Giải bài tập SBT Toán 7 bài: Ôn tập chương 1
Bài tập môn Toán lớp 7
Giải bài tập SBT Toán 7 bài: Ôn tập chương 1 được VnDoc sưu tầm và đăng tải, tổng hợp lý thuyết. Đây là lời giải hay cho các câu hỏi trong sách bài tập nằm trong chương trình giảng dạy môn Toán lớp 7. Hi vọng rằng đây sẽ là những tài liệu hữu ích trong công tác giảng dạy và học tập của quý thầy cô và các em học sinh.
Giải bài tập SBT Toán 7 bài 11: Số vô tỉ - Khái niệm về căn bậc hai
Giải bài tập SBT Toán 7 bài 12: Số thực
Giải bài tập SBT Toán 7 bài 1: Đại lượng tỉ tệ thuận
Câu 1: Tìm x biết

Câu 2: Tìm số nghịch đảo của a biết:
a) a = 0,25;

d) a = 0;
Lời giải:
- Số nghịch đảo của a là 4;
- Số nghịch đảo của a là 7;
- Số nghịch đảo của a là -3/4;
- a= 0 không có số nghịch đảo;
Câu 3: Chứng minh rằng số nghịch đảo của một số hữu tỉ âm cũng là một số âm.
Lời giải:
Gọi số hữu tỉ âm là x, ta có x ≠ 0. Số nghịch đảo của x là 1/x
Vì ax.(1/x) = 1 > 0 nên x và (1/x) cùng dấu,mà x < 0 nên (1/x) < 0
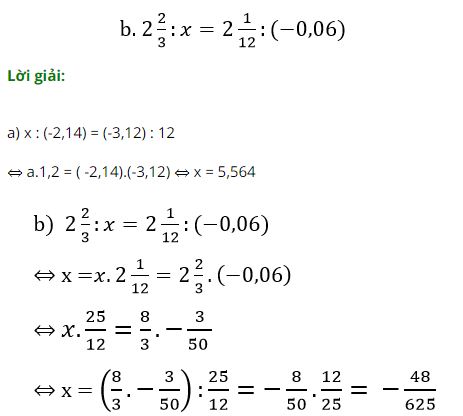
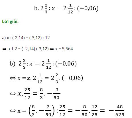
Câu 4: Tìm x trong các tỉ lệ thức sau:
a) x : (-2,14) = (-3,12) : 12

Câu 5: Từ tỉ lệ thức

Câu 6: Một mảnh đất hình chữ nhật có chu vi bằng 70m và tỉ số giữa hai cạnh của nó bằng 3/4. Tính diện tích miếng đất này
Lời giải:
Gọi chiều dài miếng đất là a, chiều rộng là b, ta có:
a + b = 70 : 2 = 35 và

Câu 7: Hãy cho một ví dụ minh hoạ để bác bỏ mệnh đề sau: “Tổng của hai số vô tỉ là một số vô tỉ”
Lời giải:
√5+(-√5) = 0 ∈ Q
Câu 8: a. Các đẳng thức sau có đúng không?

Câu 9: Tính

Câu 10:

Câu 11: Tìm giá trị nhỏ nhất của biểu thức:
A = |x – 2001| + |x -1|
Lời giải:
Vì |1 - x| = |x - 1| nên A = |x - 2001| + |x - 1|
= |x - 2001| + |1 - x| ≥| x – 2001 + 1 - x| =2000
Vậy giá trị nhỏ nhất của biểu thức A = 2000 khi x – 2001 và 1 – x cùng dấu
Vậy 1 ≤ x ≤ 2001