Giải bài tập tài liệu dạy học Toán lớp 7 bài 4: Cộng, trừ đa thức một biến
Giải bài tập tài liệu dạy học Toán 7 bài 4: Cộng, trừ đa thức một biến
Giải bài tập tài liệu dạy học Toán lớp 7 bài 4: Cộng, trừ đa thức một biến với lời giải chi tiết, rõ ràng theo khung chương trình sách giáo khoa Toán lớp 7. Lời giải hay bài tập Toán 7 này gồm các bài giải tương ứng với từng bài học trong sách giúp cho các bạn học sinh ôn tập và củng cố các dạng bài tập, rèn luyện kỹ năng giải môn Toán. Mời các bạn tham khảo
Hoạt động 7 trang 73 Tài liệu dạy – học Toán 7 tập 2
Giải bài tập Cho một hình vuông có độ dài cạnh là x (cm) và một hình chữ nhật có độ dài các cạnh là x (cm) và x + 2 (cm)
Đề bài
Cho một hình vuông có độ dài cạnh là x (cm) và một hình chữ nhật có độ dài các cạnh là x (cm) và x + 2 (cm)
Hãy điền vào chỗ trống cho thích hợp:
Diện tích của hình vuông là
M(x) = ……………….......
Diện tích của hình chữ nhật là
N(x) = …………………………
Tổng diện tích của hai hình là
M(x) + N(x) = ………………..

Lời giải chi tiết
Diện tích của hình vuông là
M(x) = x.x = x2.
Diện tích của hình chữ nhật là
N(x) = x(x + 2) = x2 + 2x.
Tổng diện tích của hai hình là
M(x) + N(x) = x2 + x2 + 2x = 2x2 + 2x.
Thử tài bạn trang 74 Tài liệu dạy – học Toán 7 tập 2
Giải bài tập Cho hai đa thức
Đề bài
Cho hai đa thức
\(A\left( x \right) = 3{x^2} - 4x + 2\) và
\(B\left( x \right) = 6 - 2{x^2} + 5x\)
Hãy thực hiện phép tính A(x) + B(y)
Lời giải chi tiết
* Cách 1:
Thực hiện như cộng hai đa thức
A(x) + B(x) = (3x2 – 4x + 2) + (6 – 2x2 + 5x)
= 3x2 – 4x + 2 + 6 – 2x2 + 5x (Bỏ dấu ngoặc)
= (3x2 – 2x2) +(-4x + 5x) +(2 + 6) (Nhóm các cặp hạng tử đồng dạng)
= x2 + x +8
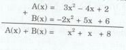
* Cách 2:
Sắp xếp các hạng tử đồng dạng của A(x) và B(x) ở cùng một cột rồi thực hiện phép cộng như sau:

Hoạt động 8 trang 74 Tài liệu dạy – học Toán 7 tập 2
Giải bài tập Một mảnh vườn hình chữ nhật có độ dài các cạnh là 5x (cm) và 8x + 2 (cm). Bên trong mảnh vườn, người ta làm một lối đi hình chữ nhật với độ dài cạnh là x (cm) và 3x + 1 (cm) (xem hình vẽ).
Đề bài
Một mảnh vườn hình chữ nhật có độ dài các cạnh là 5x (cm) và 8x + 2 (cm). Bên trong mảnh vườn, người ta làm một lối đi hình chữ nhật với độ dài cạnh là x (cm) và 3x + 1 (cm) (xem hình vẽ).
Hãy điền vào chỗ trống cho thích hợp:
Diện tích của mảnh vườn là
A(x) = ………………..
Diện tích của lối đi là
B(x) = ………………….
Diện tích còn lại của mảnh vườn là
A(x) – B(x) = ……………….

Lời giải chi tiết
Diện tích của mảnh vườn là
A(x) = 5x(8x + 2) = 40x2 + 10x.
Diện tích của lối đi là
B(x) = x(3x + 1) = 3x2 +x.
Diện tích còn lại của mảnh vườn là
A(x) – B(x) = (40x2 + 10x) – (3x2 +x)
= 40x2 + 10x – 3x2 – x = (40x2 - 3x2 + (10x – x) = 37x2 + 9x.
Thử tài bạn trang 75 Tài liệu dạy – học Toán 7 tập 2
Giải bài tập Tính M – N biết:
Đề bài
Tính M – N biết:
Lời giải chi tiết
* Cách 1:
Thực hiện như trừ hai đa thức
M – N
\(\eqalign{ & M = 12{x^4} - 7{x^3} - 8x + 6 \cr & N = 5{x^3} - 16{x^2} - 13 \cr}\)
= (12x4 – 7x3 -8x + 6) – (5x3 – 16x2 – 13)
= 12x4 – 7x3 -8x + 6 – 5x3 + 16x2 + 13 (Bỏ dấu ngoặc)
= 12x4 + (–7x3 – 5x3) + 16x2 – 8x+(6+13) (Nhóm các cặp hạng tử đồng dạng)
= 12x4 – 12x3 +16x – 8x +19
*Cách 2:
Sắp xếp các hạng tử đồng dạng của M và N ở cùng một cột rồi thực hiện phép trừ như sau:

............................
Mời các bạn tham khảo thêm tài liệu Toán 7:
Ngoài Giải bài tập tài liệu dạy học Toán lớp 7 bài 4: Cộng, trừ đa thức một biến, các bạn học sinh còn có thể tham khảo các đề thi học kì 2 lớp 7 các môn Toán, Văn, Anh, Lý, Địa, Sinh mà chúng tôi đã sưu tầm và chọn lọc. Với tài liệu lớp 7 này giúp các bạn học tập và rèn luyện tốt kĩ năng học bài và làm bài. Chúc các bạn ôn tập tốt