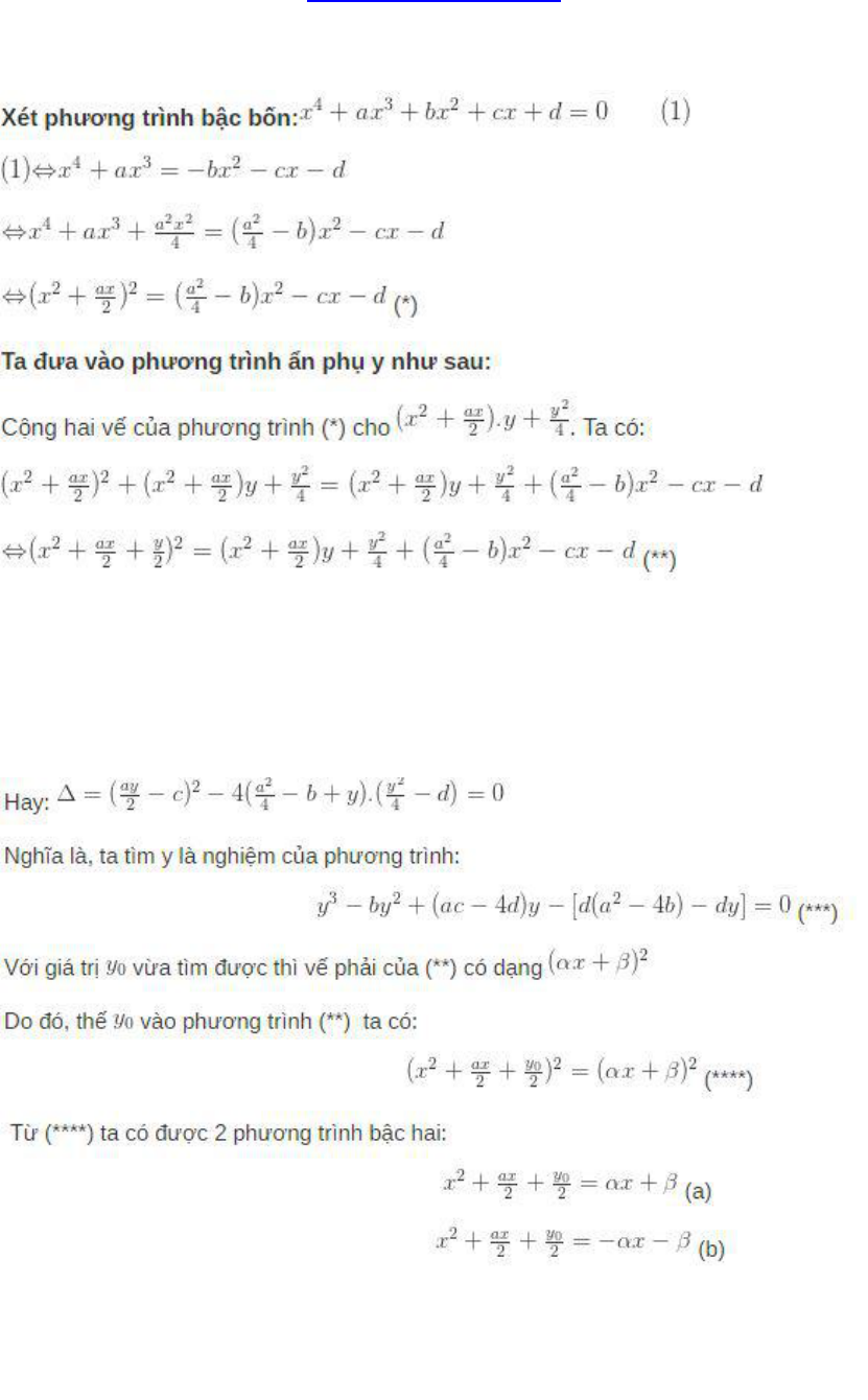
Cách giải phương trình bậc bốn tổng quát



Cách giải phương trình bậc bốn môn Toán
Cách giải phương trình bậc 4 môn Toán là đề tham khảo dành cho các bạn học sinh và thầy cô nghiên cứu, học tập tốt môn Toán 10 cũng như giúp các em đọc hiểu và làm bài tập thành thạo về phương trình bậc 4. Mời các em tham khảo để có thể nắm được Cách giải phương trình bậc bốn nhanh nhất.
Mời các bạn tham khảo tài liệu khác về lớp 10:
Đề thi học kỳ 1 môn Toán lớp 10 năm học 2017 - 2018, trường THPT Đức Thọ - Hà Tĩnh
Đề thi chọn học sinh giỏi tỉnh môn Toán lớp 10 năm học 2017 - 2018 Sở GD&ĐT Hà Tĩnh
Đề thi học kỳ 1 môn Toán lớp 10 năm học 2017 - 2018, trường THPT Bến Tre - Vĩnh Phúc
Đề thi học kỳ 1 môn Toán lớp 10 năm học 2017 - 2018, trường THPT chuyên Lê Khuyết - Quảng Ngãi