Giải bài tập SBT Toán 7 bài 5: Lũy thừa của một số hữu tỉ
Bài tập môn Toán lớp 7
Giải bài tập SBT Toán 7 bài 5: Lũy thừa của một số hữu tỉ được VnDoc sưu tầm và đăng tải, tổng hợp lý thuyết. Đây là lời giải hay cho các câu hỏi trong sách bài tập nằm trong chương trình giảng dạy môn Toán lớp 7. Hi vọng rằng đây sẽ là những tài liệu hữu ích trong công tác giảng dạy và học tập của quý thầy cô và các em học sinh.
Giải bài tập SBT Toán 7 bài 3: Nhân, chia số hữu tỉ
Giải bài tập SBT Toán 7 bài 6: Lũy thừa của một số hữu tỉ
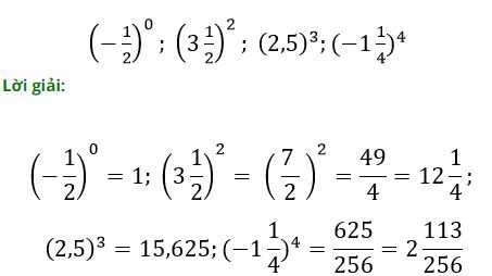
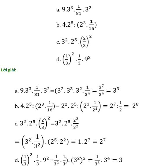
Câu 1: Tính

Câu 2: Viết các số sau dưới dạng luỹ thừa với số mũ khác 1
125; -125; 27; -27
Lời giải:
125 = 53; -125=(-5)3; 27=33; -27= (-3)3
Câu 3: Tìm số 25 dưới dạng luỹ thừa. Tìm tất cả các cách viết
Lời giải:
25 = 251 = 52=(-5)2
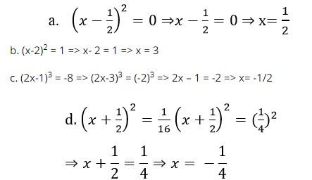
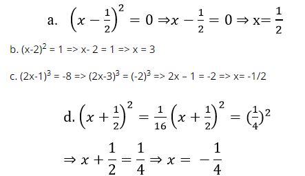
Câu 4: Tìm x ∈ Q, biết rằng:
- (x - (1/2))2 = 0
- (x - 2)2 = 1
- (2x - 1)3 = -8
- (x + (1/2))2 = 1/16
Lời giải:

Câu 5: So sánh: 2225 và 3150
Lời giải:
2225 = 23.75 = (23)75 = 875
3150 = 32.75 = (32)75=975
8 < 9 => 875 < 975
Vậy : 2225 < 3150
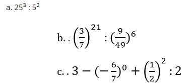
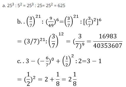
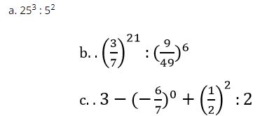
Câu 6: Tính

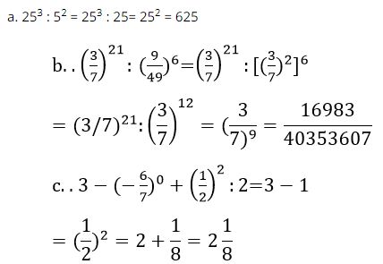
Lời giải

Câu 7: Viết các biểu thức sau dưới dạng an (a ∈ Q, n ∈ N)

Câu 8: Tìm tất cả các số tự nhiên n sao cho:
- a) 2.16 ≥ 2n> 4
- b) 9.27 ≤ 3n≤ 243
Lời giải:
a) 2.16 ≥ 2n> 4 => 2. 24≥ 2n > 22
=>2 < n ≤ 5 => n ={3; 4; 5}
b) 9.27 ≤ 3n≤ 243 => 32.33≤ 3n ≤ 35
=> 35 ≤ 3n ≤ 35 => n = 5
Câu 9: chứng minh rằng: 87 - 218 chia hết cho 14
Lời giải:
Ta có: 87 - 217 = (23)7 - 218 = 217.( 24 -2)= 217.(16 - 2)
= 24.14 ⋮14
Câu 10: So sánh: 291 và 535
Lời giải:
Ta có: 291 > 290= (25)18 = 3218 (1)
3218 > 2518 (2)
2518 = (52)18= 536 > 535 (3)
Từ (1), (2) và (3) suy ra: 291 > 535