Luyện giải bài tập Vật lý 12 - Dao động cơ học
Luyện giải bài tập Vật lý 12 - Dao động cơ học
Luyện giải bài tập Vật lý 12 - Dao động cơ học là tài liệu luyện thi THPT Quốc gia môn Vật lý hay dành cho quý thầy cô và các bạn học sinh tham khảo, nhằm giúp các bạn ôn tập và củng cố kiến thức về các công thức dao động cơ, các dạng bài tập dao động cơ học. Phần bài tập có đáp án đi kèm, giúp việc ôn tập dễ dàng và hiệu quả hơn.
Đại cương về dao động điều hòa
I. Dao động cơ :
1. Thế nào là dao động cơ:
Chuyển động qua lại quanh một vị trí đặc biệt, gọi là vị trí cân bằng.
2. Dao động tuần hoàn:
Sau những khoảng thời gian bằng nhau gọi là chu kỳ, vật trở lại vị trí cũ theo hướng cũ.
II. Phương trình của dao động điều hòa:
1. Định nghĩa: Dao động điều hòa là dao động trong đó li độ của vật là một hàm cosin (hay sin) của thời gian
2. Phương trình:
x = Acos(ωt + φ)
- A là biên độ dao động (A > 0), A phụ thuộc năng lượng cung cấp cho hệ ban dầu, cách kích thích
- (ωt + φ) là pha của dao động tại thời điểm t
- φ là pha ban đầu, phụ tuộc cách chọn gốc thời gian,gốc tọa độ, chiều dương
III. Chu kỳ, tần số và tần số góc của dao động điều hòa:
1. Chu kỳ, tần số:
- Chu kỳ T: Khoảng thời gian để vật thực hiện một dao động toàn phần – đơn vị giây (s)
- Tần số f: Số dao động toàn phần thực hiện được trong một giây – đơn vị Héc (Hz)
2. Tần số góc:

V. Đồ thị của dao động điều hòa:
Đồ thị biểu diễn sự phụ thuộc của x vào t là một đường hình sin.
VI. Liên hệ giữa dao động điều hòa và chuyển động tròn đều:
Một điểm dao động điều hòa trên một đoạn thẳng có thể coi là hình chiếu của một điểm tương ứng chuển động tròn đều lên đường kính là đoạn thẳng đó.
VII. Độ lệch pha của x, v, a:

Các dạng bài tập:
1. Dao động có phương trình đặc biệt:
* x = a ± Acos(ωt + ϕ) với a = const
Biên độ là A, tần số góc là ω, pha ban đầu ϕ
x là toạ độ, x0 = Acos(ωt + ϕ) là li độ.
Toạ độ vị trí cân bằng x = a, toạ độ vị trí biên x = a ± A
Vận tốc v = x' = x0', gia tốc a = v' = x" = x0"
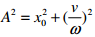
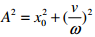
Hệ thức độc lập: a = -ω2x0
![]()
* x = a ± Acos2(ωt + ϕ) (ta hạ bậc)
Biên độ A/2; tần số góc 2ω, pha ban đầu 2ϕ.
* Chuyển đổi công thức:
-cosα = cos(α- π)= cos(α +π)
sin α = cos(α-π/2)
- sin α = cos(α+π/2)
2. Chiều dài quỹ đạo: 2A
3. Quãng đường đi trong 1 chu kỳ luôn là 4A; trong 1/2 chu kỳ luôn là 2A
Quãng đường đi trong l/4 chu kỳ là A khi vật đi từ VTCB đến vị trí biên hoặc ngược lại
Download file tài liệu để xem thêm chi tiết