Toán 7 Bài 26: Phép cộng và phép trừ đa thức một biến
Bài 26: Phép cộng và phép trừ đa thức một biến
Giải Toán 7 Bài 26: Phép cộng và phép trừ đa thức hướng dẫn giải bài tập trong SGK Toán 7 Kết nối tri thức tập 2, giúp các em học sinh ôn tập, củng cố kiến thức được học và luyện giải bài tập môn Toán lớp 7. Sau đây mời các bạn tham khảo chi tiết.
1. Cộng hai đa thức một biến
Câu hỏi trang 32 SGK Toán 7 tập 2 KNTT
Tìm tổng của hai đa thức: x3 - 5x + 2 và x3 - x2 + 6x - 4.
Hướng dẫn giải:
Tổng của hai đa thức x3 - 5x + 2 và x3 - x2 + 6x - 4 là:
x3 - 5x + 2 + x3 - x2 + 6x - 4
= (x3 + x3) - x2 + ( - 5x + 6x) + (2 - 4)
= 2x3 - x2 + x + ( - 2)
= 2x3 - x2 + x - 2.
Luyện tập 1 trang 32 Toán 7 Tập 2 :
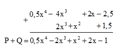
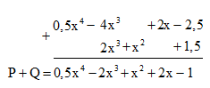
Cho hai đa thức M = 0,5x4 - 4x3 + 2x - 2,5 và N = 2x3 + x2 + 1,5.
Hãy tính tổng M + N (trình bày theo hai cách).
Hướng dẫn giải:
Cách 1. Đặt tính cộng:

Cách 2. Bỏ dấu ngoặc rồi nhóm các hạng tử cùng bậc:
M + N = (0,5x4 – 4x3 + 2x – 2,5) + (2x3 + x2 + 1,5)
= 0,5x4 – 4x3 + 2x – 2,5 + 2x3 + x2 + 1,5
= 0,5x4 + (– 4x3 + 2x3) + x2 + 2x + (– 2,5 + 1,5)
= 0,5x4 + (– 2x3) + x2 + 2x + (–1)
= 0,5x4 – 2x3 + x2 + 2x – 1.
Vậy M + N = 0,5x4 - 2x3 + x2 + 2x - 1.
Vận dụng 1 trang 32 Toán 7 Tập 2 :
Đặt tính cộng để tìm tổng của ba đa thức sau:
A = 2x3 - 5x2 + x - 7;
B = x2 - 2x + 6;
C = -x3 + 4x2 - 1.
Hướng dẫn giải:
Ta có: A + B + C = (A + B) + C
Đặt tính A + B như sau:
Đặt tính (A + B) + C như sau:
Vậy A + B + C = x3 - x - 2.
2. Trừ hai đa thức một biến
Hoạt động 1 trang 32 SGK Toán 7 tập 2 KNTT
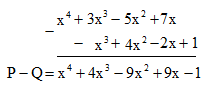
Cho hai đa thức P = x4 + 3x3 - 5x2 + 7x và Q = - x3 + 4x2 - 2x + 1
Đối với phép trừ: P - Q = (x4 + 3x3 - 5x2 + 7x) - ( - x3 + 4x2 - 2x + 1), ta cũng có hai cách trình bày, tương tự như phép cộng hai đa thức.
Tìm hiệu P - Q bằng cách bỏ dấu ngoặc rồi nhóm các hạng tử cùng bậc và thu gọn.
Hướng dẫn giải:
P - Q = (x4 + 3x3 - 5x2 + 7x) - ( - x3 + 4x2 - 2x + 1)
P - Q = x4 + 3x3 - 5x2 + 7x + x3 - 4x2 + 2x - 1
P - Q = x4 + (3x3 + x3) + ( - 5x2 - 4x2) + (7x + 2x) - 1
P - Q = x4 + 4x3 + ( - 9x2) + 9x - 1
P - Q = x4 + 4x3 - 9x2 + 9x - 1
Vậy P - Q = x4 + 4x3 - 9x2 + 9x - 1.
Hoạt động 2 trang 32 Toán 7 Tập 2 :
Cho hai đa thức P = x4 + 3x3 - 5x2 + 7x và Q = -x3 + 4x2 - 2x + 1.
Đối với phép trừ: P - Q = (x4 + 3x3 - 5x2 + 7x) - (-x3 + 4x2 - 2x + 1), ta cũng có hai cách trình bày, tương tự như phép cộng hai đa thức.
Tìm hiệu P - Q bằng cách đặt tính trừ: đặt đa thức Q dưới đa thức P sao cho các hạng tử cùng bậc thẳng cột với nhau rồi trừ theo từng cột.
Hướng dẫn giải:
Đặt tính trừ P - Q như sau:

