Giải SBT Toán 7 bài 3: Nhân, chia số hữu tỉ
Bài tập môn Toán lớp 7
Giải bài tập SBT Toán 7 bài 3: Nhân, chia số hữu tỉ được VnDoc sưu tầm và đăng tải, tổng hợp lý thuyết. Đây là lời giải hay cho các câu hỏi trong sách bài tập nằm trong chương trình giảng dạy môn Toán lớp 7. Hi vọng rằng đây sẽ là những tài liệu hữu ích trong công tác giảng dạy và học tập của quý thầy cô và các em học sinh.
Để học tốt môn Toán, ngoài việc giải các bài tập trong SGK Toán 7 thì các em học sinh cũng cần giải bài tập trong sách bài tập môn Toán lớp 7. Chuyên mục Giải SBT Toán 7 được giới thiệu trên VnDoc bao gồm đáp án và hướng dẫn giải chi tiết cho từng câu hỏi trong Sách bài tập môn Toán lớp 7, với các lời giải chi tiết dễ hiểu giúp các em nắm vững kiến thức và biết cách vận dụng làm các bài tập liên quan một cách hiệu quả hơn.
Câu 1: Tính

Lời giải

Câu 2: Điền số nguyên thích hợp vào ô trống:

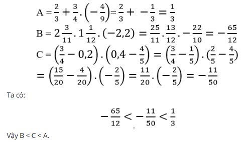
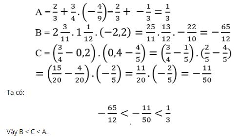
Câu 3: Tính giá trị của các biểu thức A, B, C rồi sắp xếp kết quả theo thứ tự từ nhỏ đến lớn:

Lời giải

Câu 4: Tìm tập hợp các số nguyên x, biết rằng

Lời giải

Câu 5: Tìm ∈ Q, biết rằng:

Câu 6: Tính nhanh giá trị của biểu thức:

Câu 7: Tìm x ∈ Q, biết:
a) (x + 1) (x – 2) < 0
b) ( x – 2) (x + 2/3) > 0
Lời giải:
a. (x + 1) (x – 2) < 0 suy ra x +1 và x – 2 khác dấu.
Ta có:

Câu 8: Khi cộng hai số tự nhiên, ta luôn được kết quả là một số tự nhiên. Ta nói phép cộng luôn thực hiện được trong tập hợp số tự nhiên. Khi trừ hai số tự nhên, kết quả có thể không phải là 2 số tự nhiên (ví dụ 1 – 3 =?), ta nói phép trừ không luôn luôn thực hiên được trong tập hợp số tự nhiên. Đố em phép tính nào trong bốn phép tính cộng, trừ, nhân, chia sẽ không luôn luôn thực hiện được trong:
- Tập hợp các số hữu tỉ khác 0
- Tập hợp các số hữu tỉ dương
- Tập hợp các số hữu tỉ âm
Lời giải:
a) Tập hợp các số hữu tỉ khác 0 tất cả các phép cộng, trừ, nhân , chia luôn thực hiện được
b) Tập hợp các số hữu tỉ dương : phép trừ không phải luôn thực hiện được
Ví dụ: (1/3) - (3/4) kết quả không phải là số hữu tỉ dương
c) Tập hợp các số hữu tỉ âm: phép trừ, nhân và chia không phải luôn luôn thực hiện được
Ví dụ: (-1/3) - (-3/4) kết quả không phải là số hữu tỉ âm
Câu 9: Tìm hai số hữu tỉ x và y sao cho x + y = xy = x : y (y ≠ 0)
Lời giải:
Ta có: x + y = xy = x : y (y ≠ 0)
Vì x + y = xy => x = xy – y = y(x -1)
=> x : y = x -1 (1)
Vì x : y = x + y (2)
Từ (1) và (2) suy ra: x + y = x – 1 => y = -1
Thay y = -1 vào (1) ta có: - x = x -1 => x=1/2
Câu 10: Cho A = [0,8.7 + (0,8)2](1,25.7 - (4/5).1,25) + 31,64

Trên đây, VnDoc đã giới thiệu tới thầy cô và các em học sinh tài liệu Giải SBT Toán 7 bài 3: Nhân, chia số hữu tỉ. Ngoài ra, mời các bạn tham khảo thêm các tài liệu môn Toán 7 khác như: Giải Vở BT Toán 7, Đề thi học kì 1 lớp 7, Đề thi giữa kì 1 lớp 7, Đề thi học kì 2 lớp 7... cũng được cập nhật liên tục trên VnDoc.com để học tốt Toán 7 hơn.
- Toán 7 Bài 3: Nhân chia số hữu tỉ
- Giải bài tập trang 12 SGK Toán lớp 7 tập 1: Nhân chia số hữu tỉ
- Giải bài tập SBT Toán 7 bài 3: Nhân, chia số hữu tỉ
Để tiện trao đổi, chia sẻ kinh nghiệm về giảng dạy và học tập các môn học lớp 7, VnDoc mời các thầy cô giáo, các bậc phụ huynh và các bạn học sinh truy cập nhóm riêng dành cho lớp 7 sau: Nhóm Tài liệu học tập lớp 7. Rất mong nhận được sự ủng hộ của các thầy cô và các bạn.