Lý thuyết Khoa học tự nhiên 9 Cánh diều bài 6
VnDoc xin giới thiệu bài Lý thuyết Khoa học tự nhiên 9 bài 6: Sự tạo ảnh qua thấu kính - Kính lúp sách Cánh diều hay nhất, ngắn gọn sẽ giúp học sinh lớp 9 nắm vững kiến thức trọng tâm, ôn luyện để học tốt môn KHTN 9.
Bài: Sự tạo ảnh qua thấu kính - Kính lúp
I. Ảnh của một vật tạo bởi thấu kính
1. Ảnh tạo bởi thấu kính
|
Gương phẳng |
Thấu kính |
|
Khi đặt vật trước gương phẳng, các tia sáng từ vật đến gương sẽ bị phản xạ trở lại. Ta nhìn thấy ảnh của vật khi các tia phản xạ đi tới mắt ta.
|
Khi đặt vật trước thấu kính, các tia sáng từ vật đến thấu kính cho các tia ló giao nhau hoặc có đường kéo dài giao nhau tạo nên ảnh của vật qua thấu kính. Ta có thể nhìn ảnh của vật khi các tia ló đi tới mắt ta.
|
2. Cách vẽ ảnh
|
Vẽ ảnh của điểm sáng S (vật sáng nhỏ) nằm ngoài trục chính |
Vẽ ảnh của vật sáng AB |
|
- Bước 1: Từ điểm sáng S, ta vẽ hai tia tới thấu kính là tia tới đi qua quang tâm và tia tới song song với trục chính của thấu kính. - Bước 2: Vẽ hai tia ló tương ứng. - Bước 3: Xác định điểm cắt nhau (hoặc kéo dài cắt nhau) S’ của hai tia ló. S’ là ảnh của S qua thấu kính. + Nếu các tia ló cắt nhau tại S’ thì S’ là ảnh thật của S. + Nếu các tia ló có đường kéo dài cắt nhau tại S’ thì S’ là ảnh ảo của S.
|
- Bước 1: Vì điểm A nằm trên trục chính nên ảnh A’ của điểm A cũng nằm trên trục chính. - Bước 2: Vẽ ảnh B’ của điểm B. - Bước 3: Từ B’ hạ đường vuông góc xuống trục chính, cắt trục chính tại A’ ta được ảnh A’B’ của vật sáng AB. + Ảnh A’B’ là ảnh thật biểu diễn bằng nét liền. + Ảnh A’B’ là ảnh ảo biểu diễn bằng nét đứt.
|
- Tính chất ảnh của vật qua thấu kính:
|
Vật nhỏ đặt trước thấu kính |
Tính chất ảnh |
|
|
Thấu kính hội tụ |
Khoảng cách từ vật đến thấu kính lớn hơn tiêu cự |
Ảnh thật, ngược chiều với vật. Ảnh có thể lớn hơn, nhỏ hơn hoặc bằng vật. |
|
Khoảng cách từ vật đến thấu kính nhỏ hơn tiêu cự |
Ảnh ảo, cùng chiều với vật. Ảnh lớn hơn vật. |
|
|
Thấu kính phân kì |
Với mọi vị trí đặt vật |
Ảnh ảo, cùng chiều với vật. Ảnh nhỏ hơn vật. |
Chú ý: Ảnh thật là ảnh hứng được trên màn chắn, ảnh ảo là ảnh không hứng được trên màn chắn.
II. Vị trí và kích thước của ảnh qua thấu kính hội tụ
Để xác định vị trí và kích thước của ảnh qua thấu kính, ta có thể thực hiện theo các bước sau:
- Trường hợp: Vật thật qua thấu kính hội tụ cho ảnh thật
|
Các bước giải |
Ví dụ |
|
Bước 1. Tóm tắt đề bài, ghi các kích thước đã cho. |
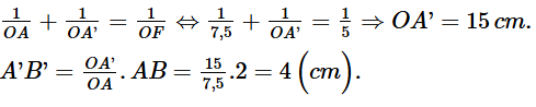
Một vật sáng AB cao 2 cm đặt vuông góc với trục chính của thấu kính hội tụ, cách thấu kính 7,5 cm. Thấu kính có tiêu cự 5 cm. Xác định vị trí và chiều cao của ảnh. |
|
OA = 7,5 cm, OF = 5 cm, AB = 2 cm. Tìm OA’ và A’B’ |
|
|
Bước 2. Vẽ ảnh của vật qua thấu kính. (Các khoảng cách và chiều cao vật cần vẽ theo tỉ lệ thích hợp). |
![]() |
|
Bước 3. Dựa theo hai cặp tam giác đồng dạng thiết lập các tỉ số. |
|
|
Bước 4. Giải các phương trình thu được |
Từ (1), (2) và (3) ta có:
|
- Trường hợp: Vật thật qua thấu kính hội tụ cho ảnh ảo
|
Các bước giải |
Ví dụ |
|
Bước 1. Tóm tắt đề bài, ghi các kích thước đã cho. |
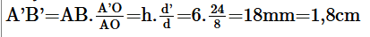
Đặt vật AB trước một thấu kính hội tụ có tiêu cự f = 12cm. Vật AB cách thấu kính 1 khoảng d = 8 cm, A nằm trên trục chính. Tính khoảng cách từ ảnh đến thấu kính và chiều cao của ảnh khi vật có chiều cao h = 6mm. |
|
f = 12cm; d = 8 cm; h = 6mm. d’ = ? |
|
|
Bước 2. Vẽ ảnh của vật qua thấu kính |
![]() |
|
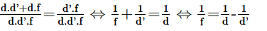
Bước 3: Dựa theo hai cặp tam giác đồng dạng thiết lập các tỉ số. |
Xét hai cặp tam giác đồng dạng:
⇔ dd' + df = d'f (2) Chia cả hai vế của (2) cho tích d.d’.f ta được:
(đây được gọi là công thức thấu kính cho trường hợp ảnh ảo) |
|
Bước 4. Giải các phương trình thu được |
Thay d = 8cm, f = 12cm ta tính được: OA’ = d’ = 24cm Thay vào (*) ta được:
|
III. Thí nghiệm thực hành đo tiêu cự của thấu kính hội tụ
Phương pháp Silbermann

