Toán lớp 3 trang 53, 54 Phép chia hết và phép chia có dư Chân trời sáng tạo
Phép chia hết và phép chia có dư trang 53, 54 Chân trời sáng tạo
Toán lớp 3 trang 53, 54 Phép chia hết và phép chia có dư Chân trời sáng tạo gồm hướng dẫn giải và đáp án chi tiết cho từng câu hỏi trong sách giáo khoa Toán lớp 3 Chân trời. Lời giải Toán lớp 3 này giúp các em học sinh ôn tập, rèn luyện kỹ năng giải bài tập toán 3. Mời các bạn cùng tham khảo sau đây.
Toán lớp 3 Tập 1 trang 53 Thực hành
Bài 1 trang 53 Toán lớp 3 tập 1 Chân trời sáng tạo
Viết phép chia theo nhóm 4 (theo mẫu).

Hướng dẫn:
Bước 1: Đếm số chấm tròn trong mỗi hình để xác định số bị chia.
Bước 2: Đặt tính và thực hiện chia theo thứ tự từ trái sang phải
Lời giải:

Toán lớp 3 Tập 1 trang 54 Luyện tập
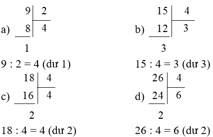
Bài 1 trang 54 Toán lớp 3 tập 1 Chân trời sáng tạo
Tính (theo mẫu).

Hướng dẫn:
Thực hiện phép chia theo thứ tự từ trái sang phải.
Lời giải:

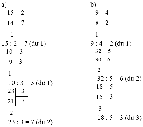
Bài 2 trang 54 Toán lớp 3 tập 1 Chân trời sáng tạo
Tính (theo mẫu).

|
a) 15 : 2 |
b) 9 : 4 |
|
10 : 3 |
32 : 5 |
|
23 : 3 |
18 : 5 |
Hướng dẫn:
Thực hiện phép chia theo thứ tự từ trái sang phải.
Lời giải:

Bài 3 trang 54 Toán lớp 3 tập 1 Chân trời sáng tạo
Số?
|
Số cái bánh để xếp vào hộp |
Số bánh mỗi hộp |
Số hộp bánh |
Số bánh còn dư |
|
19 |
2 |
9 |
1 |
|
19 |
5 |
.?. |
.?. |
|
19 |
4 |
.?. |
.?. |
Hướng dẫn:
- Muốn tìm số hộp bánh ta lấy số cái bánh để xếp vào hộp chia cho số bánh mỗi hộp.
- Thương của phép chia chính là số hộp bánh.
- Số dư chính là số bánh còn dư.
Lời giải:
Em thực hiện phép tính chia:
19 : 2 = 9 (dư 1)
19 : 5 = 3 (dư 4)
19 : 4 = 4 (dư 3)
|
Số cái bánh để xếp vào hộp |
Số bánh mỗi hộp |
Số hộp bánh |
Số bánh còn dư |
|
19 |
2 |
9 |
1 |
|
19 |
5 |
3 |
4 |
|
19 |
4 |
4 |
3 |
Toán lớp 3 Tập 1 trang 54 Vui học
Cáo nhận nhiệm vụ chia đều 18 cái kẹo thành 3 phần.
Cáo chia cho hai chú gấu mỗi chú 5 cái kẹo, phần kẹo còn lại là của cáo. Em có đồng ý với cách chia này không? Tại sao?
Lời giải:
Em không đồng ý với cách chia này vì khi cáo chia cho 2 chú gấu mỗi chú năm cái kẹo thì trong tay cáo còn 8 cái kẹo. Như vậy cáo sẽ ăn nhiều hơn 2 chú gấu 3 cái kẹo và không thực hiện đúng nhiệm vụ.
Chia đều 18 cái kẹo thành 3 phần, mỗi phần là 6 cái kẹo.
Toán lớp 3 Tập 1 trang 54 Thử thách
Các con bọ rùa màu vàng và màu đỏ có cách chọn khác nhau để đậu vào các lá cây. Tiếp theo, chiếc lá nào sẽ có cả bọ rùa màu vàng và bọ rùa màu đỏ cùng đậu?

Hướng dẫn:
- Bọ rùa màu vàng chọn lá số 3, 6, 9, 12.
- Bọ rùa màu đỏ chọn lá số 4, 8, 12, 16.
Từ đó tìm số lá sẽ có cả bọ rùa màu vàng và bọ màu đỏ cùng đậu.
Lời giải:
Bọ rùa màu vàng chọn lá số 3, 6, 9, 12, 15, 18, 21, 24… như vậy số lá sau bằng số lá trước cộng với 3 đơn vị
Bọ rùa màu đỏ chọn lá số 4, 8, 12, 16, 20, 24… như vậy số lá sau bằng số lá trước cộng thêm 4 đơn vị
Như vậy số lá tiếp theo có cả bọ rùa màu vàng và màu đỏ đậu là số 24.
Ngoài Toán lớp 3 trang 53, 54 Phép chia hết và phép chia có dư Chân trời sáng tạo trên, các bạn có thể tham khảo thêm Bài tập cuối tuần lớp 3 môn Toán Chân trời và Trắc nghiệm Toán lớp 3 từng bài và các tài liệu giảng dạy, học tập khác.