Toán 7 Bài 4: Phép nhân và phép chia đa thức một biến
Giải Toán 7 Bài 4: Phép nhân và phép chia đa thức một biến hướng dẫn giải bài tập trong SGK Toán 7 tập 2 Chân trời sáng tạo, giúp các em học sinh ôn tập, củng cố kiến thức được học trong bài 4 chương 7 Toán 7. Sau đây mời các bạn tham khảo chi tiết.
Giải Toán 7 Chân trời sáng tạo tập 2
- Khởi động trang 37 Toán 7 Tập 2 CTST:
- Khám phá 1 trang 37 Toán 7 Tập 2 CTST:
- Thực hành 1 trang 37 Toán 7 Tập 2 CTST:
- Vận dụng 1 trang 37 Toán 7 Tập 2 CTST:
- Khám phá 2 trang 38 Toán 7 Tập 2 CTST:
- Bài 1 trang 40 Toán 7 Tập 2 CTST:
- Bài 2 trang 40 Toán 7 Tập 2 CTST:
- Bài 3 trang 40 Toán 7 Tập 2 CTST:
- Bài 4 trang 40 Toán 7 Tập 2 CTST:
- Bài 5 trang 40 Toán 7 Tập 2 CTST:
- Bài 6 trang 40 Toán 7 Tập 2 CTST:
Khởi động trang 37 Toán 7 Tập 2 CTST:
Có thể nhân, chia hai đa thức một biến được không?
Hướng dẫn giải:
Ta có thể thực hiện nhân, chia hai đa thức một biến.
Khám phá 1 trang 37 Toán 7 Tập 2 CTST:
Hãy dùng tính chất phân phối để thực hiện phép nhân x . (2x + 3).
Hướng dẫn giải:
x . (2x + 3) = x . 2x + x . 3 = 2x2 + 3x.
Thực hành 1 trang 37 Toán 7 Tập 2 CTST:
Thực hiện phép nhân (4x - 3)(2x2 + 5x - 6).
Hướng dẫn giải:
(4x - 3)(2x2 + 5x - 6)
= 4x . (2x2 + 5x - 6) + (-3) . (2x2 + 5x - 6)
= 4x . 2x2 + 4x . 5x + 4x . (-6) + (-3) . 2x2 + (-3) . 5x + (-3) . (-6)
= 8x3 + 20x2 - 24x - 6x2 - 15x + 18
= 8x3 + (20x2 - 6x2) + (-24x - 15x) + 18
= 8x3 + 14x2 - 39x + 18
Vận dụng 1 trang 37 Toán 7 Tập 2 CTST:
Tìm đa thức theo biến x biểu thị thể tích của hình hộp chữ nhật có kích thước như Hình 2

Hướng dẫn giải:
Biểu thức biểu thị thể tích của hình hộp chữ nhật trên là: (x + 3)(x - 1)(x - 2)
= [x . x + x . (-1) + 3 . x + 3 . (-1)] . (x - 2)
= (x2 - x + 3x - 3) . (x - 2)
= (x2 + 2x - 3) . (x - 2)
= x2 . x + x2 . (-2) + 2x . x + 2x . (-2) + (-3) . x + (-3) . (-2)
= x3 - 2x2 + 2x2 - 4x - 3x + 6
= x3 + (-2x2 + 2x2) + (-4x - 3x) + 6
= x3 - 7x + 6
Vậy đa thức biểu thị thể tích của hình hộp chữ nhật trên là x3 - 7x + 6.
Khám phá 2 trang 38 Toán 7 Tập 2 CTST:
Thực hiện phép nhân (3x + 1)(x2 - 2x + 1), rồi đoán xem (3x3 - 5x2 + x + 1) : (3x + 1) bằng đa thức nào.
Hướng dẫn giải:
(3x + 1)(x2 - 2x + 1) = 3x . (x2 - 2x + 1) + 1 . (x2 - 2x + 1)
= 3x . x2 + 3x . (-2x) + 3x . 1 + x2 - 2x + 1
= 3x3 - 6x2 + 3x + x2 - 2x + 1
= 3x3 + (-6x2 + x2) + (3x - 2x) + 1
= 3x3 - 5x2 + x + 1
Khi đó (3x3 - 5x2 + x + 1) : (3x + 1) = x2 - 2x + 1.
Bài 1 trang 40 Toán 7 Tập 2 CTST:
Thực hiện phép nhân
a) (4x - 3)(x + 2)
b)
\((5x +2)(-x^{2} + 3x +1)\)
c)
\((2x^{2}-7x+4)(-3x^{2}+6x+5)\)
Hướng dẫn giải:
a)
\((4x - 3)(x + 2) = 4x(x + 2) - 3(x + 2) = 4x^{2} + 5x - 6\)
b)
\((5x +2)(-x^{2} + 3x +1) = 5x.(-x^{2} + 3x +1) + 2(-x^{2} + 3x +1)\)
\(= -5x^{3} + 13x^{2} + 11x + 2\)
c)
\((2x^{2}-7x+4)(-3x^{2}+6x+5)\)
\(= 2x^{2}(-3x^{2}+6x+5) -7x(-3x^{2}+6x+5)+4(-3x^{2}+6x+5)\)
\(= -6x^{4}+33x^{3}-44x^{2}-11x+20\)
Bài 2 trang 40 Toán 7 Tập 2 CTST:
Cho hai hình chữ nhật như Hình 4. Tìm đa thức theo biến x biểu thị diện tích của phần được tô màu xanh.

