Toán 7 Bài tập cuối chương 7 Chân trời sáng tạo
Giải Toán 7 Chân trời sáng tạo tập 2
- Bài 1 trang 42 SGK Toán 7 tập 2 CTST
- Bài 2 trang 42 SGK Toán 7 tập 2 CTST
- Bài 3 trang 42 SGK Toán 7 tập 2 CTST
- Bài 4 trang 42 SGK Toán 7 tập 2 CTST
- Bài 5 trang 42 SGK Toán 7 tập 2 CTST
- Bài 6 trang 42 SGK Toán 7 tập 2 CTST
- Bài 7 trang 42 SGK Toán 7 tập 2 CTST
- Bài 8 trang 42 SGK Toán 7 tập 2 CTST
- Bài 9 trang 42 SGK Toán 7 tập 2 CTST
- Bài 10 trang 42 SGK Toán 7 tập 2 CTST
- Bài 11 trang 42 SGK Toán 7 tập 2 CTST
Giải Toán 7 Bài tập cuối chương 7 sách Chân trời sáng tạo hướng dẫn giải bài tập trong SGK Toán 7 tập 2 chương trình sách mới, giúp các em học sinh ôn tập, củng cố kiến thức được học trong bài 4 chương 7 Toán 7. Sau đây mời các bạn tham khảo chi tiết.
Bài 1 trang 42 SGK Toán 7 tập 2 CTST
Cho A = x2y + 2xy − 3y2 + 4. Tính giá trị của biểu thức A khi x = -2; y = 3.
Hướng dẫn giải:
Với x = -2, y = 3, ta có: A = (−2)2.3 + 2(−2).3 − 3.32 + 4 = -23.
Bài 2 trang 42 SGK Toán 7 tập 2 CTST
Trong các biểu thức sau, biểu thức nào là đơn thức một biến?
a) 2y
b) 3x+5
c) 8
d) 21t12
Hướng dẫn giải:
Biểu thức là đơn thức một biến là:
a) 2y
c) 8
d) 21t12
Bài 3 trang 42 SGK Toán 7 tập 2 CTST
Trong các biểu thức sau, biểu thức nào là đa thức một biến?
3 + 6y;
\(\frac{2}{x+1}\);
7x2+2x−4x4+1
\(\frac{1}{3}x−5\)
Hướng dẫn giải:
Biểu thức là đa thức một biến:
3 + 6y;
7x2+2x−4x4+1
\(\frac{1}{3}x−5\)
Bài 4 trang 42 SGK Toán 7 tập 2 CTST
Hãy viết một đa thức một biến bậc ba có 3 số hạng.
Hướng dẫn giải:
Đa thức một biến bậc ba có 3 số hạng là: x3 + 2x2y + xy
Bài 5 trang 42 SGK Toán 7 tập 2 CTST
Hãy cho biết bậc của các đa thức sau:
A = 3x − 4x2 + 1
B = 7
M = x − 7x3 + 10x4 + 2
Hướng dẫn giải:
Đa thức A bậc 2.
Đa thức B bậc 0.
Đa thức M bậc 4.
Bài 6 trang 42 SGK Toán 7 tập 2 CTST
Cho đa thức
\(P(x) = x^{3}+27\). Tìm nghiệm của P(x) trong tập hợp {0; 3; -3}.
Hướng dẫn giải:
Với x = 0,
\(P(0) = 0^{3}+27 = 27\).
Với x = -3,
\(P(-3) = (-3)^{3}+27 = 0\).
Với x = 3,
\(P(3) = 3^{3}+27 = 54\).
Vậy x = -3 là nghiệm của đa thức P(x).
Bài 7 trang 42 SGK Toán 7 tập 2 CTST
Tam giác trong hình 1 có chu vi bằng (25y - 8) cm. Tìm cạnh chưa biết trong tam giác đó.

