Ta có: 2 < 2,3 < 3 => [2,3] = 2
0 < 1/2 < 1 => [1/2]=0
-4 ≤ -4 < -3 => [-4] = -4
-6 < -5,16 < -5 => [-5,16] = -5,6
Câu 15 (trang 14 Sách bài tập Toán 7 Tập 1)
Giả sử x ∈ Q. Kí hiệu {x} đọc là phần lẻ của x, là kí hiệu x – {x}, ngĩa là: {x} = x – [x]
Tìm {x} biết: x= 0,5; x = -3,15
Lời giải:
x = 0,5 => [x] = 0 => {x} = 0,5 – 0 = 0,5
x = -3,15 => [x] = -4 => {x} = -3.15 –(-4) = 0,85
.................................
Trên đây, VnDoc đã giới thiệu tới thầy cô và các em học sinh tài liệu Giải SBT Toán 7 bài 4: Giá trị tuyệt đối của một số hữu tỉ - Cộng, trừ, nhân, chia số thập phân. Hy vọng Chuyên mục Giải SBT Toán 7 với các đáp án và hướng dẫn giải chi tiết cho từng câu hỏi trong Sách bài tập môn Toán lớp 7, sẽ giúp các em nắm vững kiến thức được học và biết vận dụng làm các bài tập liên quan.
Ngoài tài liệu trên, mời các bạn tham khảo thêm các tài liệu môn Toán 7 khác như: Giải Vở BT Toán 7, Đề thi học kì 1 lớp 7, Đề thi giữa kì 1 lớp 7, Đề thi học kì 2 lớp 7... cũng được cập nhật liên tục trên VnDoc.com để học tốt Toán 7 hơn.
- Giải bài tập SBT Toán 7 bài 2: Cộng, trừ số hữu tỉ
- Giải bài tập SBT Toán 7 bài 3: Nhân, chia số hữu tỉ
- Giải bài tập SBT Toán 7 bài 5: Lũy thừa của một số hữu tỉ
Để tiện trao đổi, chia sẻ kinh nghiệm về giảng dạy và học tập các môn học lớp 7, VnDoc mời các thầy cô giáo, các bậc phụ huynh và các bạn học sinh truy cập nhóm riêng dành cho lớp 7 sau: Nhóm Tài liệu học tập lớp 7. Rất mong nhận được sự ủng hộ của các thầy cô và các bạn.