Cách tính điểm thi tốt nghiệp THPT 2024
Cách tính điểm tốt nghiệp THPT 2024 chính xác nhất
Cách tính điểm thi tốt nghiệp THPT như thế nào? Các mốc thời gian cần lưu ý sau khi thi THPT Quốc gia 2024? VnDoc.com xin gửi tới bạn đọc Cách tính điểm tốt nghiệp THPT 2024 mới nhất để bạn đọc cùng tham khảo. Mời các bạn cùng theo dõi chi tiết tại đây nhé.
Tham khảo thêm:
1. Hướng dẫn cách tính điểm tốt nghiệp THPT 2024
1.1. Cách tính điểm tốt nghiệp đối với hệ THPT

Trong đó:
– Tổng điểm 4 bài thi bao gồm: Toán + Văn + Anh + điểm trung bình của bài thi tổ hợp;
– Điểm trung bình cả năm lớp 12: Được tính bằng công thức (ĐTB kỳ 1 + ĐTB kỳ 2×2)/3;
– Điểm ưu tiên gồm: Điểm ưu tiên đối tượng, ưu tiên khu vực.
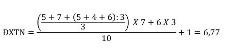
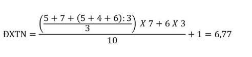
1.2. Ví dụ cách tính điểm tốt nghiệp 2024 của hệ THPT
Một thí sinh A đăng ký thi bài tổ hợp Khoa Học Xã Hội có các điểm thi thành phần cụ thể như sau: Văn: 7.75; Anh: 8.6; Toán: 6.4; Sử: 8.5; Địa: 9; GDCD: 9. Như vậy, điểm của TS A sẽ được tính như sau:

1.3. Cách tính điểm tốt nghiệp đối với GDTX

Trong đó, tổng điểm 3 bài thi: Toán + Văn + điểm trung bình của bài thi tổ hợp.
Được , điểm khuyến khích là điểm thưởng dành cho các giải thưởng học sinh giỏi các môn văn hóa, các kỳ thi văn nghệ, thể dục thể thao, khoa học kỹ thuật cấp tỉnh trở lên theo quy định của Bộ GD-ĐT. Điểm khuyến khích tối thiểu là 1 và tối đa là 2.
Đối với học sinh giáo dục thường xuyên, điểm khuyến khích tối thiểu là 1 và tối đa là 4 dành cho thí sinh có giấy chứng nhận nghề, bằng tốt nghiệp trung cấp, chứng chỉ ngoại ngữ hoặc tin học theo quy định của Bộ GD-ĐT.
1.4. Ví dụ cách tính điểm tốt nghiệp 2024 của hệ GDTX
Thí sinh B lựa chọn bài thi tổ hợp KHTN và điểm của các môn bắt buộc như sau: Văn 5, Toán 7, Lý 5, Hóa 4, Sinh 6. Thí sinh này có 1 điểm ưu tiên và không có điểm khuyến khích. Điểm trung bình cả năm lớp 12 là 6. Cách tính điểm của thí sinh B như sau:

2. Mốc thời gian quan trọng sau khi thi tốt nghiêp THPT
Sau kỳ thi tốt nghiệp THPT Quốc gia 2024, thí sinh đặc biệt chú ý các mốc thời gian sau:
- Đúng 8 giờ ngày 17/7/2024: Điểm thi tốt nghiệp THPT năm 2024 được công bố chính thức.
- Ngày 17/7 - 26/7/2024: Thời gian thu nhận phúc khảo bài thi của thí sinh (nếu có).
- Trước ngày 23/7/2024: Thí sinh sẽ được cấp Giấy chứng nhận tốt nghiệp tạm thời và Giấy chứng nhận kết quả thi.
- Trước ngày 9/8/2024: Xét công nhận tốt nghiệp THPT sau phúc khảo.
- Ngày 10/7 - 17 giờ ngày 25/7/2024: Thí sinh đăng ký, điều chỉnh, bổ sung nguyện vọng xét tuyển không giới hạn số lần.
- Ngày 28/7 - 17 giờ ngày 3/8/2024: Thí sinh nộp lệ phí xét tuyển theo số lượng nguyện vọng bằng hình thức trực tuyến theo hướng dẫn của Bộ GD&ĐT.
- Trước 17 giờ ngày 18/8/2024: Thí sinh hoàn thành xác nhận nhập học trực tuyến đợt 1.
- Tháng 9 - 12/2024/2024: Thí sinh đăng ký xét tuyển các đợt tiếp theo.