Bộ đề thi giữa học kì 1 lớp 5 năm 2018 - 2019 theo Thông tư 22
Bộ đề thi giữa học kì 1 lớp 5 năm học 2018 - 2019 theo Thông tư 22 được VnDoc sưu tầm, tổng hợp 2 môn Toán - Tiếng Việt có đáp án và bảng ma trận đề thi giữa học kì 1 theo Thông tư 22 kèm theo giúp các em ôn tập, hệ thống, củng cố kiến thức chuẩn bị tốt cho các bài thi giữa học kì 1. Đồng thời đây cũng là tài liệu tham khảo hữu ích cho các thầy cô khi ra đề thi học kì cho các em học sinh. Sau đây mời thầy cô cùng các bạn học sinh tham khảo và tải về trọn bộ đề thi.
Đề thi giữa kì 1 lớp 5
- Đề thi giữa học kì 1 lớp 5 năm 2020
- Đề bài: Đề thi giữa học kì 1 môn Toán lớp 5 năm 2019
- Đáp án: Đề thi giữa học kì 1 môn Toán lớp 5 năm 2019
- Đề thi giữa học kì 1 lớp 5 năm 2019
- Đề bài: Đề thi giữa học kì 1 môn Toán lớp 5 theo TT 22
- Đáp án: Đề thi giữa học kì 1 môn Toán lớp 5
- Bảng ma trận đề thi giữa học kì 1 môn Toán lớp 5
- Đề bài: Đề thi giữa học kì 1 môn Tiếng Việt lớp 5
- Đáp án và hướng dẫn chấm đề thi giữa học kì 1 môn Tiếng Việt lớp 5
Đề thi giữa học kì 1 lớp 5 năm 2020
- Đề thi giữa học kì 1 các lớp Tiểu học năm 2020 - 2021
- Bộ đề thi giữa học kì 1 lớp 5 năm 2020 - 2021
- Đề thi giữa kì 1 lớp 5 môn Toán năm 2020 - 2021
- Đề thi giữa kì 1 lớp 5 môn Toán năm 2020 - 2021 - Đề 1
- Đề thi giữa kì 1 lớp 5 môn Toán năm 2020 - 2021 - Đề 2
- Đề thi giữa kì 1 lớp 5 môn Tiếng Việt năm 2020 - 2021
- Đề thi giữa kì 1 lớp 5 môn Tiếng Việt năm 2020 - 2021 - Đề 1
- Đề thi giữa kì 1 lớp 5 môn Tiếng Việt năm 2020 - 2021 - Đề 2
Đề bài: Đề thi giữa học kì 1 môn Toán lớp 5 năm 2019
Câu 1. (1 điểm) Viết các số sau: (BT2; toán 5; tr 43- Mức 1)
a) Hai mươi bốn đơn vị, một phần mười, tám phần trăm:
........................................................................................................................................................
b) Bảy chục, hai đơn vị, năm phần mười, bốn phần trăm:
........................................................................................................................................................
Câu 2.(2 điểm) Khoanh vào chữ cái đặt trước kết quả đúng :
a) Phân số
\(\frac{1954}{100}\)viết thành số thập phân là: (BT2; toán 5; tr 39- Mức 1)
A. 1,954
B. 19,54
C. 195,4
D. 0,1954
b) Một cửa hàng trong ba ngày bán được 1 tấn đường. Ngày đầu bán được 300kg. Ngày thứ hai bán được gấp 2 lần ngày đầu. Hỏi ngày thứ ba cửa hàng bán được bao nhiêu ki-lô-gam đường? (BT4; toán 5; tr 24- Mức 1)
A. 100kg
B. 200kg
C. 300kg
D. 400kg
Câu 3.(1 điểm) Viết số thích hợp vào chỗ chấm: (BT2; toán 5; tr 28- Mức 2)
56dm2 = .................... m
17dm2 23cm2 = .................. dm
Câu 4.(1 điểm) Điền kết quả vào chỗ chấm: (BT1; toán 5; tr 22- Mức 3)
Biết 2/5 chiều dài một mảnh đất hình chữ nhật là 10m, chiều dài hơn chiều rộng 7m. Diện tích hình chữ nhật đó là :
Đáp số : …………………………………………………….
