Đại lượng tỉ lệ nghịch
Chuyên đề Toán học lớp 7: Đại lượng tỉ lệ nghịch được VnDoc sưu tầm và giới thiệu tới các bạn học sinh cùng quý thầy cô tham khảo. Nội dung tài liệu sẽ giúp các bạn học sinh học tốt môn Toán học lớp 7 hiệu quả hơn. Mời các bạn tham khảo.
Chuyên đề: Đại lượng tỉ lệ nghịch
A. Lý thuyết
1. Định nghĩa tỉ lệ nghịch
+ Nếu đại lượng y liên hệ với đại lượng x theo công thức y = a/x hay xy = a ( với a là hằng số khác 0) thì ta nói y tỉ lệ nghịch với x theo hệ số tỉ lệ a
+ Khi đại lượng y tỉ lệ nghịch với đại lượng x thì x cũng tỉ lệ nghịch với y và ta nói hai đại lượng đó tỉ lệ nghịch với nhau
Ví dụ: Nếu y = 3/x thì y tỉ lệ nghịch với x theo hệ số tỷ lệ là 3
2. Tính chất
Nếu hai đại lượng tỉ lệ nghịch với nhau thì:
+ Tích hai giá trị tương ứng của chúng luôn luôn không đổi
+ Tỉ số hai giá trị bất kì của đại lượng này bằng nghịch đảo của tỷ số hai giá trị truong ứng của đại lượng kia
Nếu hai đại lượng y và x tỉ lệ nghịch với nhau theo hệ số tỉ lệ a thì:

3. Ví dụ
Ví dụ 1: Cho x và y là hai đại lượng tỉ lệ nghịch theo hệ số tỉ lệ là 3. Biểu diễn y theo x
Ta có x và y là hai đại lượng tỉ lệ nghịch theo hệ số tỉ lệ là 3
Khi đó ta có: x = 3/y
Do đó y tỉ lệ x theo hệ số tỉ lệ là 3
B. Trắc nghiệm & Tự luận
I. Câu hỏi trắc nghiệm
Bài 1: Khi có với ta nói
A. y tỉ lệ với x
B. y tỉ lệ nghịch với x theo hệ số tỉ lệ a
C. y tỉ lệ thuận với x
D. x tỉ lệ thuận với y
Nếu đại lượng y liên hệ với đại lượng x theo công thức thì ta nói y tỉ lệ nghịch với x theo hệ số tỉ lệ a
Chọn đáp án B
Bài 2: Cho x và y là hai đại lượng tỉ lệ nghịch và y = a/x. Gọi x1, x2, x3, ....là các giá trị của x và y1, y2, y3, .... là các giá trị tương ứng của y. Ta có:

Nếu hai đại lượng y và x tỉ lệ nghịch với nhau theo hệ số tỉ lệ a thì:

Chọn đáp án C
Bài 3: Cho bảng sau:
| x | 10 | 20 | 25 | 30 | 40 |
| y | 10 | 5 | 4 | 10/3 | 2,5 |
Khi đó:
A. y tỉ lệ với x
B. y và x là hai đại lượng tỉ lệ thuận
C. y và x là hai đại lượng tỉ lệ nghịch.
D. y và x là hai đại lượng bất kì
Xét các tích giá trị của x và y ta được: 10.10 = 25.4 = 30.(10/3) = 40.2,5 = 100
Nên y và x là hai đại lượng tỉ lệ nghịch
Chọn đáp án C
Bài 4: Cho biết x và y là hai đại lượng tỉ lệ nghịch. Khi x = 7 thì y = 4. Tìm y khi x = 5

Vì x và y là hai đại lượng tỉ lệ nghịch nên ta có: 7.4 = 5.y ⇒ y = (28/5) = 5,6
Chọn đáp án A
Bài 5: Cho biết x và y là hai đại lượng tỉ lệ nghịch với nhau. Khi x = -1/2 thì y = 8. Khi đó hệ số tỉ lệ a và công thức biểu diễn y theo x là:

Vì x và y là hai đại lượng tỉ lệ nghịch với nhau và x = -1/2 thì y = 8
Nên hệ số tỉ lệ là a = x.y = (-1/2).8 = -4
Công thức biểu diễn y theo x là y = -4/x
Vậy a = -4; y = -4/x
Chọn đáp án B
II. Bài tập tự luận
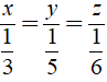
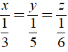
Bài 1: Cho số 84 thành các phần tỉ lệ nghịch với các số 3; 5; 6
Gọi x, y, z là ba phần theo thứu tự tỉ lệ nghịch với các số 3; 5; 6
Ta có:
và x + y + z = 84
Theo tính chất của dãy tỉ số bằng nhau ta có:

Bài 2: Một người đi từ thành phố A đến thành phố B hết 4 giờ. Khi đi từ B trở về A, người đó tăng vận tốc thêm 2km mỗi giờ vì thế thời gian lúc về ít hơn thời gian lúc đi là 48 phút. Tính đoạn đường AB.
Thời gian người đó đi từ B về A là:
t2 = 4h - 48 phút = 3h 12 phút = 
Gọi vận tốc lúc đi là v (km/h) thì vận tốc lúc về là (v + 2) km/h
Quãng đường đi không đổi nên vận tốc và thời gian là hai đại lượng tỉ lệ nghịch với nhau.
Khi đó ta có:

Do đó: v = 8 (km/h) ⇒ s = 32 (km)
Trên đây VnDoc đã giới thiệu tới các bạn lý thuyết môn Toán học 7: Đại lượng tỉ tệ nghịch. Để có kết quả cao hơn trong học tập, VnDoc xin giới thiệu tới các bạn học sinh tài liệu Chuyên đề Toán học 7, Giải bài tập Toán lớp 7, Giải VBT Toán lớp 7 mà VnDoc tổng hợp và giới thiệu tới các bạn đọc