Vậy P – Q = x4 + 4x3 – 9x2 + 9x – 1.
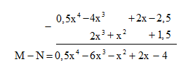
Luyện tập 2 trang 32 Toán 7 Tập 2 :
Cho hai đa thức:
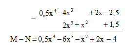
M = 0,5x4 - 4x3 + 2x - 2,5 và N = 2x3 + x2 + 1,5.
Hãy tính hiệu M - N (trình bày theo hai cách).
Hướng dẫn giải:
Cách 1. Đặt tính trừ:

Cách 2. Bỏ dấu ngoặc rồi nhóm các hạng tử cùng bậc và thu gọn.
M - N = (0,5x4 - 4x3 + 2x - 2,5) - (2x3 + x2 + 1,5)
= 0,5x4 - 4x3 + 2x - 2,5 - 2x3 - x2 - 1,5
= 0,5x4 + (-4x3 - 2x3) - x2 + 2x + (-2,5 - 1,5)
= 0,5x4 + (-6x3) - x2 + 2x + (-4)
= 0,5x4 - 6x3 - x2 + 2x - 4
Vậy M - N = 0,5x4 - 6x3 - x2 + 2x - 4.
Vận dụng 2 trang 33 SGK Toán 7 tập 2 KNTT
Cho đa thức A = x4 - 3x2 - 2x + 1. Tìm các đa thức B và C sao cho:
A + B = 2x5 + 5x3 - 2;
A - C = x3.
Hướng dẫn giải:
Do A + B = 2x5 + 5x3 - 2 nên B = 2x5 + 5x3 - 2 - A
B = 2x5 + 5x3 - 2 - (x4 - 3x2 - 2x + 1)
B = 2x5 + 5x3 - 2 - x4 + 3x2 + 2x - 1
B = 2x5 - x4 + 5x3 + 3x2 + 2x + (-2 - 1)
B = 2x5 - x4 + 5x3 + 3x2 + 2x + (-3)
B = 2x5 - x4 + 5x3 + 3x2 + 2x -3
Do A - C = x3 nên C = A - x3
C = x4 - 3x2 - 2x + 1 - x3
C = x4 - x3 - 3x2 - 2x + 1
Vậy B = 2x5 - x4 + 5x3 + 3x2 + 2x -3; C = x4 - x3 - 3x2 - 2x + 1.
Bài tập
Bài 7.12 trang 33 SGK Toán 7 tập 2 KNTT
Tìm tổng của hai đa thức sau bằng cách nhóm các hạng tử cùng bậc:
x2 – 3x + 2 và 4x3 – x2 + x - 1
Hướng dẫn giải
Ta có: (x2 – 3x + 2) + (4x3 – x2 + x – 1)
= x2 – 3x + 2 + 4x3 – x2 + x - 1
= 4x3 + (x2 – x2 ) + (-3x + x) + (2 – 1)
= 4x3 – 2x + 1
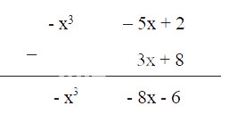
Bài 7.13 trang 33 SGK Toán 7 tập 2 KNTT
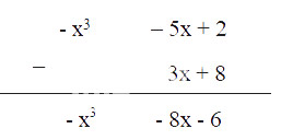
Tìm hiệu sau theo cách đặt tính trừ: (- x 3 – 5x + 2) – (3x + 8)
Hướng dẫn giải

