Đơn thức đồng dạng
Chuyên đề: Đơn thức đồng dạng
Chuyên đề Toán học lớp 7: Đơn thức đồng dạng được VnDoc sưu tầm và giới thiệu tới các bạn học sinh cùng quý thầy cô tham khảo. Nội dung tài liệu sẽ giúp các bạn học sinh học tốt môn Toán học lớp 7 hiệu quả hơn. Mời các bạn tham khảo.
Ngoài ra các bạn có thể xem thêm các tài liệu như Trắc nghiệm về Đơn thức đồng dạng hay bài tập về đơn thức đồng dạng để ngoài giải các bài tập trong sách giáo khoa, sách bài tập hay chuyên đề Toán lớp 7 này có thể tham khảo thêm các tài liệu phía trên nhằm củng cố, luyện tập và nâng cao các kiến thức đã được học trong chương 4: Biểu thức đại số này.
Tham khảo thêm:
A. Lý thuyết
1. Đơn thức đồng dạng
Hai đơn thức đồng dạng là hai đơn thức có hệ số khác 0 và có cùng phần biến. Các số khác 0 được coi là những đơn thức đồng dạng.
Ví dụ: Các đơn thức 2x2y/3, -2x2y, x2y, 6x2y là các đơn thức đồng dạng.
Chú ý: Các số khác 0 được coi là những đơn thức đồng dạng.
2. Cộng, trừ các đơn thức đồng dạng
Để cộng (hay trừ) các đơn thức đồng dạng, ta cộng (hay trừ) các hệ số với nhau và giữ nguyên phần biến.
Ví dụ: Tính 5xy2 + 10xy2 + 7xy2 - 12xy2
Ta có: 5xy2 + 10xy2 + 7xy2 - 12xy2 = (5 + 10 + 7 - 12)xy2 = 10xy2
B. Trắc nghiệm & Tự luận
I. Câu hỏi trắc nghiệm
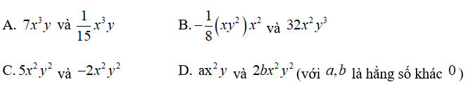
Bài 1: Có mấy nhóm đơn thức đồng dạng với nhau trong các đơn thức sau:

A. 2 B. 3 C. 4 D. 5
Các đơn thức đồng dạng:

Chọn đáp án B
Bài 2: Tìm các cặp đơn thức không đồng dạng

Chọn đáp án B
Bài 3: Đơn thưc đồng dạng với đơn thức 32x2y3 là:
A. -3x3y2 B. -7x2y3 C. (1/3)x5 D. -x4y6
Đơn thức đồng dạng với đơn thức 3x2y3 là -7x2y3
Chọn đáp án B
Bài 4: Tổng các đơn thức 3x2y4 và 7x2y4 là
A. 10x2y4 B. 9x2y4 C. 8x2y4 D. -x4y6
Ta có : 3x2y4 + 7x2y4 = 10x2y4
Chọn đáp án A
Bài 5: Hiệu của hai đơn thức 4x3y và -2x3y là
A. -6x3y B. 3x3y C. 2x3y D. 6x3y
Ta có 4x3y - (-2x3y) = 4x3y + 2x3y = 6x3y
Chọn đáp án D
Bài 6: Thu gọn -3x2 - 0,5x2 + 2,5x2 ta được:
A. -2x2 B. x2 C. -x2 D. -3x2
Ta có : -3x2 - 0,5x2 + 2,5x2 = (-3 - 0,5 + 2,5)2 = -x2
Chọn đáp án C
II. Bài tập tự luận
Bài 1:
a) Tính giá trị của biểu thức (-16/3)y2t + 3y2t tại y = -3, t = 1
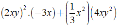
b) Rút gọc biểu thức sau: 

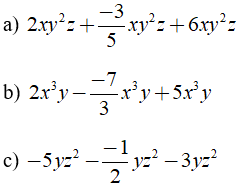
Bài 2: Tính


Trên đây VnDoc đã giới thiệu tới các bạn lý thuyết môn Toán học 7: Đơn thức đồng dạng. Để có kết quả cao hơn trong học tập, VnDoc xin giới thiệu tới các bạn học sinh tài liệu Chuyên đề Toán học 7, Giải bài tập Toán lớp 7, Giải VBT Toán lớp 7 mà VnDoc tổng hợp và giới thiệu tới các bạn đọc