Hướng dẫn giải:
Diện tích hình chữ nhật lớn là: (2x + 4)(3x + 2)
Diện tích hình chữ nhật bé là: x.(x + 1)
Diện tích phần được tô xanh là:
(2x+4)(3x+2) - x(x+1) = 2x(3x +2) + 4(3x + 2) - x(x+1) = 5x2 + 15x + 8 .
Bài 3 trang 40 Toán 7 Tập 2 CTST:
Thực hiện phép chia:
a.
\((8x^{6}-4x^{5}+12x^{4}-20x^{3}) : 4x^{3}\)
b.
\((2x^{2}-5x+3) : (2x-3)\)
Hướng dẫn giải:
a)
\((8x^{6}-4x^{5}+12x^{4}-20x^{3}) : 4x^{3} = (8x^{6}-4x^{5}+12x^{4}-20x^{3}) : 4x^{3}\)
\(= (8x^{6}:4x^{3})-(4x^{5}:4x^{3})+(12x^{4}: 4x^{3})-(20x^{3}: 4x^{3})=2x^{3}-x^{2}+3x-5\)
b)

Vậy
\((2x^{2}-5x+3) : (2x-3) = x - 1\)
Bài 4 trang 40 Toán 7 Tập 2 CTST:
Thực hiện phép chia:
a.
\((4x^{2}-5) : (x-2)\)
b.
\((3x^{3}-7x+2) : (2x^{2}-3)\)
Hướng dẫn giải:
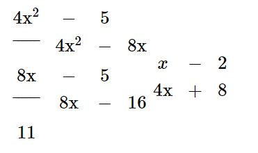
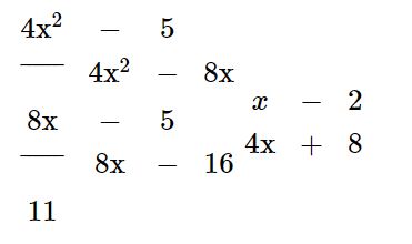
a)

Vậy
\((4x^{2}-5) : (x-2) = 4x+8\) dư 11.
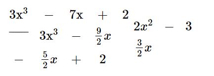
b)

Vậy
\((3x^{3}-7x+2) : (2x^{2}-3) = \frac{3}{2}x\) dư
\(-\frac{5}{2}x+2\)
Bài 5 trang 40 Toán 7 Tập 2 CTST:
Tính chiều dài của một hình chữ nhật có diện tích bằng
\((4y^{2}+4y-3)cm^{2}\) và chiều rộng bằng (2y - 1) cm.
Hướng dẫn giải:
Chiều rộng của hình chữ nhật là:
\((4y^{2}+4y-3): (2y-1) = (2y + 3) cm\).
Bài 6 trang 40 Toán 7 Tập 2 CTST:
Cho hình hộp chữ nhật có thể tích bằng
\(3x^{3}+8x^{2}-45x-50 cm^{3}\), chiều dài bằng (x+5)cm và chiều cao bằng (x+1)cm. Hãy tính chiều rộng của hình hộp chữ nhật đó.
Hướng dẫn giải:
Chiều rộng của hình hộp chữ nhật là:
\((3x^{3}+8x^{2}-45x-50):\left [ (x+5)(x+1) \right ]\)
\(=(3x^{3}+8x^{2}-45x-50):(x^{2}+6x+5)= 3x-10\)