PHẦN II. TRÌNH BÀY BÀI GIẢI CÁC BÀI TOÁN SAU
Câu 5. (1 điểm) Tính: (BT1; toán 5; tr 16- Mức 1)

Câu 6. (1 điểm) Tính bằng cách thuận tiện nhất: (BT1; toán 5; tr 15- Mức 3)

Câu 7. (1 điểm) Tìm x . (BT2; toán 5; tr 32- Mức 4)

Câu 8. (2 điểm) (BT4- Toán 5; tr 20 – Mức 2)
Một đội trồng rừng trung bình cứ 3 ngày trồng được 1200 cây thông. Hỏi trong 12 ngày đội đó trồng được bao nhiêu cây thông?
Đáp án: Đề thi giữa học kì 1 môn Toán lớp 5 năm 2019
PHẦN I: Trắc nghiệm (5 điểm)
|
Câu 1. (1 điểm) Điền đúng mỗi phần a) 24,18 b) 72,54 . |
0,5 điểm
|
|
Câu 2. (2 điểm) a) ý B b) A |
1,0 điểm
|
|
Câu 3. (1 điểm) Điền đúng mỗi phần 56dm2 = 0,56 m2 17dm2 23cm2 = 17,23 dm2 |
0,5 điểm
|
|
Câu 4. (1 điểm) Điền 450m2 |
1,0 điểm
|
PHẦN II. TRÌNH BÀY BÀI GIẢI CÁC BÀI TOÁN SAU
Câu 5. (1 điểm)

Câu 6.

Câu 7.

Câu 8. (2 điểm)
|
Một ngày, đội trồng rừng trồng được số cây thông là: 1200 : 3 = 4000 (cây) Trong 12 ngày, đội trồng rừng đó trồng được số cây là: 4000 x 12 = 48 000 (cây) Đáp số: 48000 cây thông
|
0.25 điểm 0,5 điểm 0,25 điểm
0,5 điểm 0,5 điểm |
* Lưu ý chung: Điểm toàn bài bằng điểm của tất cả các câu cộng lại. Điểm toàn bài là một số nguyên; cách làm tròn như sau:
VD:
Điểm toàn bài là 6,25 thì cho 6
Điểm toàn bài là 6,75 thì cho 7.
Điểm toàn bài là 6,50: cho 6 nếu bài làm chữ viết xấu, trình bày bẩn; cho 7,0 nếu bài làm chữ viết đẹp, trình bày sạch sẽ khoa học.
Đề thi giữa học kì 1 lớp 5 năm 2019
- Bộ đề thi giữa học kì 1 lớp 5 năm 2019 - 2020 theo Thông tư 22
- Đề thi giữa học kì 1 môn Toán lớp 5 năm 2019 - 2020
- Đề thi giữa học kì 1 môn Toán lớp 5 theo Thông tư 22 năm 2019 - 2020
- Bộ đề thi giữa học kì 1 môn Toán lớp 5 năm 2019 - 2020
- Bộ đề thi giữa học kì 1 môn Tiếng Việt lớp 5 năm 2019 - 2020
- Đề thi giữa học kì 1 môn Tiếng Việt lớp 5 năm 2019 - 2020
- Đề thi giữa học kì 1 môn Tiếng Việt lớp 5 năm 2019 - 2020 - Đề 2
- Đề thi giữa học kì 1 môn Tiếng Việt lớp 5 theo Thông tư 22 năm 2019 - 2020
Đề bài: Đề thi giữa học kì 1 môn Toán lớp 5 theo TT 22
Em hãy khoanh vào chữ cái trước ý đúng:
Bài 1: Sáu mươi bốn đơn vị, một phần mười, tám phần trăm được viết là?: (0,5 điểm)
A. 64,18
B. 64,108
C. 6,018
D. 64,0108
Bài 2: Phân số
\(\frac{35}{100}\)viết dưới dạng số thập phân là: (0,5 điểm)
A. 0,035
B. 0,35
C. 3,05
D. 3,5
Bài 3: Phần nguyên của số 632,54 là :(0,5điểm)
A. 54
B. 63254
C. 632
D. 632,54
Bài 4: Chữ số 5 trong số thập phân 487,54 có giá trị là? (0,5 điểm)
A. Phần mười
B. Phần trăm
C. Phần triệu
D. Phần nghìn
Bài 5: 7cm22mm2 = ..............cm2 số thích hợp viết vào chỗ chấm là: (0,5 điểm)
A. 7,2
B. 720
C. 7,02
D. 7200
Bài 6: Phân số thập phân là: (0,5 điểm)
A.
