Giải bài tập SBT Toán 7 bài 7: Tỉ lệ thức
Bài tập môn Toán lớp 7
Giải bài tập SBT Toán 7 bài 7: Tỉ lệ thức được VnDoc sưu tầm và đăng tải, tổng hợp lý thuyết. Đây là lời giải hay cho các câu hỏi trong sách bài tập nằm trong chương trình giảng dạy môn Toán lớp 7. Hi vọng rằng đây sẽ là những tài liệu hữu ích trong công tác giảng dạy và học tập của quý thầy cô và các em học sinh.
Giải bài tập SBT Toán 7 bài 5: Lũy thừa của một số hữu tỉ
Giải bài tập SBT Toán 7 bài 6: Lũy thừa của một số hữu tỉ
Giải bài tập SBT Toán 7 bài 8: Tính chất của dãy tỉ số bằng nhau
Câu 1: Thay tỉ số giữa các số hữu tỉ bằng các số nguyên:
a) 1,5: 2,6

Câu 2: Chỉ rõ ngoại tỉ và trung tỉ của các tỉ lệ thức sau:


Câu 3: Các tỉ số sau đây có lập thành tỉ lệ thức hay không?
- (-0,3): 2,7 và (-1,71) : 15,39
- 4,86 : (-11,34) và (-9,3): 21,6
Lời giải:
a) (-0,3).15,39 = -4,617
2,7.(-1,71) = -4,617
=> (-0,3).1,1539 = 2,7.(-1,71)
Vậy ta có tỉ lệ thức (-0,3): 2,7 = (-1,71) : 15,39
b) 4,86.21,6 = 104,976
(-11,34).(-9,3) = 105,462
4,86.21,6 ≠ (-11,34).(-9,3)
Vậy: 4,86 : (-11,34) ≠ (-9,3): 21,6 không lập thành tỉ lệ thức
Câu 4: Có thể lập được tỉ thức từ các số sau đây không? Nếu lập được hãy viết tỉ lệ thức đó:
- 1,05; 30; 42; 1,47
- 2,2; 4,6; 3,3; 6,7
Lời giải:
a. 1,05.42 = 44,1
1,47.30 =44,1
Suy ra 1,05.42 = 1,47.30
Ta có các tỉ lệ thức sau:

Câu 5: Lập tất cả các tỉ lệ thức có thể được từ các đẳng thức sau:
a) 7.(-28) = (-49).4
b) 0,36.4,25 = 0,9.1,7
Lời giải:

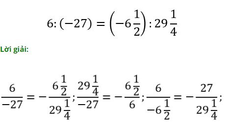
Câu 6: Lập tất cả các tỉ lệ thức có thể lập từ các tỉ lệ thức sau:

Câu 7: Lập tất cả các tỉ lệ thức có thể có từ các số sau: 5; 25; 125; 625.
Lời giải:
Ta có: 5.625 = 3125; 25.125 = 3125
Suy ra: 5.625 = 25.125

Câu 8: Chứng minh rằng từ đẳng thức ad = bc (c, d ≠ 0), ta có thể suy ra được tỉ lệ

Câu 9: Hãy lập tất cả các tỉ lệ thức từ bốn trong 5 số sau đây: 4; 16; 64; 256; 1024
Lời giải:
Ta có: 4,256 = 1024; 16.64 = 1024
Vậy: 4.256 = 16.64
Lập được các tỉ lệ thức:

Câu 10: Cho a, b, c, d ≠ 0. Từ tỉ lệ thức
