Giá trị của một biểu thức đại số
Chuyên đề: Giá trị của một biểu thức đại số
Chuyên đề Toán học lớp 7: Giá trị của một biểu thức đại số được VnDoc sưu tầm và giới thiệu tới các bạn học sinh cùng quý thầy cô tham khảo. Nội dung tài liệu bao gồm lý thuyết cơ bản kèm bài tập vận dụng sẽ giúp các bạn học sinh học tốt môn Toán học lớp 7 hiệu quả hơn. Mời các bạn tham khảo.
A. Lý thuyết Giá trị của một biểu thức đại số
1. Giá trị của một biểu thức đại số
Để tính giá trị của một biểu thức đại số ta thực hiện các bước sau:
• Bước 1: Thay chữ bởi giá trị số đã cho (chú ý các trường hợp phải đặt số trong dấu ngoặc).
• Bước 2: Thực hiện các phép tính (chú ý đến thứ tự thực hiện các phép tính: thực hiện phép lũy thừa, rồi đến phép nhân chia, sau đó là phép cộng trừ).
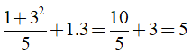
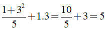
Ví dụ: Tính giá trị của biểu thức x2y3 + xy tại x = 1 và y = 1/2
Ta thay x = 1 và y = 1/2 vào biểu thức x2y3 + xy
Ta có: 
Vậy giá trị của biểu thức đã cho tại x = 1 và y = 1/2 là 5/8.
2. Lưu ý
• Đối với biểu thức nguyên, ta luôn tính được giá trị của nó tại mọi giá trị của biến
• Đối với biểu thức phân ta chỉ tính được giá trị của nó tại những giá trị của biến làm cho mẫu khác không.
2. Các dạng toán thường gặp
2.1. Dạng 1: Tính giá trị của biểu thức đại số
Phương pháp:
• Bước 1: Thay chữ bởi giá trị số đã cho (chú ý các trường hợp phải đặt số trong dấu ngoặc).
• Bước 2: Thực hiện các phép tính (chú ý đến thứ tự thực hiện các phép tính: thực hiện phép lũy thừa, rồi đến phép nhân, chia sau đó là phép cộng trừ).
2.2. Dạng 2: Tính giá trị của biểu thức khi biết mối quan hệ giữa các biến
Phương pháp:
Sử dụng biểu thức liên hệ giữa các biến để tính giá trị của biểu thức đã cho.
2.3. Dạng 3: Tìm giá trị lớn nhất, giá trị nhỏ nhất của biểu thức
Phương pháp:
Nếu A, B, C là các biểu thức đại số thì ta luôn có:
A2 ≥ 0; − B2 ≤ 0; |C| ≥ 0; − |C| ≤ 0
B. Trắc nghiệm & Tự luận
I. Câu hỏi trắc nghiệm
Bài 1: Giá trị của biểu thức x3 + 2x2 − 3 tại x = 2 là
A. 13
B. 10
C. 19
D. 9
Lời giải: Thay x = 2 vào biểu thức x3 + 2x2 − 3 ta được
23 + 2.22 − 3 = 8 + 8 − 3 = 13
Chọn đáp án A
Bài 2: Cho biểu thức đại số A = x2 − 3x + 8. Giá trị của A tại x = − 2 là:
A. 13
B. 18
C. 19
D. 9
Lời giải: Thay vào biểu thức ta có:
(− 2)2 − 3.(− 2) + 8 = 4 + 6 + 8 = 18
Vậy A = 18 tại x = − 2
Chọn đáp án B