\(\frac{27}{10}\)
B.
\(\frac{27}{200}\)
C.
\(\frac{35}{20}\)
D.
\(\frac{27}{50}\)
Bài 7: Điền dấu < ; > ; =; thích hợp vào chỗ chấm: (1 điểm)

Câu 8 (2 điểm): Tính:
a.
\(\frac{3}{5}+\frac{1}{6}\)
b.
\(\frac{7}{9}-\frac{5}{9}\)
c.
\(\frac{4}{5}\times\frac{1}{8}\)
d.
\(\frac{1}{5}:\frac{4}{5}\)
Bài 9: Viết số thích hợp vào chỗ chấm: (1 điểm)
a) 1,5 tấn = ……………kg
b) 5000m2 = ………. ha
Bài 10: Viết các số thập phân sau theo thứ tự từ bé đến lớn: (1 điểm)
34,075; 34,257; 37,303; 34,175
Bài 11: Một đội trồng rừng trung bình cứ 6 ngày trồng được 1800 cây thông. Hỏi trong 12 ngày đội đó trồng được bao nhiêu cây thông? (2 điểm)
Đáp án: Đề thi giữa học kì 1 môn Toán lớp 5
|
Bài |
1 |
2 |
3 |
4 |
5 |
6 |
|
Khoanh đúng |
A |
B |
C |
A |
C |
A |
|
Điểm |
0,5 điểm |
0,5 điểm |
0,5 điểm |
0,5 điểm |
0,5 điểm |
0,5 điểm |
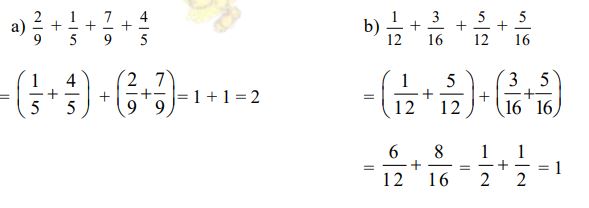
Bài 7
![]()
Bài 8

Bài 9: Viết số thích hợp vào chỗ chấm: (1 điểm)
a) 1,5 tấn = 1500 kg
b) 5000m2 = 0,5ha
Bài 10: Viết các số thập phân sau theo thứ tự từ bé đến lớn: (1 điểm)
34,075; 34,175; 34,257; 37,303;
Bài 11: Một đội trồng rừng trung bình cứ 4 ngày trồng được 1800 cây thông. Hỏi trong 12 ngày đội đó trồng được bao nhiêu cây thông?(2 điểm)
Bài giải
12 ngày gấp 6 ngày số lần là: (0,25đ)
12 : 6 = 2 (lần) (0,5đ)
Số cây thông đội đó trồng được trong 12 ngày là: (0,25đ)
1800 x 2 = 3600 (cây) (0,5đ)
Đáp số: 3600 cây thông. (0,5 đ)
(Lưu ý: Học sinh làm cách rút về đơn vị vẫn đúng.)
