1
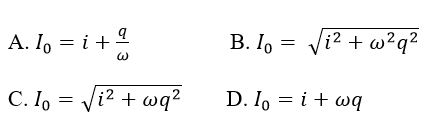
Trong mạch dao động điện từ lí tưởng với tần số góc ω. Khi điện tích tức thời của tụ điện là q thì dòng điện tức thời trong mạch là i. Cường độ dòng điện trong mạch dao động với biên độ là

Câu hỏi trắc nghiệm Vật lý 12 bài 20 là tài liệu tham khảo nhằm ôn luyện lại kiến thức môn Lý 12 được học trên lớp, đồng thời mở rộng vốn hiểu biết của bản thân thông qua các dạng bài tập Vật lý khác nhau cũng như kiến thức nâng cao.
Đang tải...
Theo Nghị định 147/2024/ND-CP, bạn cần xác thực tài khoản trước khi sử dụng tính năng này. Chúng tôi sẽ gửi mã xác thực qua SMS hoặc Zalo tới số điện thoại mà bạn nhập dưới đây: