Đa thức
Chuyên đề: Đa thức
Đa thức là phần kiến thức được học trong chương trình Toán 7. Có nhiều dạng toán xoay quanh chuyên đề này như nhân đa thức với đa thức, nhân đơn thức với đa thức... Để giúp các em nắm vững phần này, VnDoc gửi tới các bạn Chuyên đề Toán học lớp 7: Đa thức. Nội dung tài liệu sẽ giúp các bạn học sinh học tốt môn Toán học lớp 7 hơn. Mời các bạn tham khảo.
Ngoài ra các bạn có thể xem thêm các tài liệu như Trắc nghiệm về Đa thức hay bài tập về đa thức để ngoài giải các bài tập trong sách giáo khoa, sách bài tập hay chuyên đề Toán lớp 7 này có thể tham khảo thêm các tài liệu phía trên nhằm củng cố, luyện tập và nâng cao các kiến thức đã được học trong chương 4: Biểu thức đại số này.
A. Lý thuyết Đa thức
1. Đa thức
Đa thức là một tổng của những đơn thức. Mỗi đơn thức trong tổng gọi là một hạng tử của đa thức đó.
Ví dụ: x3 - 3, xyz - ax2 + by, a(3xy + 7x) là các đa thức.
Chú ý: Mỗi đơn thức được coi là một đa thức.
2. Thu gọn đa thức
Đưa đa thức về dạng thu gọn (không còn hai hạng tử nào đồng dạng).
• Bước 1: Nhóm các đơn thức đồng dạng với nhau.
• Bước 2: Cộng, trừ các đơn thức đồng dạng trong từng nhóm.
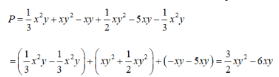
Ví dụ: Thu gọn đa thức
![]()

3. Bậc của đa thức
Bậc của đa thức là bậc của hạng tử có bậc cao nhất trong dạng thu gọn của đa thức đó
Ví dụ: Đa thức x6 - 2y5 + x4y5 + 1 có bậc là 9; đa thức 3xy2/2 có bậc là 3.
Chú ý:
+ Số 0 cũng được gọi là đa thức không và nó không có bậc.
+ Khi tìm bậc của một đa thức, trước hết ta phải thu gọn đa thức đó.
B. Trắc nghiệm & Tự luận
I. Câu hỏi trắc nghiệm
Bài 1: Cho các biểu thức
(a là hằng số).
Có bao nhiêu đa thức trong các biểu thức trên?
A. 2
B. 1
C. 3
D. 4
Các biểu thức
đều chứa các biến ở mẫu nên không phải đa thức
Có hai đa thức là
Chọn đáp án A
Bài 2: Sắp xếp đa thức 2x + 5x3 - x2 + 5x4 theo lũy thừa giảm dần của biến x
A. 5x4 - x2 + 5x3 + 2x
B. 2x - x2 + 53 + 5x4
C. 5x4 + 5x3 + x2 - 2x
D. 5x4 + 5x3 - x2 + 2x
Ta có 2x + 5x3 - x2 + 5x4 = 5x4 + 5x3 - x2 + 2x
Chọn đáp án D
Bài 3: Bậc của đa thức xy + xy5 + x5yz là
A. 6
B. 7
C. 5
D. 4
Bậc của đa thức xy + xy5 + x5yz là 5 + 1 + 1 = 7
Chọn đáp án B
Bài 4: Thu gọn đa thức 4x2y + 6x3y2 - 10x2y + 4x3y2
A. 14x2y + 10x3y2
B. -14x2y + 10x3y2
C. 6x2y - 10x3y2
D. -6x2y + 10x3y2
Ta có: 4x2y + 6x3y2 - 10x2y + 4x3y2
= (4x2y - 10x2y ) + (6x3y2 + 4x3y2) = -6x2y + 10x3y2
Chọn đáp án D
Bài 5: Thu gọn và tìm bậc của đa thức 12xyz - 3x5 + y4 + 3xyz + 2x5 ta được
A. Kết quả là đa thức -2x5 + 15xyz + y4 có bậc là 4
B. Kết quả là đa thức -2x5 + 15xyz + y4 có bậc là 5
C. Kết quả là đa thức -x5 + 15xyz + y4 có bậc là 4
D. Kết quả là đa thức -x5 - 15xyz + y4 có bậc là 4
Ta có 12xyz - 3x5 + y4 + 3xyz + 2x5
= (-3x5 + 2x5) + (12xyz + 3xyz) + y4 = -x5 + 15xyz + y4
Bậc của đa thức -x5 + 15xyz + y4 là 5
Chọn đáp án B
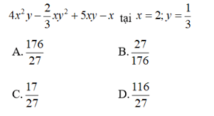
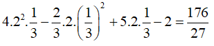
Bài 6: Giá trị của biểu thức

Thay x = 2, y = 1/3 vào đa thức 4x2y - (2/3)xy2 + 5xy -x ta được

Chọn đáp án A
II. Bài tập tự luận
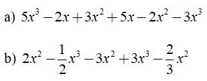
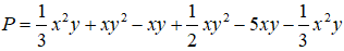
Bài 1: Tìm bậc của đa thức


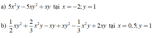
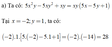
Bài 2: Tính giá trị của các đa thức



Trên đây VnDoc đã giới thiệu tới các bạn lý thuyết môn Toán học 7: Đa thức. Để có kết quả cao hơn trong học tập, VnDoc xin giới thiệu tới các bạn học sinh tài liệu Chuyên đề Toán học 7, Giải bài tập Toán lớp 7, Giải VBT Toán lớp 7 mà VnDoc tổng hợp và giới thiệu tới các bạn đọc.