Bài tập Định lí Pythagore lớp 8
Chuyên đề Toán học lớp 8: Định lí Pythagore được VnDoc sưu tầm và giới thiệu tới các bạn học sinh cùng quý thầy cô tham khảo. Nội dung tài liệu sẽ giúp các bạn học sinh học tốt môn Toán học lớp 8 hiệu quả hơn. Mời các bạn tham khảo.
Chuyên đề: Định lí Pythagore
A. Lý thuyết
1. Định lý Pythagore
Trong một tam giác vuông, bình phương của cạnh huyền bằng tổng các bình phương của hai cạnh góc vuông.
Δ ABC vuông tại A ⇒ BC2 = AB2 + AC2
2. Định lý Pythagore đảo
Nếu tam giác có bình phương của một cạnh bằng tổng các bình phương của hai cạnh kia thì tam giác đó là tam giác vuông.
Δ ABC có BC2 = AB2 + AC2 thì
\(\widehat{BAC}\) = 90o
B. Bài tập trắc nghiệm về định lí Pythagore
Bài 1: Cho tam giác ABC vuông tại B. Khi đó
|
A. AB2 + BC2 = AC2 B. AB2 – BC2 = AC2 |
C. AB2 + AC2 = BC2 D. AB2 = AC2 + BC2 |
Giải thích: Ta có tam giác ABC vuông tại B, theo định lí Pythagore ta có: AB2 + BC2 = AC2
Chọn đáp án A.
Bài 2: Cho tam giác ABC vuông cân tại A. Tính độ dài cạnh BC biết AB = AC = 2 dm
|
A. BC = 4 dm B. BC = √6 dm |
C. BC = 8 dm D. BC = √8 dm |
Giải thích: Áp dụng định lí Pythagore ta có: BC2 = AB2 + AC2
Khi đó ta có:
\(BC=\sqrt{AB^2+AC^2}=\sqrt{4+4}=\sqrt{8}\) (dm)
Chọn đáp án D.
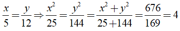
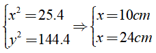
Bài 3: Một tam giác vuông có cạnh huyền bằng 26 cm và có độ dài các cạnh góc vuông tỉ lệ với 5 và 12. Tính độ dài các cạnh góc vuông?
|
A. 10 cm, 22 cm B. 10 cm, 24 cm |
C. 12 cm, 24 cm D. 15 cm, 24 cm |
Giải thích: Gọi độ dài các cạnh góc vuông lần lượt là x, y (x, y > 0)
Áp dụng định lí Pythagore ta có:
x2 + y2 = 262 ⇔ x2 + y2 = 676
Theo bài ra ta có: 
Khi đó ta có:
Chọn đáp án B.
Bài 4: Cho tam giác ABC vuông tại A có AC = 20 cm. Kẻ AH vuông góc với BC. Biết BH = 9 cm, HC = 16 cm. Tính độ dài cạnh AB, AH?
A. AH = 12 cm, AB = 15 cm
B. AH = 10 cm, AB = 15 cm
C. AH = 15 cm, AB = 12 cm
D. AH = 12 cm, AB = 13 cm
Giải thích:

Ta có: BC = HB + HC = 9 + 16 = 25 (cm)
Xét tam giác ABC vuông tại A, theo định lí Pythagore ta có:
BC2 = AB2 + AC2
⇒ AB2 = BC2 – AC2
= 252 – 202 = 225
⇒ AB = 15 cm
Xét tam giác ABH vuông tại H, theo định lí Pythagore ta có:
HB2 + HA2 = AB2
⇒ AH2 = AB2 – HB2
= 152 – 92 = 144
⇒ AH = 12 cm
Vậy AH = 12 cm, AB = 15 cm
Chọn đáp án A.
Bài 5: Cho hình vẽ. Tính x

| A. x = 10 cm | B. x = 11 cm | C. x = 8 cm | D. x = 5 cm |
Giải thích: Xét tam giác ABC vuông tại B ta có:
⇒ x2 + 122 = 132 ⇒ x2 = 132 – 122 = 25
Khi đó: x = 5 cm
Chọn đáp án D.
C. Bài tập tự luận
1. Dạng 1. Tính độ dài cạnh của tam giác vuông
Ví dụ 1: Cho tam giác ABC vuông tại A, có AB = 6 cm, AC = 8 cm.
a) Tính độ dài cạnh BC.
b) Kẻ AH vuông góc với BC tại H. Biết AH = 4,8 cm. Tính BH, CH.
Lời giải:

a) Xét tam giác ABC vuông tại A, áp dụng định lí Pythagore, ta có:
BC2 = AB2 + AC2 = 62 + 82 = 100
⇒ BC = 10 cm
b) Xét tam giác ABH vuông tại H, áp dụng định lí Pythagore, ta có:
AB2 = AH2 + HB2
⇒ BH2 = AB2 - AH2 = 62 - 4,82 = 12,96
⇒ BH = 3,6 cm
Do đó CH = BC - BH = 10 - 3,6 = 6,4 cm.
2. Dạng 2: Nhận biết tam giác vuông
Ví dụ 2: Kiểm tra xem tam giác nào là tam giác vuông trong các tam giác có độ dài sau:
a) 4 cm, 7 cm, 6 cm;
b) 5 cm, 13 cm, 12 cm.
Lời giải:
a) Ta có 42 + 62 = 52 ≠ 49 = 72 nên tam giác này không phải là tam giác vuông.
b) Ta có: 52 + 122 = 169 = 132 nên tam giác này là tam giác vuông.
Ví dụ 3: Cho tam giác ABC vuông tại A, có AB = 6 cm, AC = 8 cm. D là một điểm sao cho BD = 16 cm, CD = 24 cm. Chứng minh tam giác BCD không thể là tam giác vuông.
Lời giải:
Xét tam giác ABC vuông tại A, áp dụng định lí Pythagore ta có:
BC2 = AB2 + AC2 = 62 + 82 = 100
⇒ BC = 10 cm
Ta có: BC2 + BD2 = 356 ≠ 576 = 242 nên tam giác BCD không thể là tam giác vuông.
3. Dạng 3. Dùng định lý Pythagore giải quyết một số bài toán thực tế liên quan.
Ví dụ 4: Một bạn học sinh thả diều ngoài đồng, cho biết đoạn dây diều từ tay bạn đến diều dài 170 m và bạn đứng cách nơi diều được thả lên theo phương thẳng đứng là 80 m. Tính độ cao của con diều so với mặt đất, biết tay bạn học sinh cách mặt đất 2 m.

Lời giải:

Xét tam giác ABC vuông tại A, áp dụng định lí Pythagore ta có:
BC2 = AB2 + AC2
⇒ AB2 = BC2 - AC2 = 1702 - 802 = 22 500
⇒ AB = 150 m
Vậy độ cao của con diều so với mặt đất là: 150 + 2 = 152 cm.
D. Bài tập tự luyện
Tải file để xem đáp án chi tiết!