Vật lý 11 Bài 2: Thuyết electron. Định luật bảo toàn điện tích
Lý thuyết Vật lý 11 Bài 2
VnDoc.com xin gửi tới bạn đọc bài viết Vật lý 11 Bài 2: Thuyết electron. Định luật bảo toàn điện tích. Mời các bạn cùng tham khảo chi tiết nhé.
I. Thuyết electron
1. Cấu tạo nguyên tử về phương diện điện. Điện tích nguyên tố
+ Cấu tạo nguyên tử:
- Hạt nhân mang điện dương nằm ở trung tâm, gồm: nơtron không mang điện và proton mang điện dương.
- Các electron mang điện âm chuyển động xung quanh hạt nhân.

- Số proton bằng số electron nên độ lớn của điện tích dương của hạt nhân bằng độ lớn điện tích âm của các electron khi đó nguyên tử trung hòa về điện.
+ Điện tích của electron và proton là điện tích nhỏ nhất mà ta có thể có được nên ta gọi chúng là điện tích nguyên tố (âm hoặc dương).
Điện tích của electron: - e = - 1,6.10-19 C
Điện tích của proton: + e = 1,6.10-19 C
2. Thuyết electron
Thuyết dựa vào sự cư trú và di chuyển của các electron để giải thích các hiện tượng điện và các tính chất điện của các vật gọi là thuyết electron. Nội dung thuyết electron:
- Electron có thể rời khỏi nguyên tử để di chuyển từ nơi này đến nơi khác. Nguyên tử bị mất electron sẽ trở thành một hạt mang điện dương gọi là ion dương.
Ví dụ: nguyên tử Fe mất đi 2 electron sẽ trở thành Fe2+.
- Một nguyên tử trung hòa có thể nhận thêm electron để trở thành một hạt mang điện âm gọi là ion âm.
Ví dụ: nguyên tử Clo nhận thêm một electron sẽ trở thành Cl-.
- Vật nhiễm điện âm nếu: số electron > số proton
- Vật nhiễm điện dương nếu: số electron < số proton
II. Vận dụng
1. Vật (chất) dẫn điện và vật (chất) cách điện
+ Vật (chất) dẫn điện là vật (chất) có chứa nhiều điện tích tự do.
Ví dụ: kim loại có chứa nhiều electron tự do, các dung dịch axit, bazo và muối có chứa nhiều ion tự do.


+ Vật (chất) cách điện là vật (chất) không chứa hoặc chứa rất ít điện tích tự do.
Ví dụ: không khí khô, dầu, thủy tinh, sứ, cao su,…

2. Sự nhiễm điện do tiếp xúc
+ Nếu cho một vật chưa nhiễm điện tiếp xúc với một vật nhiễm điện thì nó sẽ bị nhiễm điện cùng dấu với vật đó. Đó là sự nhiễm điện do tiếp xúc.

Hai vật nhiễm điện do tiếp xúc
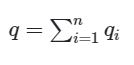
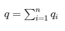
+ Nếu cho hai quả cầu kim loại đã tích điện tiếp xúc với nhau và đo chính xác các điện tích, và ta sẽ thấy tổng điện tích của hai quả cầu sau khi tiếp xúc bằng tổng đại số điện tích của hai quả cầu trước khi tiếp xúc.

3. Sự nhiễm điện do hưởng ứng
Đưa quả cầu A nhiễm điện dương lại gần đầu M của thanh kim loại MN. Khi đó quả cầu A sẽ hút các electron dịch chuyển về đầu M dẫn đến đầu M nhiễm điện âm, đầu N nhiễm điện dương. Sự nhiễm điện trong thanh MN gọi là nhiễm điện do hưởng ứng.

III. Định luật bảo toàn điện tích
Trong một hệ vật cô lập về điện, tổng đại số của các điện tích là không đổi.
Hệ vật cô lập về điện là hệ vật không có trao đổi điện tích với các vật khác ngoài hệ.
Trên đây VnDoc.com vừa gửi tới bạn đọc bài viết Vật lý 11 Bài 2: Thuyết electron. Định luật bảo toàn điện tích. Mong rằng qua bài viết này bạn đọc có thêm tài liệu để học tập tốt hơn môn Vật lý lớp 11 nhé. Mời các bạn cùng tham khảo thêm tại mục Lý thuyết Vật lý 11...