Hướng dẫn giải:
Cạnh chưa biết của tam giác đó là: (25y - 8) - [(5y + 3) + (7y -4)] = (25y - 8) - (12y - 1) = 13y -7.
Bài 8 trang 42 SGK Toán 7 tập 2 CTST
Cho đa thức:
\(M(x) = 2x^{4} - 5x^{3} + 7x^{2} + 3x\).
Tìm các đa thức N(x), Q(x) sao cho:
\(N(x) - M(x) = -4x^{4} - 2x^{3} + 6x^{2} + 7\) và
\(Q(x) + M(x) = 6x^{5} - x^{4} + 3x^{2} - 2\).
Hướng dẫn giải:
+)
\(N(x) = M(x) + -4x^{4} - 2x^{3} + 6x^{2} + 7\)
\(=2x^{4} - 5x^{3} + 7x^{2} + 3x-4x^{4} - 2x^{3} + 6x^{2} + 7\)
\(=-2x^{4} -7x^{3}+13x^{2}+3x+7\)
+)
\(Q(x) = 6x^{5} - x^{4} + 3x^{2} - 2 - M(x)\)
\(= (6x^{5} - x^{4} + 3x^{2} - 2)-(2x^{4} - 5x^{3} + 7x^{2} + 3x)\)
\(=6x^{5} - x^{4} + 3x^{2} - 2 -2x^{4} + 5x^{3} - 7x^{2} - 3x\)
\(=6x^{5}-3x^{4}+5x^{3}-4x^{2}-3x-2\)
Bài 9 trang 42 SGK Toán 7 tập 2 CTST
Thực hiện phép nhân
a. (3x - 2)(4x + 5)
b.
\((x^{2} - 5x + 4)(6x + 1)\)
Hướng dẫn giải:
a)
\((3x - 2)(4x + 5)=3x(4x+5)-2(4x+5)\)
\(=12x^{2}+15x-8x-10=12x^{2}+7x-10\)
b)
\((x^{2} - 5x + 4)(6x + 1)=x^{2}(6x + 1)-5x(6x + 1)+4(6x + 1)\)
\(=6x^{3}+x^{2}-30x^{2}-5x+24x+4=6x^{3}-29x^{2}+19x+4\)
Bài 10 trang 42 SGK Toán 7 tập 2 CTST
Thực hiện phép chia:
a)
\((45x^{5}-5x^{4}+10x^{2}):5x^{2}\);
b)
\((9t^{2}-3t^{4}+27t^{5}):(3t)\).
Hướng dẫn giải:
a)
\((45x^{5}-5x^{4}+10x^{2}):5x^{2}\)
\(=(45x^{5}:5x^{2})+(-5x^{4}:5x^{2})+(10x^{2}:5x^{2})\)
\(=9x^{3}-x^{2}+2\)
b)
\((9t^{2}-3t^{4}+27t^{5}):(3t)\)
\(=(9t^{2}:3t)+(-3t^{4}:3t)+(27t^{5}:3t)\)
\(=3t-t^{3}+9t^{4}\)
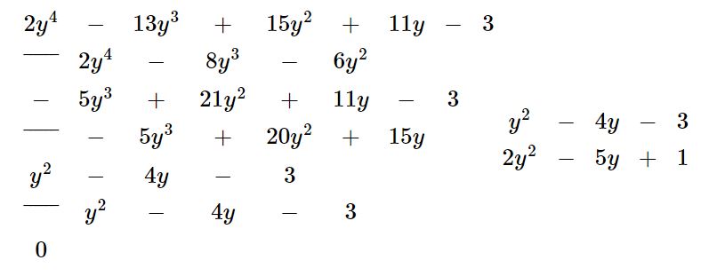
Bài 11 trang 42 SGK Toán 7 tập 2 CTST
Thực hiện phép chia:
a)
\((2y^{4}-13y^{3}+15y^{2}+11y-3):(y^{2}-4y-3)\)
b)
\((5x^{3}-3x^{2}+10):(x^{2}+1)\)
a) Thực hiện đặt phép chia ta được:

Vậy
\((2y^{4} - 13y^{3} + 15y^{2} + 11y - 3) \div (y^{2} - 4y - 3)\) =
\(2y^{2} - 5y + 1\).
b) Thực hiện phép chia ta được:

Vậy
\((5x^{3} - 3x^{2} + 10) \div (x^{2} + 1)\) =
\((5x - 3)(x^{2} + 1) - 5x + 13\).