Bài 3: Cho biểu thức đại số B = x3 + 6x − 35. Giá trị của B tại x = 3, y = − 4 là:
A. 16
B. 86
C. − 32
D. − 28
Lời giải: Thay x = 3, y = − 4 vào biểu thức B để tìm giá trị của biểu thức B ta có:
33 + 6.(− 4) − 35 = 27 − 24 − 35 = 3 − 35 = − 32
Vậy B = − 32 tại x = 3, y = − 4
Chọn đáp án C
Bài 4: Cho A = 4x2y − 5 và B = 3x2y + 6 x2y2 + 3xy2. So sánh A và B khi x = − 1, y = 3
A. A > B
B. A = B
C. A < B
D. A ≥ B
Lời giải: + Thay x = − 1, y = 3 vào biểu thức A ta được
A = 4.(− 1)2.3 − 5 = 7
+ Thay x = − 1, y = 3 vào biểu thức B ta được
B = 3.(−1)2 + 6.(− 1)2.32 + 3.(− 1).32 = − 9 + 54 − 27 = 18
Suy ra A < B khi x = − 1, y = 3
Chọn đáp án C
Bài 5: Tính giá trị biểu thức B = 5x2 − 2x − 18 tại |x| = 4
A. B = 54
B. B = 70
C. B = 54 hoặc B = 70
D. B = 45 hoặc B = 70
Lời giải:
Ta có
+ Trường hợp 1: x = 4 : Thay x = 4 vào biểu thức ta có:
5.42 − 2.4 − 18 = 5.16 − 8 − 18 = 80 − 8 − 18 = 54
Vậy B = 54 tại x = 4
+ Trường hợp 2: x = − 4 : Thay x = − 4 vào biểu thức ta có:
5.(− 4)2 − 2.(− 4) − 18 = 5.16 + 8 − 18 = 80 + 8 − 18 = 70
Vậy B = 70 tại x = − 4
Với |x| = 4 thì B = 54 hoặc B = 70
Chọn đáp án C
II. Bài tập tự luận
Bài 1: Tính giá trị của biểu thức x3 − 2x + 1 tại x = 1, x = − 2, x = 1/2
Giá trị của biểu thức x3 − 2x + 1 tại x = 1 là:
13 − 2.1 + 1 = 0
Giá trị của biểu thức x3 − 2x + 1 tại x = − 2 là:
(− 2)2 − 2.(− 3) + 1 = − 1
Giá trị của biểu thức x3 − 2x + 1 tại
là:

Bài 2:
a) Tính giá trị của biểu thức
tại x = 1, y = 3
b) Tính giá trị của biểu thức x5y2 + 2y2 tại x = 1, y = 2
a) Tính giá trị của biểu thức
tại x = 1, y = 3 là:

b) Tính giá trị của biểu thức x5y2 + 2y2 tại x = 1, y = 2 là:
15 . 22 + 2 . 22 = 4 + 8 = 12
Bài 3: Tính giá trị của biểu thức A = x2 + 4xy – 3y3 với |x| = 5; |y| = 1.
Bài 4: Tính giá trị biểu thức sau biết x + y = 0.
a) A = 2x + 2y + 3xy(x + y) + 5(x3y2 + x2y3) + 4.
b) B = 3xy(x + y) + 2x3y2 + 2x2y3 + 5
Bài 5: Tính giá trị của biểu thức dưới đây biết rằng x + y + 1 = 0.
M = x2(x + y) – y2(x + y) + x2 – y2 + 2(x + y) + 3
Bài 6: Cho xyz = 2 và x + y + z = 0. Tính giá trị của biểu thức:
N = (x + y)(y + z)(x + z)
Bài 7: Tìm các giá trị của biến để các biểu thức sau có giá trị bằng 0:
a) A = – 2x
b) B = x – 1
c) C = 2x + 1
d) D = 14x – 56
e) E = 9y2 – 36
f) F = (x – 1)2 + 2|y – 1|
Bài 8: Tìm giá trị lớn nhất hoặc giá trị nhỏ nhất của các biểu thức sau:
1) – x2 + 1
2) (x – 4)2 + 2
3) 12 + |2x – 9|
4) (x2 – 9)2 + |y – 2| – 1