Giải bài tập SBT Toán 7 bài 11: Số vô tỉ - Khái niệm về căn bậc hai
Bài tập môn Toán lớp 7
Giải bài tập SBT Toán 7 bài 11: Số vô tỉ - Khái niệm về căn bậc hai được VnDoc sưu tầm và đăng tải, tổng hợp lý thuyết. Đây là lời giải hay cho các câu hỏi trong sách bài tập nằm trong chương trình giảng dạy môn Toán lớp 7. Hi vọng rằng đây sẽ là những tài liệu hữu ích trong công tác giảng dạy và học tập của quý thầy cô và các em học sinh.
Giải bài tập SBT Toán 7 bài 9: Số thập phân hữu hạn - Số thập phân vô hạn tuần hoàn
Giải bài tập SBT Toán 7 bài 10: Làm tròn số
Giải bài tập SBT Toán 7 bài 12: Số thực
Câu 1: Điền số thích hợp vào các bảng sau:

Câu 2: Tính
Câu 3: Trong các số sau đây số nào có căn bậc hai? Hãy cho biết căn bậc hai không âm của các số đó:
a =0 b= -25 c= 1
d= 16 + 9 e =32 + 42 g= π -4
h= (2-11)2 i = (-5)2 k = -32
l = √16 m = 34 n= 52 - 32
Lời giải:
Các số có căn bậc hai:
a= 0 c =1 d =16+9 e =32+42 h= (2-11)2 i = (-5)2
l = √16 m = 34 n= 52 - 32
Ta có
√a= 0 =0 √c =1 √d = 16 + 9 = √25 = 5
√e =32 + 42 = √25 = 5 √h= (2 - 11)2 = √81 = 9
√i= (-5)2 = √25 = 5 √l = √16 =4 √m = 34 = 33 =9
√n= 52 - 32= √16 = 4
Câu 4: Hãy cho biết mỗi số sau đây là căn bậc hai của số nào:
a= 2; b = -5; c =1; d =25; e =0; g = √7;
Lời giải
a= 2 là căn bậc hai của 4
b = -5 là căn bậc hai của 25;
c = 1 là căn bậc hai của 1
d = 25 là căn bậc hai của 625
e = 0 là căn bậc hai của 0;
g = √7 là căn bậc hia của 7;
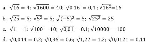
Câu 5: Tìm căn bậc hai không âm của các số sau:
- 16; 1600;0,16; 162
- 25; 52; (-5)2; 252
- 1; 100; 0,01; 10000
- 0,04; 0,36; 1,44; 0,0121
Lời giải:

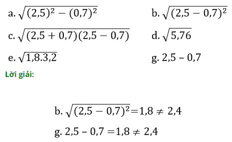
Câu 6: Trong các số sau số nào không bằng 2,4?

Câu 7: a) Điền số thích hợp vào chỗ trống:

Câu 8: Cho x là số hữu tỉ khác 0, y là một số vô tỉ. Chứng tỏ rằng : x + y và x.y là những số vô tỉ.
Lời giải:
Giả sử x + y = z là một số hữu tỉ.
Suy ra y = z –x ta có z hữu tỉ, x hữu tỉ thì z – x là một số hữu tỉ
y ∈ Q trái giả thiết y là số hữu tỉ
Vậy x + y là số vô tỉ
Giả sử x.y là một số vô tỉ
Suy ra y = z : x mà x ∈ Q, z ∈ Q
Suy ra y ∈ Q trái giả thiết y là số vô tỉ
Vậy xy là số vô tỉ
Câu 9: Biết a là số vô tỉ. Hỏi b là số vô tỉ hay hữu tỉ, nếu:
a) a + b là số vô tỉ?
b) a.b là số hữu tỉ?
Lời giải:
a) Đặt tổng a + b = c => a = c –b
Vì a là số vô tỉ nên b là số vô tỉ
Nếu b = 0 => a.b = 0 ∈ Q
Nếu b ≠ 0 ta đặt ab = c => a =c/b
Vì a là số vô tỉ nên b là số vô tỉ