Giải SBT Tin học 10 Kết nối tri thức bài 27
Chúng tôi xin giới thiệu bài Giải SBT Tin học 10 bài 27: Tham số của hàm có đáp án chi tiết cho từng câu hỏi chương trình sách mới. Thông qua đây các em học sinh đối chiếu với lời giải của mình, hoàn thành bài tập hiệu quả.
Bài: Tham số của hàm
Câu 27.1 trang 55 SBT Tin học 10: Hàm tự định nghĩa trong Python có thể có bao nhiêu tham số?
A. 0
B. 1.
C. 2.
D. Không hạn chế.
Trả lời:
Đáp án đúng là: D
Hàm tự định nghĩa trong Python có thể có không hạn chế tham số.
Câu 27.2 trang 55 SBT Tin học 10: Khi gọi hàm, dữ liệu được truyền vào hàm được gọi là gì?
A. Tham số.
B. Hiệu số.
C. Đối số.
D. Hàm số.
Trả lời:
Đáp án đúng là: C
Khi gọi hàm, dữ liệu được truyền vào hàm được gọi là đối số.
Câu 27.3 trang 55 SBT Tin học 10: Hàm func(m, n) được định nghĩa như sau:
def func(m, n):
return 3*m + n
Giả sử chúng ta thực hiện các lệnh sau:
>>> m = 10
>>> n = 1
>>> print(func(n,m))
Kết quả sẽ in ra số nào?
Trả lời:
Kết quả sẽ in ra số: 13. (Hàm trả lại giá trị 3 × 1 + 10 = 13)

Câu 27.4 trang 56 SBT Tin học 10: Đoạn chương trình sau sẽ in ra số nào?
>>> def f(x,y):
z = x+y
return x*y*z
>>> f(1,4)
A. 10.
B. 18.
C. 20.
D. 30.
Trả lời:
Đáp án đúng là: C

Câu 27.5 trang 56 SBT Tin học 10: Chỉ số sức khoẻ BMI của con người được định nghĩa theo công thức sau:
BMI=mh2, trong đó m là khối lượng cơ thể tính bằng kg, h là chiều cao tính theo mét. Viết hàm số tính chỉ số BMI theo các tham số m, h.
Trả lời:
Hàm có thể viết như sau:
def bmi(m, h):
return m/(h*h)
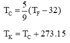
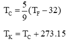
Câu 27.6 trang 56 SBT Tin học 10: Chúng ta đã biết đơn vị đo nhiệt độ hiện nay trên thế giới có ba loại:
- Nhiệt độ tính theo Celsius (nhiệt độ C).
- Nhiệt độ tính theo Kelvin (nhiệt độ K).
- Nhiệt độ tính theo Fahrenheit (nhiệt độ F).
Các công thức sau cho biết quan hệ toán học giữa các nhiệt độ trên.

Viết thủ tục convertCK( ) thực hiện các công việc sau:
- Yêu cầu nhập từ màn hình giá trị nhiệt độ TC tính theo C.
- Tính toán và đưa ra màn hình nhiệt độ TK tính theo K.
Trả lời:
Hàm được thiết lập có thể viết như sau:
def convertCK( ):
TC = int(input("Nhập giá trị nhiệt độ tính theo Celsius :"))
TK = TC + 273.15
print("Nhiệt độ trên tính theo Kelvin là:", round( Tk))
Câu 27.7 trang 56 SBT Tin học 10: Viết hàm số (hàm dấu) sign(x) trả lại 1 nếu x > 0, trả lại 0 nếu x = 0 và trả lại -1 nêu x < 0.
Trả lời:
Hàm có thể viết như sau:
def sign(x):
if x > 0:
return 1
elif x == 0:
return 0
else:
return -1
Câu 27.8 trang 56 SBT Tin học 10: Viết hàm prime(n) với n là số nguyên bất kì. Hàm sẽ trả lại giá trị False nếu n không là số nguyên tố và trả lại True nếu n là số nguyên tố. Lưu ý rằng các số âm, số 0 và 1 không được coi là số nguyên tố.
Trả lời:
def prime(n):
C = 0
k = 1
while k < n:
if n%k ==0:
C = C + 1
k = k + 1
if C ==1:
return True
else:
return False
# Chương trình chính
n = int(input(“Nhập số tự nhiên : “))
for k in range(1, n+1):
if prime(k):
print(k, end = “ “)
Câu 27.9 trang 56 SBT Tin học 10: Viết hàm UCLN(m, n) để tính ước chung lớn nhất của hai số nguyên không âm m và n.
Trả lời:
Hàm có thể viết như sau:
def UCLN(m,n):
while m! = n:
if m > n:
m = m – n
else
n = n – m
return m
Câu 27.10 trang 56 SBT Tin học 10: Hai số tự nhiên m, n được gọi là nguyên tố cùng nhau nếu UCLN(m, n) = 1.
Viết chương trình thực hiện công việc sau:
Nhập từ bàn phím số tự nhiên n và đếm số các số nguyên tố cùng nhau với n tính trong khoảng từ 1 đến n.
Trả lời:
Chương trình có thể viết như sau:
n = int(input("Nhập số tự nhiên n: "))
c = 0
for i in range(1, n+1):
if UCLN(i, n) == 1:
c = c + 1
print(c)
Câu 27.11 trang 56 SBT Tin học 10: Viết chương trình nhập số tự nhiên n từ bàn phím và in ra số nguyên tố nhỏ nhất không nhỏ hơn n. Ví dụ nếu nhập n = 10 thì chương trình sẽ in ra số 11.
Trả lời:
Chương trình có thể viết như sau:
n = int(input("Nhập số tự nhiên n: "))
while not prime(n):
n = n + 1
print(n)
Câu 27.12 trang 57 SBT Tin học 10: Chỉ số sức khoẻ BMI có ý nghĩa như sau:
Nếu BMI < 18 thì phân loại là gầy.
Nếu BMI từ 18 đến 25 thì phân loại là bình thường.
Nếu BMI > 25 thì phân loại là béo phì.
Viết chương trình thực hiện các công việc sau:
- Yêu cầu người dùng nhập các thông số: họ tên, cân nặng (đơn vị kg) và chiều cao (đơn vị m).
- Sau đó thông báo "Bạn gầy" hoặc "Bạn bình thường" hoặc "Bạn bị béo phì".
Trả lời:
Chương trình có thể viết như sau:
def bmi(m, h):
return m/(h*h)
ten = input("Nhập họ tên: ")
mass = float(input("Nhập cân nặng: "))
h = float(input("Nhập chiều cao: "))
if bmi (mass, h) < 18:
print(ten, "Bạn gầy")
elif bmi(mass, h) < 25:
print(ten, "Bạn bình thường")
else:
print(ten, "Bạn bị béo phì")
>>> Bài tiếp theo: Giải SBT Tin học 10 Kết nối tri thức bài 28
Trên đây là toàn bộ lời giải Giải SBT Tin học lớp 10 bài 27: Tham số của hàm sách Kết nối tri thức. Các em học sinh tham khảo thêm Tin học 10 Chân trời sáng tạo và Tin học lớp 10 Cánh Diều. VnDoc liên tục cập nhật lời giải cũng như đáp án sách mới của SGK cũng như SBT các môn cho các bạn cùng tham khảo.