Toán 7 Bài 4: Định lí và chứng minh một định lí
Giải Toán 7 Bài 4 Định lí và chứng minh một định lí hướng dẫn giải bài tập trong SGK Toán 7 Chân trời sáng tạo tập 1 trang 82, 83, 84, giúp các em học sinh nắm vững kiến thức được học trong chương 3 Bài 4. Sau đây mời các bạn tham khảo chi tiết.
Giải Toán 7 CTST bài 4: Định lí và Chứng minh một định lí
I. Lý thuyết Định lí và chứng minh một định lí
1. Định lí là gì?
Định lí là một khẳng định được suy ra từ những khẳng định đúng được coi là đúng.
Khi định lí được phát biểu dưới dạng: Nếu …. thì…thì:
- Phần giữa từ “ nếu” và từ “thì” thì giả thiết của định lí
- Phần sau từ “ thì” là kết luận của định lí.
Ví dụ: “ Nếu một đường thẳng cắt 2 đường thẳng song song thì 2 góc so le trong bằng nhau, hai góc đồng vị bằng nhau” là một định lí có:
+ Giả thiết: Một đường thẳng cắt 2 đường thẳng song song
+ Kết luận: thì 2 góc so le trong bằng nhau, hai góc đồng vị bằng nhau
2. Chứng minh định lí
Chứng minh định lí là dùng lập luận để từ giả thiết và những khẳng định đúng đã biết suy ra kết luận của định lí.
1. Định lí là gì?
Thực hành 1 trang 82 SGK Toán 7 tập 1
Cho định lí: “Nếu hai đường thẳng xx’ và yy’ cắt nhau tại O và góc xOy vuông
\((\widehat {xOy}= 90^\circ )\) thì các góc
\(\widehat {yOx'},\widehat {x'Oy'},\widehat {y'Ox}\) đều là góc vuông
a) Hãy vẽ hình thể hiện định lí trên
b) Viết giả thiết, kết luận của định lí
Đáp án:
a)

b)

2. Chứng minh định lí
Thực hành 2 trang 84 SGK Toán 7 tập 1
Hãy viết giả thiết, kết luận bằng kí hiệu và chứng minh định lí: “ Hai góc cùng bù một góc thứ 3 thì bằng nhau”.
Đáp án:

Giả sử
\(\widehat {{O_1}},\widehat {{O_3}}\) cùng bù với góc
\(\widehat {{O_2}}\). Ta được:
\(\widehat {{O_1}} + \widehat {{O_2}} = 180^\circ\) ;
\(\widehat {{O_3}} + \widehat {{O_2}} = 180^\circ\)
\(\Rightarrow \widehat {{O_1}} =180^\circ -\widehat {{O_2}}; \widehat {{O_3}}=180^\circ -\widehat {{O_2}}\)
III. Giải bài tập trang 84 SGK Toán 7 tập 1 CTST
Bài 1 trang 84 SGK Toán 7 tập 1
Vẽ hình, viết giả thiết, kết luận của định lí: “Một đường thẳng vuông góc với một trong hai đường thẳng song song thì nó cũng vuông góc với đường thẳng còn lại”.
Đáp án:

Giả sử cho 2 đường thẳng song song a và b, đường thẳng c vuông góc với a. Ta phải chứng minh c cũng vuông góc với b.
Thật vậy,
Vì a//b nên
\(\widehat {{A_1}} = \widehat {{B_1}}\) (2 góc đồng vị), mà
\(\widehat {{A_1}} = 90^\circ\) nên
\(\widehat {{B_1}} = 90^\circ\) hay
\(b \bot c\)(đpcm)
Bài 2 trang 84 SGK Toán 7 tập 1
Hãy phát biểu phần còn thiếu của kết luận sau:
a) Nếu một đường thẳng cắt hai đường thẳng song song thì hai góc so le trong .?…
b) Nếu hai đường thẳng phân biệt cùng vuông góc với một đường thẳng thứ ba thì .?..
Đáp án:
a) Nếu một đường thẳng cắt hai đường thẳng song song thì hai góc so le trong bằng nhau
b) Nếu hai đường thẳng phân biệt cùng vuông góc với một đường thẳng thứ ba thì chúng song song với nhau
Bài 3 trang 84 SGK Toán 7 tập 1
Hãy phát biểu phần còn thiếu của kết luận sau:
a) Nếu một đường thẳng cắt hai đường thẳng sao cho có một cặp góc so le trong ?…thì hai đường thẳng đó song song.
b) Nếu hai đường thẳng phân biệt cùng ..?.. với một đường thẳng thứ ba thì chúng song song với nhau
Đáp án:
a) Nếu một đường thẳng cắt hai đường thẳng sao cho có một cặp góc so le trong bằng nhau thì hai đường thẳng đó song song.
b) Nếu hai đường thẳng phân biệt cùng vuông góc với một đường thẳng thứ ba thì chúng song song với nhau.
Bài 4 trang 84 SGK Toán 7 tập 1
Hãy phát biểu định lí về hai đường thẳng phân biệt cùng song song với đường thẳng thứ ba.
Đáp án:
Phát biểu định lí:
Hai đường thẳng phân biệt cùng song song với một đường thẳng thứ ba thì chúng song song với nhau.
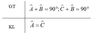
Bài 5 trang 84 SGK Toán 7 tập 1
Ta gọi hai góc có tổng bằng
\(90 ^\circ\) là hai góc phụ nhau. Hãy viết giả thiết, kết luận bằng kí hiệu và chứng minh định lí: “ Hai góc cùng phụ một góc thứ 3 thì bằng nhau”
Đáp án:

Giả sử
\(\widehat A,\widehat C\) cùng phụ với
\(\widehat B\). Ta được:
\(\widehat A + \widehat B = 90^\circ ;\widehat C + \widehat B = 90^\circ\)
\(\widehat A = 90^\circ - \widehat B;\widehat C = 90^\circ - \widehat B\)
\(\Rightarrow \widehat A = \widehat C\) (đpcm)