Áp dụng trường hợp thấu kính hội tụ cho ảnh thật, khi vật AB được đặt cách thấu kính một khoảng d = 2f thì cho ảnh A’B’ ngược chiều, có độ cao bằng vật và cách thấu kính một khoảng d’ = 2f. Biết khoảng cách AA’, xác định được tiêu cự
\(f=\frac{AA'}{4}.\)
IV. Kính lúp
1. Đặc điểm của kính lúp
Kính lúp là một thấu kính hội tụ có tiêu cự ngắn (thường nhỏ hơn 25 cm) có vành kính gắn với tay cầm hoặc chân đế, có tác dụng hỗ trợ mắt để quan sát các vật nhỏ.
Mỗi kính lúp có các thông số khác nhau được ghi trên kính: 2x, 3x, … Thông số này cho biết khả năng phóng to ảnh của vật qua kính lúp. Vì vậy, khi sử dụng cần phải chọn loại kính lúp phù hợp.

2. Sử dụng kính lúp
Để quan sát các vật nhỏ qua kính lúp, ta phải đặt vật sao cho khoảng cách từ vật đến kính lúp nhỏ hơn tiêu cự của kính để tạo ra ảnh ảo, cùng chiều và có kích thước lớn hơn vật. Khi đó, cần đặt mắt đón chùm tia ló qua kính và điều chỉnh vị trí đặt mắt và kính lúp cho phù hợp.

>>>> Bài tiếp theo: Lý thuyết Khoa học tự nhiên 9 Cánh diều bài 7