Trung bình một ngày đội đó trồng được là: (0,2 5đ)
1800 : 6 = 300 (cây) (0, 5đ)
Số cây thông đội đó trồng được trong 12 ngày là:(0,25đ)
300 x 12 = 3600 (cây) (0,5đ)
Đáp số: 3600 cây thông. (0,5 đ)
Bảng ma trận đề thi giữa học kì 1 môn Toán lớp 5
|
Mạch kiến thức, kĩ năng |
Số câu và số điểm |
Mức 1 30% |
Mức 2 30% |
Mức 3 30% |
Mức 4 10% |
Tổng |
|||||
|
TNKQ |
TL |
TNKQ |
TL |
TNKQ |
TL |
TNKQ |
TL |
TNKQ |
TL |
||
|
Số thập phân: viết số thập phân,giá trị theo vị trí của chữ số trong số thập phân ; so sánh số thập phân |
Số câu |
6 |
1 |
6 |
1 |
||||||
|
Số điểm |
3,0 |
1.0 |
3.0 |
1.0 |
|||||||
|
Câu số |
1,2,3,4,5,6 |
10 |
1,2,3,4,5,6 |
10 |
|||||||
|
Đổi đơn vị đo diện tích, đo khối lượng |
Số câu |
1 |
1 |
||||||||
|
Số điểm |
1.0 |
1.0 |
|||||||||
|
Câu số |
9 |
9 |
|||||||||
|
So sánh, phân số, thực hiện phép tính với phân số. |
Số câu |
1 |
1 |
1 |
1 |
||||||
|
Số điểm |
1.0 |
2.0 |
1.0 |
2.0 |
|||||||
|
Câu số |
7 |
8 |
7 |
8 |
|||||||
|
Giải toán bằng cách rút về đơn vị hoặc tìm tỉ số |
Số câu |
1 |
1 |
||||||||
|
Số điểm |
2.0 |
2.0 |
|||||||||
|
Câu số |
11 |
11 |
|||||||||
|
Tổng |
Số câu |
6 |
1 |
1 |
2 |
1 |
8 |
2 |
|||
|
Số điểm |
3,0 |
1,0 |
2,0 |
3,0 |
1.0 |
7.0 |
3.0 |
||||
Đề bài: Đề thi giữa học kì 1 môn Tiếng Việt lớp 5
A. Kiểm tra đọc
ĐỌC THẦM (30 PHÚT)
Học sinh đọc thầm bài: “Bàn tay thân ái” để làm các bài tập sau:
Bàn tay thân ái
Đã gần 12 giờ đêm, cô y tá đưa một anh thanh niên có dáng vẻ mệt mỏi và gương mặt đầy lo lắng đến bên giường của một cụ già bệnh nặng. Cô nhẹ nhàng cúi xuống người bệnh và khẽ khàng gọi: “Cụ ơi, con trai cụ đã về rồi đây!”. Ông lão cố gắng mở mắt, gương mặt già nua, bệnh tật như bừng lên cùng ánh mắt. Rồi ông lại mệt mỏi từ từ nhắm nghiền mắt lại, nhưng những nếp nhăn dường như đã dãn ra, gương mặt ông có vẻ thanh thản, mãn nguyện.
Chàng trai ngồi xuống bên cạnh, nắm chặt bàn tay nhăn nheo của người bệnh. Suốt đêm, anh không hề chợp mắt; anh vừa âu yếm cầm tay ông cụ vừa thì thầm những lời vỗ về, an ủi bên tai ông. Rạng sáng thì ông lão qua đời. Các nhân viên y tế đến làm các thủ tục cần thiết. Cô y tá trực đêm qua cũng trở lại, cô đang chia buồn cùng anh lính trẻ thì anh chợt hỏi:
- Ông cụ ấy là ai vậy, chị?
Cô y tá sửng sốt:
- Tôi tưởng ông cụ là ba anh chứ?
- Không, ông ấy không phải là ba tôi.
– Chàng lính trẻ nhẹ nhàng đáp lại.
– Tôi chưa gặp ông cụ lần nào cả.
- Thế sao anh không nói cho tôi biết lúc tôi đưa anh đến gặp cụ?
- Tôi nghĩ là người ta đã nhầm giữa tôi và con trai cụ khi cấp giấy phép; có thể do tôi và anh ấy trùng tên. Ông cụ đang rất mong gặp con trai mà anh ấy lại không có mặt ở đây. Khi đến bên cụ, tôi thấy ông đã yếu đến nỗi không thể nhận ra tôi không phải là con trai ông. Tôi nghĩ ông cần có ai đó ở bên cạnh nên tôi quyết định ở lại.
(Theo Xti-vơ Gu-đi-ơ)
Khoanh tròn chữ cái trước ý trả lời phù hợp nhất cho từng câu hỏi sau:
Câu 1/ Người mà cô y tá đưa đến bên cạnh ông lão đang bị bệnh rất nặng là:
a. Con trai ông.
b. Một bác sĩ.
c. Một chàng trai là bạn cô.
d. Một anh thanh niên.
Câu 2/ Hình ảnh gương mặt ông lão được tả trong đoạn 1 gợi lên điều là:
a. Ông rất mệt và rất đau buồn vì biết mình sắp chết.
b. Ông cảm thấy khỏe khoắn, hạnh phúc, toại nguyện.
c. Tuy rất mệt nhưng ông cảm thấy hạnh phúc, toại nguyện.
d. Gương mặt ông già nua và nhăn nheo.
