Đề thi học kì 2 môn Vật lí 10 Kết nối tri thức - Đề 1
Thi học kì 2 lớp 10
Lớp:
Lớp 10
Môn:
Vật Lý
Dạng tài liệu:
Đề thi
Bộ sách:
Kết nối tri thức với cuộc sống
Thời gian:
Học kì 2
Loại File:
PDF
Phân loại:
Tài liệu Tính phí

ĐỀ 1
ĐỀ ÔN TẬP KIỂM CUỐI HỌC KÌ II
Môn thi: VẬT LÍ KHỐI 10
Thời gian làm bài: 50 phút không kể thời gian phát đề
PHẦN I. CÂU TRẮC NGHIỆM PHƯƠNG ÁN NHIỀU LỰA CHỌN. Thí sinh trả lời từ câu 1 đến
câu 18. Mỗi câu hỏi thí sinh chỉ chọn một phương án.
Câu 1: Đại lượng nào sau đây không phụ thuộc vào hướng vectơ vận tốc của vật?
A. gia tốc. B. xung lượng. C. động năng. D. động lượng.
Câu 2: Một vật chuyển động tròn đều với chu kì T, tần số góc ω, số vòng mà vật đi được trong một giây là
f. Chọn hệ thức đúng?
A.
T f.
B.
2
1
T.
f
C.
2
.
f
D.
2
.
T
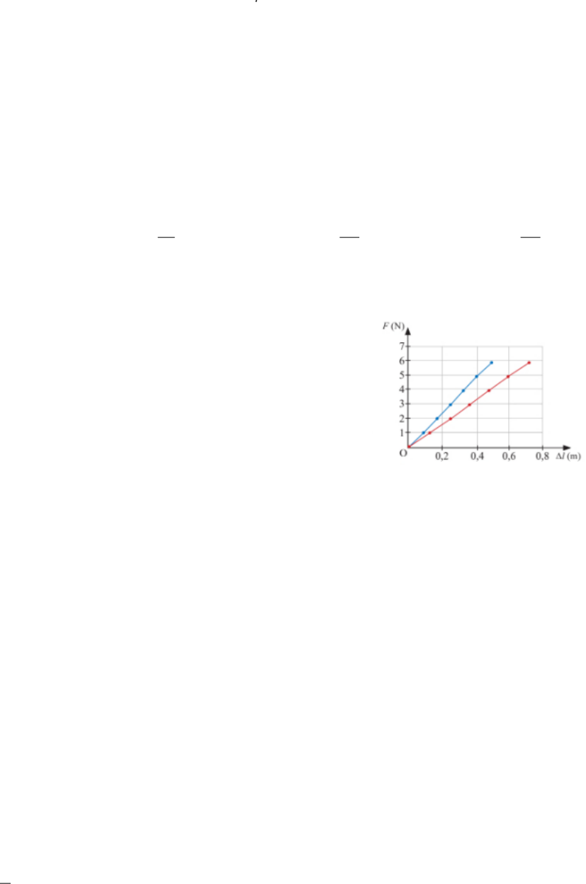
Câu 3: Đồ thị biễu diễn sự phụ thuộc độ lớn lực đàn hồi F theo độ dãn lò xo
l
của hai lò xo A và lò xo
B đã cho như hình vẽ. Hãy so sánh độ cứng của hai lò xo?
A. k
A
> k
B
.
B. k
A
< k
B
.
C. k
A
k
B
. D. k
A
k
B
.
Câu 4: kWh (ki-lô-oát-giờ) là đơn vị của
A. công cơ học. B. công suất.
C. hiệu suất. D. áp suất chất lỏng.
Câu 5: Một vật có khối lượng 2 kg rơi tự do xuống đất trong khoảng thời gian 0,5 s. Lấy g = 10 m/s
2
. Độ
biến thiên động lượng của vật trong khoảng thời gian đó là
A. 10 kg.m/s. B. 5,0 kg.m/s. C. 4,9 kg.m/s. D. 0,5 kg.m/s.
Câu 6: Phát biểu nào sau đây sai?
