Toán 7 Luyện tập chung trang 44
Giải Toán 7 Luyện tập chung trang 44 KNTT hướng dẫn giải bài tập trong SGK Toán 7 Kết nối tri thức, giúp các em học sinh ôn tập, củng cố kiến thức được học, từ đó luyện giải Toán 7 hiệu quả. Sau đây mời các bạn tham khảo chi tiết.
Giải Toán 7 KNTT tập 2 trang 44, 45
Bài 7.36 trang 45 SGK Toán 7 tập 2 KNTT
Rút gọn biểu thức sau:
(5x3 – 4x2) : 2x2 + (3x4 + 6x) : 3x – x(x2 – 1)
Hướng dẫn giải:
(5x3 – 4x2) : 2x2 + (3x4 + 6x) : 3x – x(x2 – 1)
= 5x3 : 2x2 + (-4x2 : 2x2) + 3x4 : 3x + 6x : 3x – [x. x2 + x . (-1)]
= (5:2) . (x3 : x2) + [(-4) : 2] . (x2 : x2) + (3 : 3) . (x4 : x) + (6 : 3). (x:x) – ( x3 – x)
\(= \dfrac{5}{2}x – 2 + x3 + 2 – x3 + x\)
\(= (x3 – x3) + (\dfrac{5}{2}x + x) + (-2 + 2)\)
\(= 0 + \dfrac{7}{2}x + 0\)
\(= \dfrac{7}{2}x\)
Bài 7.37 trang 45 SGK Toán 7 tập 2 KNTT
Rút gọn các biểu thức sau:
a) 2x(x+3) – 3x2(x+2) + x(3x2 + 4x – 6)
b) 3x(2x2 – x) – 2x2(3x+1) + 5(x2 – 1)
Hướng dẫn giải:
a) 2x(x+3) – 3x2(x+2) + x(3x2 + 4x – 6)
= (2x . x + 2x . 3) – (3x2 . x + 3x2 . 2) + (x . 3x2 + x . 4x – x . 6)
= 2x2 + 6x – (3x3 + 6x2) + (3x3 + 4x2 - 6x)
= 2x2 + 6x – 3x3 – 6x2 + 3x3 + 4x2 - 6x
= (– 3x3 + 3x3 ) + (2x2 - 6x2 + 4x2 ) + (6x – 6x)
= 0 + 0 + 0
= 0
b) 3x(2x2 – x) – 2x2(3x+1) + 5(x2 – 1)
= [3x . 2x2 + 3x . (-x)] – (2x2 . 3x + 2x2 . 1) + [5x2 + 5 . (-1)]
= 6x3 – 3x2 – (6x3 +2x2) + 5x2 – 5
= 6x3 – 3x2 – 6x3 - 2x2 + 5x2 – 5
= (6x3 – 6x3 ) + (-3x2 – 2x2 + 5x2) – 5
= 0 + 0 – 5
= - 5
Bài 7.38 trang 45 SGK Toán 7 tập 2 KNTT
Tìm giá trị của x biết rằng:
a) 3x2 – 3x(x – 2) = 36
b) 5x(4x2 – 2x + 1) – 2x(10x2 – 5x + 2) = -36
Hướng dẫn giải:
\(\begin{array}{l}a){\rm{ }}3{x^2}--{\rm{ }}3x\left( {x{\rm{ }}--{\rm{ }}2} \right){\rm{ }} = {\rm{ }}36\\ \Leftrightarrow 3{x^2}--{\rm{ [}}3x.x + 3x.( - 2)] = 36\\ \Leftrightarrow 3{x^2} - (3{x^2} - 6x) = 36\\ \Leftrightarrow 3{x^2} - 3{x^2} + 6x = 36\\ \Leftrightarrow 6x = 36\\ \Leftrightarrow x = 36:6\\ \Leftrightarrow x = 6\end{array}\)
Vậy x = 6
