Toán 7 Bài tập cuối chương 7 Kết nối tri thức
Giải Toán 7 KNTT tập 2 trang 46
Giải Toán 7 Bài tập cuối chương 7 trang 46 hướng dẫn giải bài tập trong SGK Toán 7 Kết nối tri thức tập 2 trang 46. Tài liệu giúp các em học sinh nắm vững các dạng toán về Biểu thức đại số và đa thức một biến, từ đó luyện giải Toán 7 hiệu quả. Sau đây mời các bạn tham khảo chi tiết.
Bài 7.42 trang 46 SGK Toán 7 tập 2 KNTT
Một hãng taxi quy định giá cước như sau: 0,5 km đầu tiên giá 8 000 đồng; tiếp theo cứ mỗi kilomet giá 11 000 đồng. Giả sử một người thuê xe đi x (km)
a) Chứng tỏ rằng biểu thức biểu thị số tiền mà người đó phải trả là một đa thức. Tìm bậc, hệ số cao nhất và hệ số tự do của đa thức đó.
b) Giá trị của đa thức tại x = 9 nói lên điều gì?
Hướng dẫn giải:
a) 0,5 km, người đó phải trả: 8 000 (đồng)
Quãng đường còn lại người đó phải đi là: x – 0,5 (km)
Trong x – 0,5 km đó, người đó phải trả: (x – 0,5). 11 000 ( đồng)
Đa thức biểu thị số tiền mà người đó phải trả là:
T(x) = 8 000 + (x – 0,5). 11 000
= 8 000 + x . 11 000 – 0,5 . 11 000
= 8 000 + 11 000 . x – 5 500
= 11 000 .x + 2 500
Bậc của đa thức là: 1
Hệ số cao nhất: 11 000
Hệ số tự do: 2 500
b) Thay x = 9 vào đa thức T(x), ta được:
T(9) = 11 000 . 9 + 2 500 = 101 500
Giá trị này nói lên số tiền mà người đó phải trả khi đi 9 km là 101 500 đồng
Bài 7.43 trang 46 SGK Toán 7 tập 2 KNTT
Cho đa thức bậc hai F(x) = ax 2 + bx + c, trong đó, a, b và c là những số với a ≠ 0
a) Cho biết a + b + c = 0. Giải thích tại sao x = 1 là một nghiệm của F(x)
b) Áp dụng, hãy tìm một nghiệm của đa thức bậc hai 2x2 – 5x + 3
Hướng dẫn giải:
a) Thay x = 1 vào đa thức F(x), ta có:
F(1) = a.12 + b.1 + c = a+ b + c
Mà a + b + c = 0
Do đó, F(1) = 0. Như vậy x = 1 là một nghiệm của F(x)
b) Ta có: Đa thức 2x2 – 5x + 3 có a = 2 ; b = -5; c = 3 nên a + b + c = 2 + (-5) + 3 = 0
Do đó, đa thức có 1 nghiệm là x = 1
Bài 7.44 trang 46 SGK Toán 7 tập 2 KNTT
Cho đa thức A = x4 + x3 – 2x – 2
a) Tìm đa thức B sao cho A + B = x3 + 3x + 1
b) Tìm đa thức C sao cho A – C = x5
c) Tìm đa thức D biết rằng D = (2x3 – 3) . A
d) Tìm đa thức P sao cho A = (x+1) . P
e) Có hay không một đa thức Q sao cho A = (x2 + 1) . Q?
Hướng dẫn giải:
a) Ta có:
B = (A + B) – A
= (x3 + 3x + 1) – (x4 + x3 – 2x – 2)
= x3 + 3x + 1 – x4 - x3 + 2x + 2
= – x4 + (x3 – x3) + (3x + 2x) + (1 + 2)
= – x4 + 5x + 3
b) C = (A – C) – A
= x5 – (x4 + x3 – 2x – 2)
= x5 – x4 - x3 + 2x + 2)
c) D = (2x3 – 3) . A
= (2x3 – 3) . (x4 + x3 – 2x – 2)
= 2x3 . (x4 + x3 – 2x – 2) + (-3) .(x4 + x3 – 2x – 2)
= 2x3 . x4 + 2x3 . x3 + 2x3 . (-2x) + 2x3 . (-2) + (-3). x4 + (-3) . x3 + (-3). (-2x) + (-3). (-2)
= 2x7 + 2x6 – 4x4 – 4x3 – 3x4 – 3x3 + 6x + 6
= 2x7 + 2x6 + (-4x4 – 3x4) + (-4x3 – 3x3) + 6x + 6
= 2x7 + 2x6 – 7x4 – 7x3 + 6x + 6
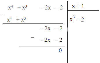
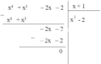
d) P = A : (x+1) = (x4 + x3 – 2x – 2) : (x + 1)

Vậy P = x3 - 2
e) Q = A : (x2 + 1)
Nếu A chia cho đa thức x2 + 1 không dư thì có một đa thức Q thỏa mãn
Ta thực hiện phép chia (x4 + x3 – 2x – 2) : (x2 + 1)

Do phép chia có dư nên không tồn tại đa thức Q thỏa mãn.
Bài 7.45 trang 46 SGK Toán 7 tập 2 KNTT
Cho đa thức P(x). Giải thích tại sao nếu có đa thức Q(x) sao cho P(x) = (x – 3) . Q(x) (tức là P(x) chia hết cho x – 3) thì x = 3 là một nghiệm của P(x)
Hướng dẫn giải:
Vì tại x = 3 thì P(x) = (3 – 3) . Q(x) = 0. Q(x) = 0 nên x = 3 là một nghiệm của đa thức P(x)
Bài 7.46 trang 46 SGK Toán 7 tập 2 KNTT
Hai bạn Tròn và Vuông tranh luận với nhau như sau:

Hãy cho biết ý kiến của em và nêu một ví dụ minh họa.
Hướng dẫn giải:
Tròn đúng, Vuông sai vì tổng của các đa thức là một đa thức có bậc không lớn hơn bậc của các đa thức thành phần
Đa thức M(x) = x3 + 1 có thể viết được thành tổng của hai đa thức bậc 4 có hệ số cao nhất là 2 số đối nhau.
Ví dụ:
x3 + 1 = (x4 + 1) + (-x4 + x3)