A. Động lượng của vật trong chuyển động tròn đều không đổi.
B. Động lượng là một đại lượng vectơ
C. Xung của lực là một đại lượng vectơ.
D. Động lượng của vật chuyển động thẳng đều luôn không đổi.
Câu 7: Quả cầu A khối lượng m
1
chuyển động với vận tốc
1
v
ur
va chạm vào quả cầu B khối lượng m
2
đứng
yên. Sau va chạm, cả hai quả cầu có cùng vận tốc
2
v
uur
. Hệ thức liên hệ giữa các đại lượng là
A.
1 1 1 2 2
1
m v m m v .
2
rr
B.
1 1 2 2
m v m v .
rr
C.
1 1 1 2 2
m v m m v .
rr
D.
1 1 2 2
m v m v .
rr
A
B

Câu 8: Trong mỗi giây, một tấm pin mặt trời có thể hấp thụ 750 J năng lượng ánh sáng, nhưng nó chỉ có
thể chuyển hóa thành 120 J năng lượng điện. Hiệu suất của tấm pin này bằng
A. 84%. B. 16%. C. 13,8%. D. 86,2%.
Câu 9: Một vật được ném ngang từ độ cao h, trong quá trình vật chuyển động thì
A. động năng và thế năng đều tăng. B. động năng và thế năng đều giảm.
C. động năng không đổi, thế năng giảm. D. động năng tăng, thế năng giảm.
Câu 10: Một vật khối lượng 10 kg được kéo đều trên sàn nằm ngang bằng một lực 20 N hợp với phương
ngang một góc 30
0
. Khi vật di chuyển 2 m trên sàn trong thời gian 4 s thì công suất của lực là
A. 10W B.
53
W. C. 5W D.
10 3
W.
Câu 11: Một vật đươc ném thẳng đứng lên cao từ mặt đất với tốc độ ban đầu 8 m/s. Lấy g = 10 m/s
2
. Tốc
độ của vật khi động năng bằng thế năng là
A.
4
2
m/s. B.
42
m/s. C. 4 m/s. D. 2 m/s.
Câu 12: Cho một lò xo đầu trên cố định đầu dưới treo một vật có khối lượng 100 gam thì dãn ra một đoạn
1 cm cho g = 10 m/s
2
. Độ cứng của lò xo là
A. 200 N/m. B. 100 N/m. C. 50 N/m. D. 400 N/m.
Câu 13: Newton trên mét vuông (N/m
2
) là đơn vị của
A. độ cứng lò xo. B. áp suất. C. động lượng. D. công cơ học.
Câu 14: Trong thí nghiệm xác định động lượng của vật trước và sau va chạm không nhất thiết phải có
dụng cụ nào dưới đây?
A. Đồng hồ đo thời gian hiện số. B. Đệm khí.
C. Hai xe trượt. D. Nhiệt kế.
Câu 15: Khi một người đi xuống cầu thang bộ, trọng lực tác dụng lên người đó sẽ
A. sinh công dương. B. sinh công âm. C. không sinh công. D. sinh công cản.
Câu 16: Hãy sắp xếp các bước tiến hành thí nghiệm trong bài thực hành tổng hợp lực theo một trình tự
đúng?
1. Xác định lực tổng hợp theo lí thuyết.
2. Xác định lực tổng hợp của hai lực F
1
, F
2
bằng thí nghiệm.
3. Xác đinh hai lực thành phần F
1
, F
2
.
