Lực tương tác tĩnh điện
Chuyên đề Vật lý lớp 11: Lực tương tác tĩnh điện được VnDoc sưu tầm và giới thiệu tới các bạn học sinh cùng quý thầy cô tham khảo. Nội dung tài liệu sẽ giúp các bạn học sinh học tốt môn Vật lý lớp 11 hiệu quả hơn. Mời các bạn tham khảo.
Bài: Lực tương tác tĩnh điện
Hai loại điện tích
Có hai loại điện tích là điện tích dương và điện tích âm. Các điện tích cùng dấu thì đẩy nhau, trái dấu thì hút nhau.

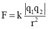
Định luật Cu-lông
Lực hút hay đẩy giữa hai điện tích điểm đặt trong chân không có phương trùng với đường thẳng nối hai điện tích điểm đó, có độ lớn tỉ lệ thuận với tích độ lớn của hai điện tích và tỉ lệ nghịch với bình phương khoảng cách giữa chúng. Lực đó được gọi là lực Culông hay lực tĩnh điện:

Với k = 9.109 Nm2/C2; q1, q2 là điện tích, đơn vị là Culông (C); r là khoảng cách giữa hai điện tích (m).
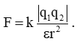
Hằng số điện môi
Điện môi là môi trường cách điện. Hằng số điện môi (ε) đặc trưng cho tính cách điện của chất cách điện.
Khi đặt các điện tích trong một điện môi đồng tính thì lực tương tác giữa chúng sẽ yếu đi ε lần so với khi đặt nó trong chân không, ε luôn ≥ 1 (ε của không khí ≈ chân không = 1).
Lực tương tác giữa các điện tích điểm đặt trong điện môi:
.
Thuyết electrôn
- Nguyên tử gồm:
| Hạt nhân mang điện tích dương gồm: | Prôtôn | mp = 1,67.10-27kg | Nơtrôn | mn ≈ mp | |
| qp = +1,6.10-19 C = + e | qn = 0 | ||||
| Các electrôn chuyển động xung quanh hạt nhân: | Elêctrôn | me = 9,1.10-31kg << mp, mn | |||
| qe = −1,6.10-19 C = - e | |||||
- Bình thường số p = số e → nguyên tử trung hòa về điện.
- Do me << mn, mp nên electrôn rất linh động. Electrôn có thể bứt ra khỏi nguyên tử, di chuyển từ nguyên tử này sang nguyên tử khác, di chuyển từ vật này sang vật khác và làm cho các vật nhiễm điện.
- Nguyên tử (vật) nhận electrôn trở thành ion âm (vật mang điện âm). Nguyên tử (vật) mất electrôn trở thành ion dương (vật mang điện dương).
Vận dụng thuyết electrôn
- Vật dẫn điện là vật có chứa nhiều điện tích tự do, như: kim loại, dung dịch muối, axit,... Vật cách điện là vật không chứa hoặc chứa rất ít các điện tích tự do,như: không khí khô, cao su, một số nhựa…Sự phân biệt vật dẫn điện và vật cách điện chỉ là tương đối.
- Sự nhiễm điện do cọ xát: khi cọ xát, electrôn có thể di chuyển từ vật này sang vật khác.
- Sự nhiễm điện do tiếp xúc: Nếu cho một vật tiếp xúc với một vật nhiễm điện thì nó sẽ nhiễm điện cùng dấu với vật đó =
.
- Sự nhiễm điện do hưởng ứng: Đưa một quả cầu A nhiễm điện dương lại gần đầu M của một thanh kim loại MN trung hoà về điện thì đầu M nhiễm điện âm còn đầu N nhiễm điện dương. Điện tích của thanh MN là không thay đổi. Khi đưa quả cầu A ra xa điện tích trong thanh MN phân bố lại như ban đầu.
Định luật bảo toàn điện tích
Trong một hệ cô lập về điện, tổng đại số của các điện tích là không đổi: q1 + q2 + q3+...+ qn = q'1 + q'2 + q'3+...+ q'n
► Hệ cô lập về điện là hệ mà các vật trong hệ chỉ trao đổi điện tích với nhau mà không trao đổi điện tích với bên ngoài.
Trên đây VnDoc đã giới thiệu tới các bạn lý thuyết Vật lý 11: Lực tương tác tĩnh điện. Để có kết quả cao hơn trong học tập, VnDoc xin giới thiệu tới các bạn học sinh tài liệu Chuyên đề Vật lý 11, Giải Vở BT Vật Lý 11, Giải bài tập Vật Lí 11, Tài liệu học tập lớp 11 mà VnDoc tổng hợp và giới thiệu tới các bạn đọc