Lý thuyết Khoa học tự nhiên 9 Cánh diều bài 25
Chúng tôi xin giới thiệu bài Lý thuyết Khoa học tự nhiên 9 bài 25: Lipid và chất béo sách Cánh diều hay nhất, ngắn gọn sẽ giúp học sinh lớp 9 nắm vững kiến thức trọng tâm, ôn luyện để học tốt môn KHTN 9.
Bài: Lipid và chất béo
I. Lipid
- Lipid là những hợp chất hữu cơ có trong tế bào sống, không tan trong nước nhưng tan trong một số dung môi hữu cơ như xăng, dầu hoả, benzene (C6H6),…
- Lipid gồm chất béo (dầu, mỡ), sáp,…
- Lipid có nhiều vai trò quan trọng về mặt sinh học như: tham gia vào cấu tạo tế bào và là thành phần chính của màng tế bào. Chất béo được tích luỹ trong các mô mỡ làm nguồn dự trữ năng lượng quan trọng của cơ thể.
II. Chất béo
1. Trạng thái tự nhiên và tính chất vật lí
- Chất béo là thành phần chính của dầu, mỡ trong thực vật, động vật. Dầu thường có nhiều ở hạt, củ, quả như lạc, dừa, ô liu,… Mỡ chủ yếu tập trung tại các mô mỡ trong cơ thể động vật.

- Trong điều kiện thường, chất béo ở trạng thái lỏng (dầu) hoặc rắn (mỡ). Chất béo nhẹ hơn nước; không tan trong nước; tan trong xăng, dầu hỏa, benzene,…
2. Cấu tạo của chất béo
- Chất béo là triester của glycerol với acid béo:
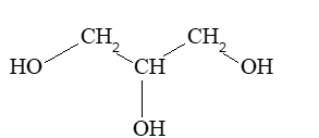
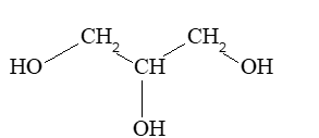
+ Glycerol có công thức cấu tạo:

Công thức cấu tạo thu gọn: C3H5(OH)3
+ Acid béo thường có mạch không nhánh, có công thức chung là R – COOH, trong đó R có thể là: C17H35-, C17H33-, C15H31-,…
- Công thức tổng quát của chất béo được biểu diễn như sau: (RCOO)3C3H5.
Ví dụ: (C17H35COO)3C3H5, (C17H33COO)3C3H5,…
3. Tính chất hóa học
- Khi đun nóng chất béo với dung dịch kiềm NaOH, KOH,…, chất béo sẽ chuyển hoá dần thành glycerol và muối của acid béo theo phương trình hoá học:
(RCOO)3C3H5 + 3NaOH
\(\overset{to}{\rightarrow}\) 3RCOONa + C3H5(OH)3
Phản ứng trên được sử dụng trong quá trình sản xuất xà phòng nên được gọi là là phản ứng xà phòng hoá.
Hỗn hợp muối sodium của các acid béo thu được dùng để sản xuất xà phòng.
4. Ứng dụng của chất béo
- Chất béo là nguồn dinh dưỡng quan trọng của người và động vật.
+ Chất béo tích luỹ trong các mô mỡ là nguồn dự trữ năng lượng lâu dài cho cơ thể.
+ Với cùng một khối lượng, chất béo cung cấp năng lượng cho cơ thể nhiều hơn so với chất bột hay chất đạm.
- Trong công nghiệp, chất béo chủ yếu được sử dụng để điều chế glycerol, xà phòng và các loại sữa tắm.
5. Sử dụng chất béo một cách hợp lí để có lợi cho sức khoẻ
- Chất béo là thành phần cơ bản trong khẩu phần ăn hằng ngày của con người, nếu ăn không đủ lượng chất béo cần thiết sẽ ảnh hưởng đến sự phát triển của cơ thể. Tuy nhiên, nếu ăn chất béo quá mức cần thiết có thể dẫn đến các bệnh béo phì, tim mạch, huyết áp, tiểu đường,…
- Để có lợi cho sức khoẻ, cần sử dụng chất béo một cách hợp lí:
+ Đảm bảo lượng chất béo cần thiết trong khẩu phần ăn hằng ngày phù hợp với lứa tuổi, giới tính và đặc thù nghề nghiệp.
+ Đảm bảo cân đối giữa tỉ lệ chất béo có nguồn gốc động vật và chất béo có nguồn gốc thực vật. Trong chất béo động vật có các thành phần cần thiết cho sự phát triển của cơ thể, vì vậy, trẻ em cần tỉ lệ chất béo động vật cao hơn so với người trưởng thành.
>>>> Bài tiếp theo: Lý thuyết Khoa học tự nhiên 9 Cánh diều bài 26