Câu 3/ Anh lính trẻ đã suốt đêm ngồi bên ông lão, an ủi ông là vì:
a. Bác sĩ và cô y tá yêu cầu anh như vậy.
b. Anh nghĩ ông đang cần có ai đó ở bên cạnh mình vào lúc ấy.
c. Anh nhầm tưởng đấy là cha mình.
d. Anh muốn thực hiện để làm nghề y.
Câu 4/ Điều đã khiến Cô y tá ngạc nhiên là:
a. Anh lính trẻ đã ngồi bên ông lão, cầm tay ông, an ủi ông suốt đêm.
b. Anh lính trẻ trách cô không đưa anh gặp cha mình.
c. Anh lính trẻ không phải là con của ông lão.
d. Anh lính trẻ đã chăm sóc ông lão như cha của mình.
Câu 5/ Câu chuyện trong bài văn muốn nói em là:
a. Hãy biết đưa bàn tay thân ái giúp đỡ mọi người
b. Cần phải chăm sóc chu đáo người bệnh tật, già yếu.
c. Cần phải biết vui sống, sống chan hòa và hăng say làm việc.
d. Cần phải biết yêu thương người tàn tật.
Câu 6/ Các từ đồng nghĩa với từ hiền (trong câu “Súng gươm vứt bỏ lại hiền như xưa”)
a. Hiền hòa, hiền hậu, lành, hiền lành
b. Hiền lành, nhân nghĩa, nhận đức, thẳng thắn.
c. Hiền hậu, hiền lành, nhân ái, trung thực.
d. Nhân từ, trung thành, nhân hậu, hiền hậu.
Câu 7/ Từ “ăn” trong câu nào dưới đây được dùng với nghĩa gốc:
a. Cả gia đình tôi cùng ăn cơm.
b. Bác Lê lội ruộng nhiều nên bị nước ăn chân.
c. Những chiếc tàu vào cảng ăn than.
d. Mẹ cho xe đạp ăn dầu.
Câu 8/ Từ nào dưới đây là từ trái nghĩa với từ chìm (trong câu Trăng chìm vào đáy nước.)
a. trôi.
b. lặn.
c. nổi
d. chảy
Câu 9/ Những từ in đậm trong dòng nào dưới đây là từ đồng âm?
a. Hoa thơm cỏ ngọt. / Cô ấy có giọng hát rất ngọt.
b. Cánh cò bay lả dập dờn./ Bác thợ hồ đã cầm cái bay mới.
c. Mây mờ che đỉnh trường Sơn./ Tham dự đỉnh cao mơ ước.
d. Trăng đã lên cao / Kết quả học tập cao hơn trước.
Câu 10/ Đặt một câu trong có sử dụng cặp từ trái nghĩa.
B. Kiểm tra viết
I. Chính tả: Nghe viết: 15 phút
Bài viết: “Bài ca về trái đất” (Sách Tiếng Việt 5/ tập1, tr 41)
GV đọc cho HS viết tựa bài ; hai khổ thơ đầu và tên tác giả.
II. Tập làm văn: (40 phút)
Tả ngôi nhà của em (hoặc căn hộ, phòng ở của gia đình em.)
Đáp án và hướng dẫn chấm đề thi giữa học kì 1 môn Tiếng Việt lớp 5
A. Phần đọc
1/ Giáo viên cho học sinh đọc một đoạn trong các bài tập đọc sau:
2/ Giáo viên nêu 1 hoặc 2 câu hỏi về nội dung bài tập đọc để HS trả lời.
Bài 1: Những con sếu bằng giấy
Bài 2: Một chuyên gia máy xúc
Bài 3: Những người bạn tốt
Bài 4: Kì diệu rừng xanh
Bài 5: Cái gì quí nhất
1/- Đọc đúng tiếng, từ: 1 điểm
Đọc sai từ 2-3 tiếng trừ 0,5 điểm.
Đọc sai 4 tiếng trở đi trừ 1 điểm.
2/- Ngắt, nghỉ hơi không đúng từ 2-3 chỗ: trừ 0,5 điểm.