\(\begin{array}{l}b){\rm{ }}5x\left( {4{x^2}--{\rm{ }}2x{\rm{ }} + {\rm{ }}1} \right){\rm{ }}--{\rm{ }}2x\left( {10{x^2}--{\rm{ }}5x{\rm{ }} + {\rm{ }}2} \right){\rm{ }} = {\rm{ }} - 36\\ \Leftrightarrow 5x.4{x^2} + 5x.( - 2x) + 5x.1 - [2x.10{x^2} + 2x.( - 5x) + 2x.2] = - 36\\ \Leftrightarrow 20{x^3} - 10{x^2} + 5x - (20{x^3} - 10{x^2} + 4x) = - 36\\ \Leftrightarrow 20{x^3} - 10{x^2} + 5x - 20{x^3} + 10{x^2} - 4x = - 36\\ \Leftrightarrow (20{x^3} - 20{x^3}) + ( - 10{x^2} + 10{x^2}) + (5x - 4x) = - 36\\ \Leftrightarrow x = - 36\end{array}\)
Vậy x = -36
Bài 7.39 trang 45 SGK Toán 7 tập 2 KNTT
Thực hiện các phép tính sau:
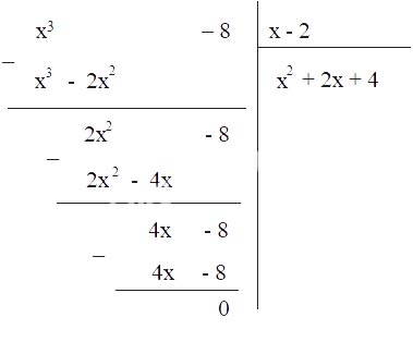
a) (x3 – 8) : (x – 2)
b) (x – 1)(x + 1)(x2 + 1)
Hướng dẫn giải:
a)

b) (x – 1)(x + 1)(x2 + 1)
= [x .(x + 1) – 1 .(x + 1)] . (x2 + 1)
= {x.x + x.1 + (-1).x + (-1).1}. (x2 + 1)
= (x2 + x – x – 1) . (x2 + 1)
= (x2 – 1) . (x2 + 1)
= x2 . (x2 +1) – 1.(x2 + 1)
= x2 . x2 + x2 . 1 – (1.x2 + 1.1)
= x4 + x2 – (x2 + 1)
= x4 + x2 – x2 – 1
= x4 – 1
Bài 7.40 trang 45 SGK Toán 7 tập 2 KNTT
Trong một trò chơi ở câu lạc bộ Toán học, chủ trò viết lên bảng biểu thức:
P(x) = x2 (7x – 5) – (28x5 – 20x4 – 12x3) : 4x2
Luật chơi là sau khi chủ trò đọc một số a nào đó, các đội chơi phải tìm giá trị của P(x) tại x = a. Đội nào tính đúng và tính nhanh nhất thì thắng cuộc.
Khi chủ trò vừa đọc a = 5, Vuông đã tính ngay được P(a) = 15 và thắng cuộc. Em có biết Vuông làm cách nào không?
Hướng dẫn giải:
P(x) = x2 (7x – 5) – (28x5 – 20x4 – 12x3) : 4x2
= x2 . 7x – x2 . 5 – ( 28x5 : 4x2 – 20x4 : 4x2 – 12x3 : 4x2)
= 7x3 – 5x2 – (7x3 – 5x2 – 3x)
= 7x3 – 5x2 – 7x3 + 5x2 +3x
= (7x3 - 7x3 ) + (– 5x2 + 5x2 ) + 3x
= 0 +0 + 3x
=3x
Khi x = 5 thì P(5) = 3 . 5 =15
Vậy Vuông chỉ cần rút gọn biểu thức P(x), sau đó thay x = 5 vào P(x) đã rút gọn
Bài 7.41 trang 45 SGK Toán 7 tập 2 KNTT
Tìm số b sao cho đa thức x 3 – 3x 2 + 2x – b chia hết cho đa thức x – 3
Hướng dẫn giải:

Để x 3 – 3x 2 + 2x – b chia hết cho đa thức x – 3 thì –b + 6 = 0 hay b = 6