Bộ đề thi học kì 2 Vật lí 10 Kết nối tri thức
Thi học kì 2 lớp 10
Lớp:
Lớp 10
Môn:
Vật Lý
Dạng tài liệu:
Đề thi
Bộ sách:
Kết nối tri thức với cuộc sống
Loại:
Bộ tài liệu
Thời gian:
Học kì 2
Loại File:
Word + PDF
Phân loại:
Tài liệu Tính phí

ĐỀ 1
ĐỀ ÔN TẬP KIỂM CUỐI HỌC KÌ II
Môn thi: VẬT LÍ KHỐI 10
Thời gian làm bài: 50 phút không kể thời gian phát đề
PHẦN I. CÂU TRẮC NGHIỆM PHƯƠNG ÁN NHIỀU LỰA CHỌN. Thí sinh tr li t n
câu 18. Mi câu hi thí sinh ch chn m
Câu 1: không phụ thuộc n tc ca vt?
A. gia tc. B. ng. C. . D. ng.
Câu 2: Mt vt chuyu vi chu kì T, tn s vòng mà vc trong mt giây là
f. Chn h thc đúng?
A.
T f.
B.
2
1
T.
f
C.
2
.
f
D.
2
.
T
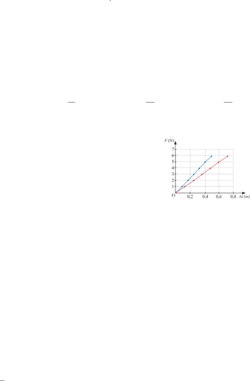
Câu 3: th biu din s ph thu ln l dãn lò xo
l
ca hai lò xo A và lò xo
B cng ca hai lò xo?
A. k
A
> k
B
.
B. k
A
< k
B
.
C. k
A
k
B
. D. k
A
k
B
.
Câu 4: kWh (ki-lô-oát-gi ca
A. công c. B. công sut.
C. hiu sut. D. áp sut cht lng.
Câu 5: Mt vt có khi ng do xut trong khong thi gian 0,5 s. Ly g = 10 m/s
2
bing ca vt trong khong th
A. 10 kg.m/s. B. 5,0 kg.m/s. C. 4,9 kg.m/s. D. 0,5 kg.m/s.
Câu 6: Phát biu nào sasai?
A. ng ca vt trong chuyi.
B. ng là m
C. Xung ca lc là m
D. ng ca vt chuyng thi.
Câu 7: Qu cu A khng m
1
chuyng vi vn tc
1
v
ur
va chm vào qu cu B khng m
2
ng
yên. Sau va chm, c hai qu cu có cùng vn tc
2
v
uur
. H thc liên h ging là
A.
1 1 1 2 2
1
m v m m v .
2
rr
B.
1 1 2 2
m v m v .
rr
C.
1 1 1 2 2
m v m m v .
rr
D.
1 1 2 2
m v m v .
rr
A
B

Câu 8: Trong mi giây, mt tm pin mt tri có th hp th có
th chuyn. Hiu sut ca tm pin này bng
A. 84%. B. 16%. C. 13,8%. D. 86,2%.
Câu 9: Mt vc ném ngang t cao h, trong quá trình vt chuyng thì
A. . B. u gim.
C. i, th m. D. m.
Câu 10: Mt vt khu trên sàn nm ngang bng mt lc 20 N hp v
ngang mt góc 30
0
. Khi vt di chuyn 2 m trên sàn trong thi gian 4 s thì công sut ca lc là
A. 10W B.
53
W. C. 5W D.
10 3
W.
Câu 11: Mt vng lên cao t mt vi t u 8 m/s. Ly g = 10 m/s
2
. Tc
ca vng th
A.
4
2
m/s. B.
42
m/s. C. 4 m/s. D. 2 m/s.
Câu 12: Cho mt lò u trên c i treo mt vt có khng 100 gam thì dãn ra mn
1 cm cho g = 10 m/s
2
cng ca lò xo là
A. 200 N/m. B. 100 N/m. C. 50 N/m. D. 400 N/m.
Câu 13: Newton trên mét vuông (N/m
2
ca
A. cng lò xo. B. áp sut. C. ng. D. c.
Câu 14: Trong thí nghing ca vc và sau va chm không nhất thiết phi có
dng c
A. ng h i gian hin s. B. m khí.
C. t. D. Nhit k.
Câu 15: Khi mi ng cu thang b, trng lc tác d
A. . B. sinh công âm. C. không sinh công. D. sinh công cn.
Câu 16: Hãy sp xc tin hành thí nghim trong bài thc hành tng hp lc theo mt trình t
đúng?
nh lc tng hp theo lí thuyt.
nh lc tng hp ca hai lc F
1
, F
2
bng thí nghim.
c thành phn F
1
, F
2
.
A. 1 2 3. B. 2 3 1. C. 3 2 1. D. 1 3 2.
Câu 17: Momen li vi mt trdng
A. làm vt quay. B. làm vt chuyng tnh tin.
C. làm vt cân bng. D. va làm vt quay va chuyng tnh tin.

