Sin 4x Cos 4x
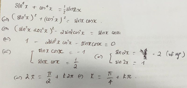
Giải phương trình sin4x + cos4x = 1/2sin2x
VnDoc.com xin gửi tới bạn đọc bài viết Giải phương trình lượng giác sin4x + cos4x = 1/2sin2x để bạn đọc cùng tham khảo. Qua bài viết bạn đọc có thể giải được phương trình lượng giác một cách nhanh và dễ hiểu nhất. Mời các bạn cùng tham khảo chi tiết tại đây nhé.
- Bài tập trắc nghiệm hàm số lượng giác và phương trình lượng giác
- Bài tập phương trình lượng giác (Có đáp án)
sin4x + cos4x = 1/2sin2x

Trên đây VnDoc.com vừa giới thiệu tới các bạn Sin 4x Cos 4x. Mong rằng qua bài viết này các bạn có thể học tập tốt hơn môn Toán lớp 11. Mời các bạn cùng tham khảo thêm các môn Ngữ văn 11, Tiếng Anh 11, đề thi học kì 1 lớp 11, đề thi học kì 2 lớp 11...
Mời bạn đọc cùng tham gia nhóm Tài liệu học tập lớp 11 để có thêm tài liệu học tập nhé