Toán lớp 3 trang 64 Bảng nhân 8 Chân trời sáng tạo
Bảng nhân 8 trang 64 Chân trời sáng tạo
Giải Toán lớp 3 trang 64: Bảng nhân 8 sách Chân trời sáng tạo gồm hướng dẫn giải và đáp án chi tiết cho từng câu hỏi trong sách giáo khoa Toán lớp 3 Chân trời. Lời giải Toán lớp 3 này giúp các em học sinh ôn tập, rèn luyện kỹ năng giải bài tập toán 3. Mời các bạn cùng tham khảo sau đây.
Toán lớp 3 Tập 1 trang 64 Thực hành
Bài 1 trang 64 Toán lớp 3 tập 1 Chân trời sáng tạo
Số?

Lời giải:
Em được dãy số: 8; 16; 24; 32; 40; 48; 56; 64; 72; 80
Các số điền vào dấu ? theo thứ tự từ trái sang phải lần lượt là: 32; 40; 56; 72
Bài 2 trang 64 Toán lớp 3 tập 1 Chân trời sáng tạo
Đọc phép nhân trong bảng nhân 8 có tích là mỗi số dưới đây:

Lời giải:

Hs tự đọc theo hướng dẫn của GV
Toán lớp 3 Tập 1 trang 64 Luyện tập
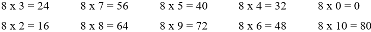
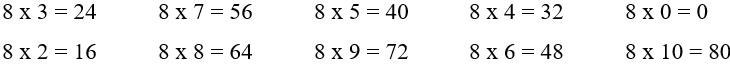
Bài 1 trang 64 Toán lớp 3 tập 1 Chân trời sáng tạo
Tính nhẩm:

Lời giải:

Bài 2 trang 64 Toán lớp 3 tập 1 Chân trời sáng tạo
Mỗi chiếc xe có 18 bánh xe. Hỏi 8 chiếc xe như thế có bao nhiêu bánh xe?
Lời giải:
8 chiếc xe như thế có số bánh xe là:
8 x 18 = 144 (bánh)
Đáp số: 144 bánh xe
Ngoài Toán lớp 3 trang 64 Bảng nhân 8 Chân trời sáng tạo trên, các bạn có thể tham khảo thêm Bài tập cuối tuần lớp 3 môn Toán Chân trời và Trắc nghiệm Toán lớp 3 từng bài và các tài liệu giảng dạy, học tập khác.