Giải bài tập SBT Toán 7 bài 8: Cộng, trừ đa thức một biến
Bài tập môn Toán lớp 7
Giải bài tập SBT Toán 7 bài 8: Cộng, trừ đa thức một biến được VnDoc sưu tầm và đăng tải, tổng hợp lý thuyết. Đây là lời giải hay cho các câu hỏi trong sách bài tập nằm trong chương trình giảng dạy môn Toán lớp 7. Hi vọng rằng đây sẽ là những tài liệu hữu ích trong công tác giảng dạy và học tập của quý thầy cô và các em học sinh.
Giải bài tập SBT Toán 7 bài 6: Cộng trừ đa thức
Giải bài tập SBT Toán 7 bài 7: Đa thức một biến
Giải bài tập SBT Toán 7 bài 9: Nghiệm của đa thức một biến
Câu 1: Tính f(x) + g(x) với:
f(x) = x5 – 3x2 + x3 – x2 – 2x + 5
g(x) = x2 – 3x + 1 + x2 – x4 + x5
Lời giải:
Thu gọn, sắp xếp đa thức theo lũy thừa giảm của biến:
* Ta có: f(x) = x5 – 3x2 + x3 – x2 – 2x + 5 = x5 + x3 – 4x2 – 2x + 5
g(x) = x2 – 3x + 1 + x2 – x4 + x5 = x5 – x4 + 2x2 – 3x + 1
* f(x) + g(x):

Câu 2: Tính f(x) – g(x) với:
f(x) = x7 – 3x2 – x5 + x4 – x2 + 2x – 7
g(x) = x – 2x2 + x4 – x5 – x7 – 4x2 – 1
Lời giải:
Thu gọn, sắp xếp đa thức theo lũy thừa giảm của biến:
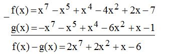
* Ta có: f(x) = x7 – 3x2 – x5 + x4 – x2 + 2x – 7
= x7 – x5 + x4 – 4x2 + 2x - 7
g(x) = x – 2x2 + x4 – x5 – x7 – 4x2 – 1
= -x7 – x5 + x4 – 6x2 + x – 1
* f(x) – g(x)

Câu 3: Cho các đa thức:
f(x) = x4 – 3x2 + x – 1
g(x) = x4 – x3 + x2 + 5
a, Tìm h(x) biết f(x) + h(x) = g(x)
b, Tìm h(x) biết f(x) – h(x) = g(x)
Lời giải:
a, Ta có: f(x) + h(x) = g(x)
Suy ra: h(x) = g(x) – f(x) = (x4 – x3 + x2 + 5) – (x4 – 3x2 + x – 1)
= x4 – x3 + x2 + 5 – x4 + 3x2 – x + 1
= -x3 + 4x2 – x + 6
b, Ta có: f(x) – h(x) = g(x)
Suy ra: h(x) = f(x) – g(x) = (x4 – 3x2 + x – 1) – (x4 – x3 + x2 + 5)
= x4 – 3x2 + x – 1 – x4 + x3 – x2 – 5
= x3 – 4x2 + x – 6
Câu 4: Cho các đa thức:
f(x) = anXn + an – 1Xn– 1 + … + a1x + ao
g(x) = bnXn + bn – 1Xn– 1 + … + b1x + bo
a, Tính f(x) + g(x)
b, Tính f(x) – g(x)
Lời giải:
a,
f(x) = anXn + an – 1Xn– 1 + … + a1x + ao
+
g(x) = bnXn + bn – 1Xn– 1 + … + b1x + bo
--------------------------------------------------------
f(x) + g(x) = (an + bn)Xn + (an – 1 + bn – 1)Xn– 1 + ….. + (a1 + b1)x + (ao + bo)
b,
f(x) = anXn + an – 1Xn– 1 + … + a1x + ao
-
g(x) = bnXn + bn – 1Xn– 1 + … + b1x + bo
--------------------------------------------------------
f(x) - g(x) = (an - bn)Xn + (an– 1 - bn – 1)Xn– 1 + ..… + (a1 - b1)x + (ao - bo)
Câu 5: Tính f(x) + g(x) – h(x) biết:
f(x) = x5 – 4x3 + x2 – 2x + 1
g(x) = x5 – 2x4 + x2 – 5x + 3
h(x) = x4 – 3x2 + 2x – 5
Lời giải:
Ta có: f(x) = x5 – 4x3 + x2 – 2x + 1
g(x) = x5 – 2x4 + x2 – 5x + 3
h(x) = x4 – 3x2 + 2x – 5
Suy ra: f(x) + g(x) – h(x)
= (x5 – 4x3 + x2 – 2x + 1) + (x5 – 2x4 + x2 – 5x + 3) – (x4 – 3x2 + 2x – 5)
= x5 – 4x3 + x2 – 2x + 1 + x5 – 2x4 + x2 – 5x + 3 – x4 + 3x2 - 2x + 5
= (1 + 1)x5 – (2 + 1)x4 – 4x3 + (1 + 1 + 3)x2 - (2 + 5 + 2)x + (1 + 3 + 5)
= 2x5 – 3x4 – 4x3 + 5x2 – 9x + 9