- Ngắt, nghỉ hơi không đúng 4 chỗ trở lên trừ 1 điểm.
3/Giọng đọc chưa thể hiện rõ tính biểu cảm trừ 0,5 điểm.
- Giọng đọc không thể hiện rõ tính biểu cảm trừ 1 điểm.
4/ Đọc nhỏ vượt quá thời gian từ trên 1,5 phút – 2 phút trừ 0,5 diểm.
- Đọc quá 2 phút trừ 1 điểm.
5/ Trả lời chưa đủ ý hoặc diễn đạt chưa rõ ràng trừ 0,5 điểm.
- Trả lời sai hoặc không trả lời được trừ 1 điểm.
Đáp án phần đọc thầm
Câu 1: HS chọn d đạt 0,5 đ
Câu 2: HS chọn c đạt 0,5 đ
Câu 3: HS chọn b đạt 0,5 đ
Câu 4: HS chọn a đạt 0,5 đ .
Câu 5: HS chọn a đạt 0,5 đ
Câu 6: HS chọn a đạt 0,5đ
Câu 7: HS chọn a đạt 0,5 đ
Câu 8: HS chọn c đạt 0,5 đ
Câu 9: Hs chọn b đạt 0,5 đ
Câu 10: Hs đặt câu đúng theo yêu cầu đạt 0,5 đ
Ví dụ: Trong lớp, bạn Nam thì cao còn bạn Hậu lại thấp.
B. Phần viết
I. Chính tả: (5đ)
- Bài viết không sai lỗi chính tả hoặc sai một dấu thanh, chữ viết rõ ràng, trình bày sạch đạt 0,5 đ
- Sai âm đầu, vần. sai qui tắc viết hoa. Thiếu một chữ hoặc một lỗi trừ 0,5 đ
- Sai trên 10 lỗi đạt 0,5đ
- Toàn bài trình bày bẩn, chữ viết xấu. Sai độ cao, khoảng cách trừ 0,5 đ
II. Tập làm văn: (5đ)
A. Yêu cầu:
- Xác định đúng thể loại tả cảnh.
- Nêu được vẻ đẹp khái quát và chi tiết của ngôi nhà.
- Nêu được nét nổi bật của ngôi nhà từ ngoài vào trong.
- Nêu được tình cảm của em đối ngôi nhà.
B. Biểu điểm:
4-5 điểm: Thực hiện các yêu cầu trên, bài viết thể hiện rõ 3 phần. Bố cục chặt chẽ, diễn đạt mạch lạc, dùng từ gợi tả, làm cho người đọc cảm nhận được vẻ đẹp của không gian ngôi nhà. Bài viết không sai lỗi chính tả.
2-3 điểm: Thực hiện đầy đủ các yêu cầu trên, bài viết thể hiện rõ 3 phần nhưng còn liệt kê, lỗi chung không quá 3 lỗi
1 điểm: Lạc đề, bài viết dỡ dang.
Tùy theo mức độ sai sót của học sinh, giáo viên chấm điểm đúng với thực chất bài làm của các em.
Bộ đề thi giữa học kì 1 lớp 5 năm 2018 - 2019 bao gồm đề thi môn Toán và Tiếng Việt chuẩn theo Thông tư 22. Các đề thi có đáp án và bảng ma trận cấu trúc đề thi chi tiết kèm theo. Ngoài ra, các em học sinh hoặc quý phụ huynh còn có thể tham khảo thêm đề thi học kì 1 lớp 5 và đề thi học kì 2 lớp 5 các môn Toán, Tiếng Việt, Tiếng Anh, Khoa, Sử, Địa theo chuẩn thông tư 22 của bộ Giáo Dục. Những đề thi này được VnDoc.com sưu tầm và chọn lọc từ các trường tiểu học trên cả nước nhằm mang lại cho học sinh lớp 5 những đề ôn thi học kì chất lượng nhất. Mời các em cùng quý phụ huynh tải miễn phí đề thi về và ôn luyện.
Tham khảo các đề thi giữa học kì 1 lớp 5
- Bộ đề thi giữa học kì 1 lớp 5 năm 2017 - 2018 theo Thông tư 22
- Đề thi giữa học kì 1 môn Toán lớp 5 theo Thông tư 22 năm 2018 - 2019