Giải bài tập SBT Toán 7 bài 7: Định lí
Bài tập môn Toán lớp 7
Giải bài tập SBT Toán 7 bài 7: Định lí được VnDoc sưu tầm và đăng tải, tổng hợp lý thuyết. Đây là lời giải hay cho các câu hỏi trong sách bài tập nằm trong chương trình giảng dạy môn Toán lớp 7. Hi vọng rằng đây sẽ là những tài liệu hữu ích trong công tác giảng dạy và học tập của quý thầy cô và các em học sinh.
Giải bài tập SBT Toán 7 bài 5: Tiên đề Ơ-clit về đường thẳng song song
Giải bài tập SBT Toán 7 bài 6: Từ vuông góc đến song song
Giải bài tập SBT Toán 7 bài 1: Tổng ba góc của một tam giác
Câu 1: Vẽ hình và viết giả thiết, kết luận của các định lý sau:
a, Nếu một đường thẳng cắt một trong hai đường thẳng song song thì nó cắt đường thẳng kia
b, Nếu một đường thẳng vuông góc với một trong hai đường thẳng song song thì nó vuông góc với đường thẳng kia.
Lời giải:

Câu 2: Vẽ hình và viết giả thiết, kết luận của các định lý sau:
a, Hai đường thẳng cùng vuông góc với một đường thẳng thứ ba thì chúng song song với nhau
b, Hai đường thẳng song song với một đường thẳng thứ ba thì chúng song song với nhau
Lời giải:

Câu 3: Với hai góc kề bù ta có định lý sau:
Hai tia phân giác của hai góc kề bù tạo thành một góc vuông
a, Hãy vẽ hai góc xOy và yOx’ kề bù, tia phân giác Ot của góc xOy, tia phân giác Ot’ của góc yOx’ và gọi số đo của góc xOy là m0.
b, Hãy viết giả thiết và kết luận của định lí
c, Hãy điền vào chỗ trống và sắp xếp bốn câu sau đây một cách hợp lí để chứng minh định lí trên.
∠(tOy) =(1/2).m0 vì…
∠(t'Oy) =(1/2 )(180o-m0)vì…
∠(tOt') =90o vì…
∠(x'Oy) =(180o - m0) vì…
Lời giải:
a, Hình vẽ:

Câu 4: Điền vào chỗ trống để chứng minh bài toán sau:
Gọi DI là tia phân giác của góc MND. Gọi EDK là góc đối đỉnh của góc IDM. Chứng minh rằng ⊥(EDK) =⊥(IDN)

Chừng minh:
∠(IDM) =∠(IDN) (vì…) (1)
∠(IDM) =∠(EDK) (vì…) (2)
Từ (1) và (2) suy ra...
Đó là điều phải chứng minh
Lời giải:
Chứng minh:

∠(IDM) =∠(IDN) (vì DI là tia phân giác của ∠(MDN) (1)
∠(IDM) =∠(EDK) (vì 2 góc đối đỉnh) (2)
Từ (1) và (2) suy ra ∠(EDK) =∠(IDN) (điều phải chứng minh)
Câu 5: Hãy chứng minh định lí:
Nếu một đường thẳng cắt hai đường thẳng cắt hai đường thẳng song song thì hai góc đồng vị bằng nhau.
Hướng dẫn: chứng minh tương tự bài tập 30.
Lời giải:

Chứng minh
Giả sử ∠(A1 ) ≠ ∠(B1 )
Qua B kẻ đường thẳng xy tạo với đường thẳng c có ∠(ABy) =∠(A1)
Theo dấu hiệu của hai đường thẳng song song, ta có xy //a
Vì xy và a tạo ra với đường thẳng c cắt chúng hai góc đồng vị bằng nhau.
Như vậy qua điểm B ở ngoài đường thẳng a kẻ được hai đường thẳng b và xy cùng song song với a. Theo tiên đề Ơ clit thì đường thẳng xy trùng với đường thẳng b. vậy ∠(ABy) ̂ trùng với ∠(B1) nên (A1) = ∠ (B1 )

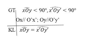
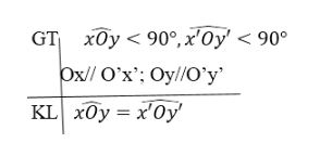
Câu 6: Chứng minh rằng:
Nếu hai góc nhọn xOy và x’Oy’ có Õ// O’x’; Oy//O’y’ thì ∠(xOy) =∠(x'Oy')
Hướng dẫn: sử dụng tính chất của hai đường thẳng song song (bài 5)
Lời giải:

Chứng minh:
Vẽ đường thẳng OO’
Vì Ox // O’x’ nên hai góc đồng vị ∠(O1 ) và ∠(O1 ) bằng nhau
Suy ra: ∠(O1 ) =∠(O')1 (1)
Vì Oy // O’y’ nên hai góc đồng vị ∠(O2 ) và ∠(O')2 bằng nhau
Suy ra: ∠(O2 ) =∠(O')2(2)
Từ (1) và (2) suy ra: ∠(O1 ) - ∠(O')2 =∠(O'1) - ∠(O')2
Vậy ∠(xOy) =∠(x'Oy')