Câu 18: nhng vòng mc nâng lên mt bên. Vic làm này nhm mc
A. dàng. B. to lng tâm cho xe chuyng.
C. gii hn vn tc ca xe. D. t.
PHẦN II. CÂU TRẮC NGHIỆM ĐÚNG SAI. Thí sinh tr li t n câu 4. Trong mi ý a), b),
c), d) mi câu, thí sinh chn đúng hoc sai.
Câu 1: Mt vt kh do t cao h so vi mt. B qua sc cn không khí, ly g =
10 m/s
2
. T ngay khi va cht là 20 m/s.
a. Công ca trng l
b. Công sut tc thi ca trng lc ti thm 2 giây bng 200 W.
c. Công ca trng lc lúc vt va cht bng 400 J.
th biu din công sut tc thi ca trng lc theo thi gian là mt nhánh parabol.
Câu 2: Mt qu bóng nh có khc ném vi vn
ti mt bàn cao 1 m so vi
mt sàn (hình v). Chn mc th i B. Ly
2
g 10 m/s
, b qua mi ma
sát.
i A bng 1,8 J.
b. Khi qu m.
i B bng 0,8 J.
d. T ca qu bóng khi nó chm sàn (ti B) bng 6 m/s.
Câu 3: Trong không trung, mi bàng nn bt mt con chim b câu nng
0,65 kg u vi t 7 m/s. Bit t cc khi bc b câu
là 18 m/s.
ng ca vng.
cng là kg.m/s.
ng ca chim b c khi b bt bng 4,0 N.s.
i bàng bc b câu t ca chúng bng 15 m/s.
Câu 4: Mt ô tô có khng 4 tn chuyng qua mt chic cu vng lên có bán kính 50 m vi
t 72 km/h.
Ly g = 10 m/s
2
.
a. Áp lc ca ô tô nén lên cm cao nht là ln nht.
b. Hp lc tác dng lên ô tô là trng lc và phn lng tâm.
c. Gia tng tâm ca ôtô khi qua cu bng 2,5 m/s
2
.
d. Áp lc ca ô tô nén lên cm cao nht (gia cu) bng 8000N.
Bộ đề kiểm tra học kì 2 môn Vật lí 10 Kết nối tri thức
Bộ đề thi học kì 2 Vật lí 10 Kết nối tri thức có đáp án được VnDoc.com tổng hợp và xin gửi tới bạn đọc cùng tham khảo. Bài viết được tổng hợp gồm có 5 mã đề thi. Mỗi đề thi gồm có 18 câu hỏi trắc nghiệm nhiều phương án lựa chọn, 4 câu hỏi trắc nghiệm đúng sai và 6 câu hỏi trả lời ngắn. Thí sinh làm bài trong thời gian 50 phút. Đề có đáp án và lời giải chi tiết kèm theo. Mời các bạn cùng theo dõi chi tiết bài viết dưới đây để có thêm tài liệu ôn thi kì thi học kì 2 lớp 10 sắp tới nhé.