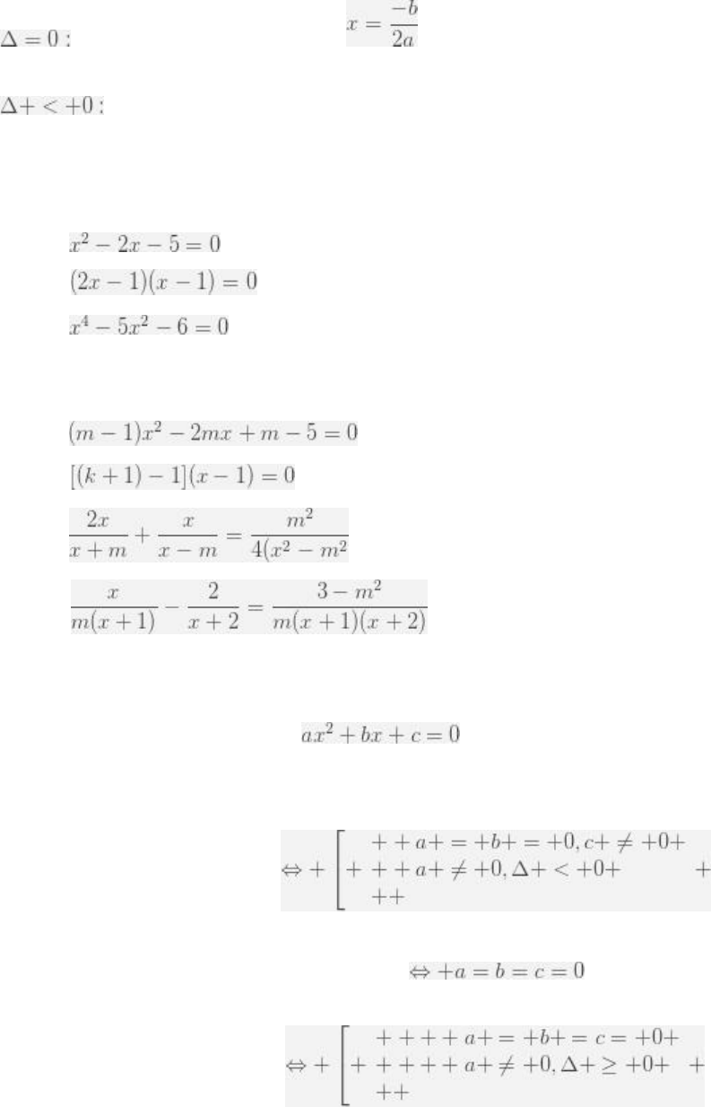
Cách giải phương trình bậc hai đầy đủ nhất



Cách giải phương trình bậc 2 môn Toán lớp 9
Cách giải phương trình bậc 2 môn Toán lớp 9 là đề tham khảo dành cho các bạn học sinh và thầy cô nghiên cứu, học tập tốt môn Toán 9 cũng như giúp các em đọc hiểu và làm bài tập thành thạo về phương trình bậc 2. Mời các bạn tham khảo.
Mời các bạn tham khảo tài liệu khác về lớp 9:
Đề cương ôn tập học kì 2 lớp 9 môn Tin học
Bộ đề thi giữa học kì 2 môn Ngữ Văn lớp 9
Đề thi giữa học kì 2 lớp 9 môn Toán Phòng GD&ĐT Quận Bắc Từ Liêm năm học 2017 - 2018
Đề kiểm tra 15 phút môn Tin học lớp 9
Đề kiểm tra 1 tiết học kì 2 lớp 9 môn Công nghệ trường THCS Gia Hòa năm học 2017 - 2018