A. 1 – 2 – 3. B. 2 –3 – 1. C. 3 – 2 – 1. D. 1 – 3 – 2.
Câu 17: Momen lực đối với một trục quay là đại lượng đặc trưng cho tác dụng
A. làm vật quay. B. làm vật chuyển động tịnh tiến.
C. làm vật cân bằng. D. vừa làm vật quay vừa chuyển động tịnh tiến.

Câu 18: Ở những đoạn đường vòng mặt đường thường được nâng lên một bên. Việc làm này nhằm mục
đích
A. cho nước mưa thoát dễ dàng. B. tạo lực hướng tâm cho xe chuyển hướng.
C. giới hạn vận tốc của xe. D. tăng lực ma sát để xe không trượt.
PHẦN II. CÂU TRẮC NGHIỆM ĐÚNG SAI. Thí sinh trả lời từ câu 1 đến câu 4. Trong mỗi ý a), b),
c), d) ở mỗi câu, thí sinh chọn đúng hoặc sai.
Câu 1: Một vật khối lượng 2 kg rơi tự do từ độ cao h so với mặt đất. Bỏ qua sức cản không khí, lấy g =
10 m/s
2
. Tốc độ ngay khi vừa chạm đất là 20 m/s.
a. Công của trọng lực là công dương.
b. Công suất tức thời của trọng lực tại thời điểm 2 giây bằng 200 W.
c. Công của trọng lực lúc vật vừa chạm đất bằng 400 J.
d. Đồ thị biểu diễn công suất tức thời của trọng lực theo thời gian là một nhánh parabol.
Câu 2: Một quả bóng nhỏ có khối lượng 100 gam được ném với vận
tốc ban đầu 4 m/s theo phương ngang ra khỏi mặt bàn ở độ cao 1 m so với
mặt sàn (hình vẽ). Chọn mốc thế năng tại B. Lấy
2
g 10 m/s
, bỏ qua mọi ma
sát.
a. Cơ năng tại A bằng 1,8 J.
b. Khi quả bóng đi từ A đến B thì động năng tăng, cơ năng giảm.
c. Động năng tại B bằng 0,8 J.
d. Tốc độ của quả bóng khi nó chạm sàn (tại B) bằng 6 m/s.
Câu 3: Trong không trung, một con chim đại bàng nặng 1,8 kg bay đến bắt một con chim bồ câu nặng
0,65 kg đang bay cùng chiều với tốc độ 7 m/s. Biết tốc độ của chim đại bàng ngay trước khi bắt được bồ câu
là 18 m/s.
a. Động lượng của vật là đại lượng vô hướng.
b. Đơn vị của động lượng là kg.m/s.
c. Động lượng của chim bồ câu trước khi bị bắt bằng 4,0 N.s.
d. Ngay sau khi chim đại bàng bắt được bồ câu tốc độ của chúng bằng 15 m/s.
Câu 4: Một ô tô có khối lượng 4 tấn chuyển động qua một chiếc cầu vồng lên có bán kính 50 m với
tốc độ 72 km/h.
Lấy g = 10 m/s
2
.
a. Áp lực của ô tô nén lên cầu khi đi qua điểm cao nhất là lớn nhất.
b. Hợp lực tác dụng lên ô tô là trọng lực và phản lực đóng vai trò là lực hướng tâm.
c. Gia tốc hướng tâm của ôtô khi qua cầu bằng 2,5 m/s
2
.
d. Áp lực của ô tô nén lên cầu khi nó đi qua điểm cao nhất (giữa cầu) bằng 8000N.
Đề kiểm tra học kì 2 môn Vật lí 10 Kết nối tri thức
Đề thi học kì 2 môn Vật lí 10 Kết nối tri thức có đáp án được VnDoc.com sưu tầm và xin gửi tới bạn đọc cùng tham khảo để có thêm tài liệu ôn thi kì thi học kì 2 lớp 10 sắp tới nhé. Đề thi được tổng hợp gồm có 18 câu hỏi trắc nghiệm nhiều phương án lựa chọn, 4 câu hỏi trắc nghiệm đúng sai và 6 câu hỏi trả lời ngắn. Thí sinh làm bài trong thời gian 50 phút. Đề có đáp án và lời giải chi tiết kèm theo. Mời các bạn cùng theo dõi chi tiết bài viết dưới đây.