Giải bài tập SBT Toán 7 bài 9: Số thập phân hữu hạn - Số thập phân vô hạn tuần hoàn
Bài tập môn Toán lớp 7
Giải bài tập SBT Toán 7 bài 9: Số thập phân hữu hạn - Số thập phân vô hạn tuần hoàn được VnDoc sưu tầm và đăng tải, tổng hợp lý thuyết. Đây là lời giải hay cho các câu hỏi trong sách bài tập nằm trong chương trình giảng dạy môn Toán lớp 7. Hi vọng rằng đây sẽ là những tài liệu hữu ích trong công tác giảng dạy và học tập của quý thầy cô và các em học sinh.
Giải bài tập SBT Toán 7 bài 7: Tỉ lệ thức
Giải bài tập SBT Toán 7 bài 8: Tính chất của dãy tỉ số bằng nhau
Giải bài tập SBT Toán 7 bài 10: Làm tròn số
Câu 1: Giải thích vì sao các phân số sau viết dưới dưới dạng số thập phân hữu hạn rồi viết chúng dưới dạng đó:

Câu 2: Viết dưới dạng gọn (có chu kì trong dấu ngoặc) các số thập phân vô hạn tuần hoàn sau: 0.333...; -1,231212121...; 2,513513513...; 13,25635353...
Lời giải:
0,333...= 0,(3)
-1,32121,,,=-1.3(21)
2,513513513...=2,(513)
13,2653535...=13,26(53)
Câu 3: Giải thích vì sao các số thập phân sua viết được dứới sạng sô thập phân vô hạn tuần hoàn:

Câu 4: Để viết số 0,(25) dưới dạng phân số ta làm như sau:

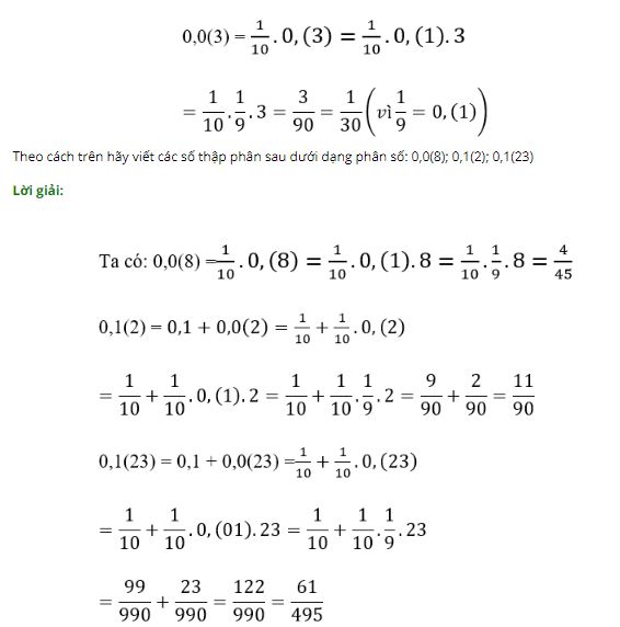
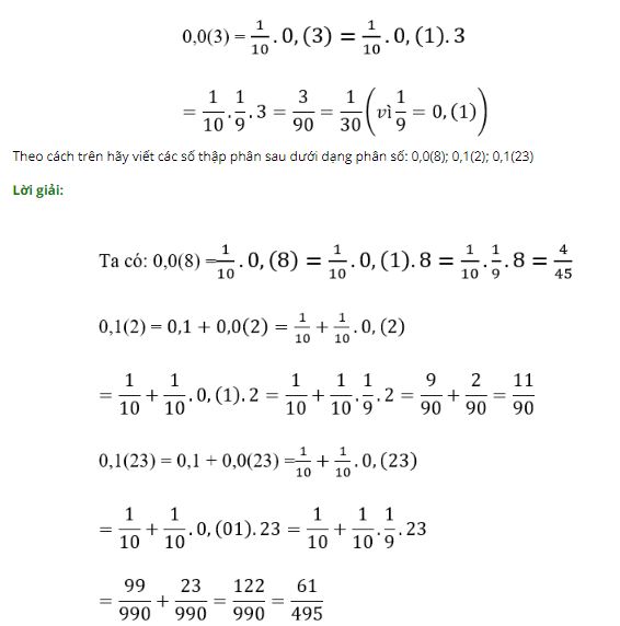
Câu 5: Để viết số 0,0(3) dưới dạng phân số ta làm như sau

Câu 6: Tìm số hữu tỉ a sao cho x < a < y biết rằng:

Lời giải:
- a) x = 313,9543...; y = 314,1762...
a= 313,96 hoặc a = 314,17
- b) x = -35,2475...; y = -34,9628...
a= -35,24 hoặc a = -34,97
Câu 7: Chứng tỏ rằng:
- 0,(37) + 0,(62) =1
- 0,(33).3 =1
Lời giải:

Câu 8: Tìm các số hữu tỉ a và b biết rằng: a-b bằng thương x : b và bằng 2 lần tổng a + b
Lời giải:
Theo đề bài ta có: a – b = a : b = 2( a +b)
Ta có: a – b = 2a + 2b => a = -3b => a : b = -3
Suy ra a – b = -3 và a + b = -3 : 2 =-1,5
Suy ra 2a = -3 và a + b = -3 : 2 = -1,5
Suy ra 2a = -3 + (-1,5 ) => a = 02,25
Vậy b = a + 3 = -2,25 + 3 = 0,75