Giải bài tập tài liệu dạy học Toán lớp 7 bài 2: Đơn thức đồng dạng
Giải bài tập tài liệu dạy học Toán 7 bài 2: Đơn thức đồng dạng
Giải bài tập tài liệu dạy học Toán lớp 7 bài 2: Đơn thức đồng dạng với lời giải chi tiết, rõ ràng theo khung chương trình sách giáo khoa Toán lớp 7. Lời giải hay bài tập Toán 7 này gồm các bài giải tương ứng với từng bài học trong sách giúp cho các bạn học sinh ôn tập và củng cố các dạng bài tập, rèn luyện kỹ năng giải môn Toán. Mời các bạn tham khảo
Hoạt động 5 trang 61 Tài liệu dạy – học Toán 7 tập 2
Giải bài tập Quan sát hình minh họa ở trên, em hãy nhận xét vì sao tại các bãi đỗ xe, người ta thường hay sắp xếp các loại xe đạp, xe mô tô và xe ô tô đậu riêng?


Đề bài
Quan sát hình minh họa ở trên, em hãy nhận xét vì sao tại các bãi đỗ xe, người ta thường hay sắp xếp các loại xe đạp, xe mô tô và xe ô tô đậu riêng?
Lời giải chi tiết
Tại các bãi đỗ xe, người ta thường sắp xếp các loại xe đạp, xe mô tô và xe ô tô đậu riêng vì các xe cùng loại thì chúng cùng kích thước, do vậy sắp xếp các xe ở bãi đỗ xe được thuận lợi, gọn gàng.
Thử tài bạn trang 62 Tài liệu dạy – học Toán 7 tập 2
Giải bài tập Sắp xếp các đơn thức sau thành từng nhóm các đơn thức đồng dạng:
Đề bài
Sắp xếp các đơn thức sau thành từng nhóm các đơn thức đồng dạng:
−3x2y3; 0,5xy; xy2;
x2y3; 3xy; −3xy2.
Lời giải chi tiết
Nhóm 1: −3x2y3;x2y3
Nhóm 2: 0,5xy; 3xy
Nhóm 3: xy2; -3xy2
Bạn nào đúng trang 62 Tài liệu dạy – học Toán 7 tập 2
Giải bài tập Bạn Nam nói: Hai đơn thức cùng bậc thì đồng dạng.
Đề bài
Bạn Nam nói: Hai đơn thức cùng bậc thì đồng dạng.
Bạn Lan nói: Hai đơn thức đồng dạng thì cùng bậc.
Ý kiến của em thế nào?
Lời giải chi tiết
Bạn Lan nói đúng, bạn Nam nói sai.
Hoạt động 6 trang 62 Tài liệu dạy – học Toán 7 tập 2
Giải bài tập Cho đơn thức
Đề bài
Cho đơn thức 5x4y3z2. Hãy cho biết các đơn thức nào dưới đây có phần biến giống với đơn thức đã cho :
3x4y3z2; −5x3y4z2;
5x4y3z; 12x4y3z2;
x4y3z2.
Lời giải chi tiết
Các đơn thức có phần biến giống với đơn thức 5x4y3z2 là:
3x4y3z2; 12x4y3z2; x4y3z2
Hoạt động 7 trang 62 Tài liệu dạy – học Toán 7 tập 2
Giải bài tập Tìm ba đơn thức đồng dạng với đơn thức
Đề bài
∙∙ Tìm ba đơn thức đồng dạng với đơn thức xy2.
∙∙ Tìm ba đơn thức không đồng dạng với đơn thức −2x2y.
Lời giải chi tiết
Ba đơn thức đồng dạng với đơn thức xy2 là -8xy2; 5xy2; 23xy2
Ba đơn thức không đồng dạng với đơn thức -2x2y là 5xy; 7xy2; 6x3y
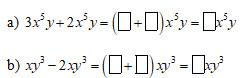
Hoạt động 8 trang 62 Tài liệu dạy – học Toán 7 tập 2
Giải bài tập Điền vào ô trống các giá trị thích hợp
Đề bài
Điền vào ô trống các giá trị thích hợp:

Lời giải chi tiết
a) 3x5y+2x5y = (3+2)x5y = 5x5y
b) xy3−2xy3 = (1−2)xy3 = −xy3
Thử tài bạn trang 63 Tài liệu dạy – học Toán 7 tập 2
Giải bài tập Tìm tổng của ba đơn thức
Đề bài
Tìm tổng của ba đơn thức −x3y2,5x3y2 và 2x3y2.
Lời giải chi tiết
Ta có (−x3y2) + 5x3y2 + 2x3y2 = (−1+5+2)x3y2 = 6x3y2
Bạn nào đúng trang 63 Tài liệu dạy – học Toán 7 tập 2
Giải bài tập Bạn Thủy đố bạn Toàn và bạn Lan:
Đề bài
Bạn Thủy đố bạn Toàn và bạn Lan: “Hai đơn thức −2x2y3 và −2x3y2 có đồng dạng với nhau không?”
Toàn trả lời: “Không đồng dạng vì biến x ở hai đơn thức có phần mũ không giống nhau”.
Bạn Lan trả lời: “không đồng dạng vì biến y ở hai đơn thức có phần mũ không giống nhau”.
Theo em, bạn nào đúng?
Lời giải chi tiết
Bạn Toàn và bạn Lan đúng.
.............................
Mời các bạn tham khảo thêm tài liệu Toán 7:
Ngoài Giải bài tập tài liệu dạy học Toán lớp 7 bài 2: Đơn thức đồng dạng, các bạn học sinh còn có thể tham khảo các đề thi học kì 2 lớp 7 các môn Toán, Văn, Anh, Lý, Địa, Sinh mà chúng tôi đã sưu tầm và chọn lọc. Với tài liệu lớp 7 này giúp các bạn học tập và rèn luyện tốt kĩ năng học bài và làm bài. Chúc các bạn ôn tập tốt