Bài 7.14 trang 33 SGK Toán 7 tập 2 KNTT
Cho hai đa thức:
\(A = 6{x^4} - 4{x^3} + x - \dfrac{1}{3};B = - 3{x^4} - 2{x^3} - 5{x^2} + x + \dfrac{2}{3}\)
Tính A + B và A - B
Hướng dẫn giải
\(A + B = 6x^4 – 4x^3 + x - \frac{1}{3} + (-3x^4 – 2x^3 – 5x^2 + x + \frac{2}{3})\)
\(= 6x^4 – 4x^3 + x - \frac{1}{3} - 3x^4 – 2x^3 – 5x^2 + x + \frac{2}{3}\)
\(= (6x^4 – 3x^4) + (-4x^3 – 2x^3) – 5x^2 + (x + x) + (- \frac{1}{3} + \frac{2}{3})\)
\(= 3x^4 - 6x^3 – 5x^2 + 2x + \frac{1}{3}\)
\(A - B = 6x^4 – 4x^3 + x - \frac{1}{3} - (-3x^4 – 2x^3 – 5x^2 + x + \frac{2}{3})\)
\(= 6x^4 – 4x^3 + x - \frac{1}{3} + 3x^4 + 2x^3 + 5x^2 - x - \frac{2}{3}\)
\(= (6x^4 + 3x^4) + (-4x^3 + 2x^3) + 5x^2 + (x - x) + (- \frac{1}{3} - \frac{2}{3})\)
\(= 9x^4 - 2x^3 + 5x^2 - 1\)
Bài 7.15 trang 33 SGK Toán 7 tập 2 KNTT
Cho hai đa thức:
\(A = 3x^4 – 2x^3 – x + 1\)
\(B = -2x^3 + 4x^2 + 5x\)
\(C = -3x^4 + 2x^2 + 5\)
Tính A + B + C; A – B + C và A – B - C
Hướng dẫn giải
A + B + C
\(= 3x^4 – 2x^3 – x + 1 + (-2x^3 + 4x^2 + 5x) + (-3x^4 + 2x^2 + 5)\)
\(= 3x^4 – 2x^3 – x + 1 - 2x^3 + 4x^2 + 5x - 3x^4 + 2x^2 + 5\)
\(= (3x^4 – 3x^4) + (-2x^3 – 2x^3) + (4x^2 + 2x^2) + (-x + 5x) + (1 + 5)\)
\(= – 4x^3 + 6x^2 + 4x + 6\)
A – B
\(= 3x^4 – 2x^3 – x + 1 - (-2x^3 + 4x^2 + 5x)\)
\(= 3x^4 – 2x^3 – x + 1 + 2x^3 - 4x^2 - 5x\)
\(= 3x^4 + (-2x^3 + 2x^3) – 4x^2 + (-x – 5x) + 1\)
\(= 3x^4 - 4x^2 - 6x + 1\)
A - B - C
\(= 3x^4 – 4x^2 – 6x + 1 - (-3x^4 + 2x^2 + 5)\)
\(= 3x^4 – 4x^2 – 6x + 1 + 3x^4 - 2x^2 - 5\)
\(= (3x^4 + 3x^4) + (-4x^2 – 2x^2) – 6x + (1 – 5)\)
\(= 6x^4 - 6x^2 - 6x - 4\)
Bài 7.16 trang 33 SGK Toán 7 tập 2 KNTT
Bạn Nam được phân công mua một số sách làm quà tặng trong buổi tổng kết cuối năm học của lớp. Nam dự định mua ba loại sách với giá bán như bảng sau. Giả sử Nam cần mua x cuốn sách khoa học, x + 8 cuốn sách tham khảo và x + 5 cuốn truyện tranh.
|
Loại sách |
Giá bán một cuốn (đồng) |
|
Truyện tranh |
15 000 |
|
Sách tham khảo |
12 500 |
|
Sách khóa học |
21 500 |
a) Viết các đa thức biểu thị số tiền Nam phải trả cho từng loại sách.
b) Tìm đa thức biểu thị tổng số tiền Nam phải trả để mua số sách đó.
Hướng dẫn giải
a) Đa thức biểu thị số tiền Nam phải trả cho truyện tranh là: A = (x +5). 15 000 = 15 000x + 75 000 (đồng)
Đa thức biểu thị số tiền Nam phải trả cho sách tham khảo là: B = (x + 8) . 12 500 = 12 500x + 100 000 (đồng)
Đa thức biểu thị số tiền Nam phải trả cho sách khoa học là: C = x . 21 500 (đồng)
b) Đa thức biểu thị tổng số tiền Nam phải trả để mua số sách đó là:
P = A + B + C = = 15 000x + 75 000 + 12 500x + 100 000 + x . 21 500
= (15 000 + 12 500 + 21 500)x + (75 000 + 100 000)
= 49 000x + 175 000 (đồng)
Bài 7.17 trang 33 SGK Toán 7 tập 2 KNTT
Trên một mảnh đất hình chữ nhật có chiều dài 65 m, người ta định làm một bể bơi có chiều rộng là x nét, chiều dài gấp 3 lần chiều rộng. Sơ đồ và kích thước cụ thể (tính bằng mét) đươc cho trong Hình 7.1. Tìm đa thức ( biến x):
a) Biểu thị diện tích bể bơi
b) Biểu thị diện tích mảnh đất
c) Biểu thị diện tích phần đất xung quanh bể bơi.

Hướng dẫn giải
a) Bể bơi có chiều dài là 3x, chiều rộng là x nên đa thức biểu thị diện tích bể bơi là:
B = 3x. x = 3.x2
b) Mảnh đất có chiều dài là 65, chiều rộng là 5 + x + 4 = x + 9 nên đa thức biểu thị diện tích mảnh đất là:
D = 65. (x+9) = 65x + 585
c) Diện tích xung quanh bể bơi = diện tích mảnh đất – diện tích bể bơi nên đa thức biểu thị diện tích phần đất xung quanh bể bơi là:
Q = D – B = 65x + 585 - 3.x2 = -3.x2 +65x + 585