Làm tròn số
Chuyên đề Toán học lớp 7: Làm tròn số được VnDoc sưu tầm và giới thiệu tới các bạn học sinh cùng quý thầy cô tham khảo. Nội dung tài liệu sẽ giúp các bạn học sinh học tốt môn Toán học lớp 7 hiệu quả hơn. Mời các bạn tham khảo.
Làm tròn số là một nội dung được học trong chương trình Đại số 7 chương 1. Để giúp các em học sinh nắm vững được quy ước làm tròn số, cũng như vận dụng làm các bài tập liên quan, VnDoc giới thiệu tới các em Lý thuyết và bài tập Toán 7 về Làm tròn số. Hy vọng tài liệu sẽ giúp các em học tốt môn Toán hơn.
Chuyên đề: Làm tròn số
A. Lý thuyết
1. Cách làm tròn số
+ Nếu chữ số đầu tiên trong các chữ số bị bỏ đi nhỏ hơn 5 thì ta giữ nguyên bộ phận còn lại. Trong trường hợp số nguyên thì ta thay các chữ số bỏ đi bằng chữ số 0.
Ví dụ: Làm tròn số 12,348 đến chữ số thập phân thứ nhất, được kết quả 12,3 (vì chữ số đầu tiên bỏ đi khi làm tròn là 4<5 nên ta giữ nguyên phần còn lại)
+ Nếu chữ số đầu tiên trong các chữ số bị bỏ đi lớn hơn hoặc bằng 5 thì ta cộng thêm 1 vào chữ số cuối cùng của bộ phận còn lại. Trong trường hợp số nguyên thì ta thay các chữ số bỏ đi bằng chữ số 0.
Ví dụ: Làm tròn số 0,26541 đến chữ số thập phân thứ hai, được kết quả 0,27 (vì chữ số đầu tiên bỏ đi khi làm tròn là 5 nên ta cộng 1 vào chữ số cuối cùng của phần còn lại)
2. Một số ví dụ khác
+ Ta có 84,149 ≈ 84,1 (làm tròn đến chữ số thập phân thứ nhất)
+ Ta có 542 ≈ 540 (làm tròn đến chữ số hàng chục)
+ Ta có 0,0861 ≈ 0,09 (làm tròn đến chữ số thập phân thứ hai)
+ Ta có 1573 ≈ 1600 (làm tròn đến chữ số hàng trăm)
B. Bài tập Toán 7 về Làm tròn số
I. Câu hỏi trắc nghiệm
Bài 1: Làm tròn số 69,283 được chữ số thập phân thứ hai ta được
A. 69,28
B. 69,29
C. 69,30
D. 69,284
Vì số 69,283 có chữ số tập phân thứ ba là 3 < 5 nên làm tròn đến chữ số thập phân thứ hai ta có: 69,283 ≈ 69,28
Chọn đáp án A.
Bài 2: Làm tròn số 0,158 đến chữ số thập phân thứ nhất ta được
A. 0,17
B. 0,159
C. 0,16
D. 0,2
Vì số 0,158 có chữ số thập phân thứ hai 5 ≥ 5 nên khi làm tròn đến chữ số thập phân thứ nhất ta được 0,158 ≈ 0,2
Chọn đáp án D.
Bài 3: Số 60,996 làm tròn đến chữ số hàng đơn vị là
A. 60
B. 61 C. 60,9
D. 61,9
Vì số 60,996 có chữ số thập phân thứ nhất là 9 ≥ 5 nên làm tròn đến chữ số hàng đơn vị là 60,996 ≈ 61
Chọn đáp án B.
Bài 4: Cho số 982343 làm tròn đến chữ số hàng nghìn là?
A. 983000
B. 982
C. 982000
D. 98200
Vì số 982343 có chữ số hàng trăm là 3 < 5 nên làm tròn đến chữ số hàng nghìn ta được 982343 ≈ 982000
Chọn đáp án C.
Bài 5: Cho số 1,3765. Làm tròn số này đến hàng phần nghìn ta được
A. 1,377
B. 1,376
C. 1,3776
D. 1,38
Vì số 1,3765 có chữ số hàng phần nghìn là 5 ≥ 5 nên khi làm tròn ta được số: 1,3765 ≈ 1,377
Chọn đáp án A.
II. Bài tập tự luận
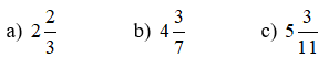
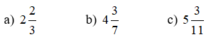
Bài 1: Viết các số sau dưới dạng số thập phân gần đúng, chính xác đến hai chữ số thập phân, ba chữ số thập phân

a) Ta có: ![]()
+ Chính xác đến hai chữ số thập phân là: 2,67
+ Chính xác đến ba chữ số thập phân là: 2,667
b) Ta có: 
+ Chính xác đến hai chữ số thập phân là: 4,43
+ Chính xác đến ba chữ số thập phân là: 4,429
c) Ta có: ![]()
+ Chính xác đến hai chữ số thập phân là: 5,26
+ Chính xác đến ba chữ số thập phân là: 5,273
Trên đây VnDoc đã giới thiệu tới các bạn lý thuyết môn Toán học 7: Làm tròn số. Để có kết quả cao hơn trong học tập, VnDoc xin giới thiệu tới các bạn học sinh tài liệu Chuyên đề Toán học 7, Giải bài tập Toán lớp 7, Giải VBT Toán lớp 7 mà VnDoc tổng hợp và giới thiệu tới các bạn đọc.
Mời các em tham khảo thêm:
Để tiện trao đổi, chia sẻ kinh nghiệm về giảng dạy và học tập các môn học lớp 7, VnDoc mời các thầy cô giáo, các bậc phụ huynh và các bạn học sinh truy cập nhóm riêng dành cho lớp 7 sau: Nhóm Tài liệu học tập lớp 7. Rất mong nhận được sự ủng hộ của các thầy cô và các bạn.